1. 서 론
경사가 급한 중소하천에서 하상경사를 완화시켜 하천의 종단과 횡단형상을 유지하기 위하여 하상유지시설을 설치하거나, 이수 및 친수 목적으로 하천을 횡단하는 보나 위어를 설치한다. 그러나 이러한 구조물은 흐름을 지체시켜서 상류와 하류에 급격한 수위차를 발생시킨다. 상류에서는 유속이 느리고, 유사가 퇴적되어 수위를 상승시켜서 상류 저지대에 내수침수를 일으킨다. 하류에서는 국부적으로 흐름이 집중되어 하상이 세굴 되고, 제방을 침식시켜서 수리구조물의 안정성에 위협을 주고 있다. 또한 하천의 종방향 연속성을 차단시키고 하도 지형을 변화시켜서 생태계의 물리적 서식처를 교란시킨다. 이와 같이 하천을 횡단하는 수리구조물은 사행도가 작고 직선 구간에서 수리구조물의 상류와 하류에서 국소 세굴이 발생하지 않도록 흐름에 직각으로 설치하여야 한다. 그러나 하도의 지형적인 특성과 설치 목적에 따라 흐름에 직각으로 설치되지 않은 곳이 있으며, 이로 인하여 하류에 흐름이 집중되거나 분산되어 수리구조물 하류에서 하상이 세굴 되고, 하도 지형이 변화되었다. 그럼에도 불구하고, 하천횡단 수리구조물의 흐름에 대한 설치각도에 따른 흐름 및 지형변화에 대한 연구가 거의 이루어지지 않고 있으며, 이에 대한 수리학적 특성과 하도 변화에 대한 거동을 정량적으로 파악하는 것이 중요하다.
Borghei et al. (2003)은 흐름의 방향에 횡방향으로 경사지게 설치된 직사각형 예연 위어 (oblique rectangular sharp-crest weir)를 대상으로 설치 각도의 변화에 대한 유량계수가 영향을 받는다는 것을 입증하고, 이에 대한 유량계수 공식을 제안하였다. Borghei et al. (2006)은 차원해석 (dimensionless analysis)과 불완전 자기상사성 (incomplete self-similarity, ISS)을 적용하여 경사형 위어에서 수위-유량관계 곡선식을 제시하였다. Wols et al. (2006)은 3차원 수치모형을 적용하여 경사형 보에 대한 흐름 구조와 특성을 분석하였다. Tuyen (2007)은 실내실험을 수행하여 예연위어, 사각형 광정위어, 그리고 dike 형의 경사형 위어 (oblique weirs)에 대해 에너지 손실과 유량계수를 산정하였다. Kabiri-Samani et al. (2010)는 위어의 설치각도 변화에 따른 유효길이 변화와 흐름특성에 분석하였으며, 설치 각도가 증가함에 따라, 경사형 위어의 유효길이가 증가하는 것을 입증하였다. Tingey (2011)는 실내실험을 수행하여 경사형 위어의 마루 형태에 따른 유량계수 효율을 분석하였으며, 예연위어의 형태보다 반 원형의 형태일 때 효율적인 것임을 입증하였다. 또한 경사 각이 감소함에 따라 위어의 유효 길이가 증가하는 것을 밝혀냈다. Lauchlan (2004)는 실내실험을 수행하여 위어의 경사면이 부유사와 소류사의 이송에 미치는 영향을 연구하였으며, 위어 상류단 경사면에서 유속이 유사이송율에 미치는 영향을 분석하였다. 그러나 이들 연구는 위어의 설치 각도 변화에 대한 유속의 변화와 보 하류에 미치는 영향을 연구하는데 한계가 있다.
흐름에 의하여 이동하는 사주 (bars)는 하도 및 흐름의 변화에 반응하는 시스템으로써 하상에서 발생한다. 이것은 흐름에 의하여 이동하는 자유사주 (free bars)와 하도 지형이나 구조물에 의해서 유사가 퇴적되어 이동이 정지된 강제 사주 (forced bars)로 구분한다 (Seminara and Tubino 1989). 이러한 사주는 하안 (河岸)선을 따라 하상이 깊게 세굴되고, 홍수시에 주흐름이 하안 혹은 강턱에 충돌하여 수충부를 형성시켜서 하안침식 및 호안 손실을 일으키며, 하천에서 발생하는 재해의 중요한 원인 중의 하나이다. 또한 사주의 이동은 하안 혹은 강턱 침식과 사행을 발달시키는 기본적인 요소이고, 하천에서 취수구의 막힘 현상 등을 유발하므로, 사주의 거동을 파악하는 것은 하천 계획 및 관리에 중요하다 (Crosato and Mosselman, 2009). 그러나 하천을 횡단하는 위어나 보에 의하여 하류에서 발생하는 사주에 대한 연구는 거의 없는 실정이다. 따라서 본 연구에서는 실내실험을 통해 위어의 설치 각도 변화에 대한 위어 상하류에서 흐름특성 변화와 사주의 거동을 정량적으로 분석하였다.
2. 차원해석
하천을 흐르는 물이 흐름의 방향으로 경사지게 설치된 보나 수리구조물을 만나게 되면, 이것에 의하여 굴절되어 월류하게 되며, 하류에서는 굴절된 흐름이 측벽에 부딪혀서 수충부가 형성되고, 와류가 발생한다. 이러한 흐름은 일반적으로 4가지로 분류된다. 첫째, 경사형 위어에 의하여 흐름이 굴절되는 흐름의 굴절부분 (deflection of flow), 둘째, 직하류에서 경사형 위어와 측벽이 만나는 곳에서 경사형 위어 상류에서 흐름이 굴절되면서 유선이 분리되어 흐름이 분리되는 분리구역 (zone of flow separation), 셋째, 경사형 위어를 월류한 흐름이 하류에서 도수가 발생되는 도수 발생구역 (zone of hydraulic jump), 넷째, 경사형 위어 직하류에서 위어를 따라 흐름의 횡방향으로 회전류가 발생하는 구역 (zone of flow circulation)이 있다.
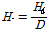
경사형 위어에서 흐름은 위어를 월류하면서 흐름이 굴절되고, 하류에서 수충부가 형성된다. 이로 인하여 발생하는 와류에 의하여 흐름이 주흐름과 분리되어 정체되거나 와류가 형성되는 분리구역 (zone of flow separation, Ls)이 형성 된다 (Fig. 1 (a)). 또한 위어의 유효길이 (effective weir crest length, Le)는 위어의 전체 길이 (L)에서 사수역이 발생하는 길이를 제외한 구간이며, 경사형 위어를 월류하는 흐름의 통수능을 나타내는 중요한 매개변수이다. 일반적으로 위어의 무차원 길이는 다음과 같이 정의할 수 있다 (Kabiri-Samani et al. 2010).
(Eq. 1)
여기서, F는 접근유속의 프로우드 수이고, H는 위어 마루에서 수면까지의 높이이다. P는 수로에 설치된 보의 높이이고, B는 수로폭을 나타낸다 (Fig. 1 (b)).
3. 실내실험
실험수로의 길이는 10.0 m이고, 폭이 0.6 m이며, 깊이가 0.5 m이다. 측벽은 강화 유리로 되어 있으며, 경사가 조절되는 가변형 경사수로이다. 경사형 위어는 상부 폭이 1.8 cm이고 높이가 12 cm 인 강화형 압축 목판으로 제작하여 설치하였다. 하도 변화를 파악하기 위하여 평균 입경이 0.8 mm 인 주문진 표준사를 15 cm 두께로 수로바닥에 포설하였다. 수로 상류에서 실험수로로 유입되는 물이 일정하게 정상상태 (steady state)로 유지될 수 있도록 실험수로 유입구에 wire mesh를 설치하였으며, 수로 하류단 수위는 tail gate로 조절되었다 (Fig. 2). 유량은 순환형 펌프가 설치되어 경사형 수로 하류로 저류조에서 수로 상류에 설치된 정류지로 공급하였다. 실험을 위하여 유량은 유사가 이동하여 하도 지형이 발생할 수 있도록 0.0045 m3/s 설정하였다.
경사형 위어에 의한 흐름 및 하도변화 과정을 파악하기 위한 실험을 수행하기 위하여 위어 설치각도는 0°, 15°, 30°, 45°의 4가지 조건을 설정하였다. 조도계수는 Manning-Strickler 공식에 의하여 0.0126으로 산정되었다.
수심은 얕고 유속은 상대적으로 빠르므로, 직접 유속을 측정하는 데에는 한계가 있다. 따라서 particle을 이용하여 디지털카메라로 찍은 후에서 영상을 분석하여 유속을 추정하였다. 하상고 변화는 각 시간별로 흐름을 정지시킨 후에 흐름의 종방향으로 0.2 m, 횡방향으로 0.01 m 간격으로 laser profiler를 이용하여 측정하였다.
4. 실험결과
4.1 흐름특성 분석
흐름은 위어를 수직으로 월류하여 통과하여 흐르며, 흐름에 사선으로 경사진 위어를 만나면 측방향으로 굴절된다. 보 직하류에서 경사형 위어와 측벽이 만나는 곳에서 경사형 위어 상류에서 흐름이 굴절되면서 유선이 분리되어 흐름이 분리된다. 이때, 경사 각도가 클수록 측방향으로 굴절되는 각도는 크게 되며, 수로 측벽에 수충부가 형성된다. 경사형 위어와 수충부 사이에는 흐름의 횡방향으로 와류가 발생하는 회전류 구역 (zone of flow circulation)이 형성된다.
위어 상류에서 접근 유속은 0.2 m/s이고, 위어 정상부에서는 한계 유속이 발생하며, 0.41 m/s로 측정되었다. 위어에 접근하는 유속보다 위어를 월류하는 유속이 1.7배 빠른 것으로 나타났다. 위어 상류에서는 Fr 수가 0.3정도이고 상류 (Fr < 1)상태가 유지되었다 (Fig. 3 and Table 2).
위어의 설치 각이 증가함에 따라 경사형 위어의 유효길이는 감소한다. 이것은 수로 경사가 상대적으로 완만한 수로에서 실험한 Kabiri-Samani et al. (2010)에 의하여 제시된 것과 다른 경향을 보여주고 있다. 흐름에 대한 정밀사진을 분석한 결과, 수로의 경사가 급하며 위어를 월류하면서 정상파 (standing wave)가 발생하고 가속된 흐름에 의하여 위어의 유효길이가 감소되었다. 또한 위어의 경사각이 클수록 측방향으로 굴절되는 유선이 증가하며, 경사형 위어와 수충부 사이에 흐름의 횡방향으로 회전류가 발생하는 구역이 증가하였다 (Fig. 4). 위어의 설치각도가 15˚일 경우에 위어의 길이는 0.62 m이고 유효길이는 0.37 m이며, 위어 길이의 약 60% 가 위어의 유효길이로 산정되었다. 위어의 설치각도가 45˚일 경우에 위어 길이는 0.84 m이고 위어의 유효길이는 0.18 m 로 위어 길이에 약 22%가 유효길이로 산정되었다 (Table 3).
위어의 설치 각도 변화에 대한 흐름특성을 파악하기 위하여 무차원 위어의 길이 (
)의 변화를 파악하는 것이 중요하며 다음과 같이 정의하였다.
(Eq. 2)
여기서,
은 위어 길이이고,
는 수로 폭이다.
무차원 위어 유효길이 (
)는 다음과 같이 정의하였다.
(Eq. 3)
여기서,
는 위어 유효길이이다.
Fig. 5는 무차원 위어 길이 (
)에 대한 위어의 무차원 유효길이 (
)의 변화를 보여주고 있다. 무차원 위어 길이가 증가할수록 위어의 무차원 유효길이는 감소하였다. 이는 위어의 설치 각이 증가할수록 위어의 유효길이가 감소하며, 위어 하류에서 발생하는 와류가 크게 증가하는 것을 의미한다 (Fig. 5).
4.2 위어 상류와 하류에서의 지형변화
위어에 의하여 형성된 배수의 영향이 끝나는 지점에서 상류에서 유입된 유사가 퇴적되어 델타가 발달한다. 델타의 전면부 (front face)는 경사가 급하고 델타의 정상부는 완만하며, 수면경사와 일치한다. 델타의 전면부는 와류가 형성되고 경사가 급한 수중안식각을 유지한다. 시간이 증가함에 따라 델타의 형상은 일정하고 전면부에서 급경사를 유지한 상태로, 흐름에 의하여 하류로 이동한다. 델타의 이동속도는 위어에 가까워질수록 감소하며, 크기는 증가한다.
위어 하류에서는 경사형 위어에 의하여 흐름이 좌안으로 굴절되어 집중되고, 수충부가 형성된다 (Fig. 6). 그러나 수충부가 발생하는 반대 지점에서는 와류가 발생하고 유사가 퇴적되어 하상고가 상승하면서 교호사주가 형성되었다. 그러나 시간이 증가하면서 교호사주의 크기는 증가하지만 하류로 이동하지 않고 정지되어 있으며 고정사주 (fixed bar)로 형성되면서 지형변화에 영향을 주었다 (Figs. 6 and 7).
Fig. 7은 각 실험 조건별 시간에 따른 하도의 변화를 보여주고 있다. 초기에 상류에서 위어에 의하여 형성된 배수 곡선이 끝나는 상류 지점에서 델타가 형성되었다. 델타의 전면부는 급경사를 이루고 있으며, 흐름 방향에 수직으로 일정하게 형성되었다. 시간이 증가하면서, 델타는 하류로 이동한다 (Figs. 7 (a), (c), and (d)). 그러나 Run-2에서는 통수 후 300분이 지난 후에, 흐름이 좌안에 집중되면서, 델타 직하류 좌안에서 수충부가 형성되고 하상이 저하되었다. 델타의 우안에서는 상대적으로 유속이 느리고 하상고가 상승하였으며, 교호사주가 형성되었다.
일반적으로 교호사주는 하류로 이동하는 자유사주 (free bar)이지만, 경사형 위어 하류에서 형성된 교호사주는 고정되어 하류로 이동하지 않은 강제사주 (forced bar)이다. 이것은 위어 하류에서 하도를 변화시키고, 저수로 이동을 방해하며 하도의 역동성을 저감시킨다. Fig. 7 (a)와 같이 흐름에 직각으로 설치된 위어 하류에서 교호사주가 발달하고 있지 않다. 그러나 위어가 흐름에 직각이 아닌 경우에는 위어 하류에서 교호사주가 발달하고 있으며, 시간이 증가함에 따라 사주의 크기는 일정하고 유지되었다 (Figs. 7 (b), (c) and (d). 또한 위어의 설치 각이 증가함에 따라 위어 하류에 형성된 사주의 길이는 짧아지는 특성을 보여주고 있다 (Figs. 7 (b), (c) and (d).
위어 상류에서 델타의 거동을 파악하기 위하여, 무차원 델타 이동속도 (
)와 무차원 델타의 높이 (
)의 관계를 분석하였으며, 이에 대한 정의는 다음과 같다.
(Eq. 4)
여기서,
는 위어 상류에서 유속이며,
는 델타의 이동속도이다.
무차원 델타의 높이 (
)이에 대한 정의는 다음과 같다.
(Eq. 5)
여기서,
위어 상류에서 수심이며,
는 델타의 높이이다.
Fig. 8은 무차원 델타의 높이 (
)와 무차원 델타 이동속도 (
)의 관계를 보여주고 있다. 보 상류에서 델타는 하상의 수면과 평형을 이루면서 시간이 증가함에 따라 흐름방향으로 이동하였다. 델타가 형성된 지점에 접근할수록 수심은 깊어지고 델타의 이동속도는 감소하였으며, 델타 높이는 증가하였다 (Fig. 8). 경사형 위어의 설치 각도가 증가하여도, 위어 상류에서 형성된 델타의 형상이 일정하게 유지되었다.
Fig. 9는 경사형 위어 하류에서 형성된 교호사주의 모식도를 보여주고 있다. 여기서, B는 수로 폭이고, LB 는 사주의 길이이다. HB는 사주의 파고이다.
사주의 규모와 거동을 파악하기 위하여 무차원 사주이 파장 (
)의 변화를 파악하는 것이 중요하며 (Jang and Shimizu 2005) 다음과 같이 정의하였다.
(Eq. 6)
무차원 사주의 파고 (
)는 다음과 같이 정의하였다 (Ikeda 1984) (Jang and Shimizu 2005).
(Eq.7)
경사형 위어의 길이는 설치된 각도가 증가함에 따라 길어진다. 무차원 위어 길이 (
) 변화에 대한 무차원 사주의 파장 (
) 관계를 파악하는 것은 위어의 설치 각도에 대한 하류 하천에서 변화를 분석하는데 중요하다. Fig. 10은 각 실험 조건별로 무차원 위어 길이 (
)에 대한 무차원 사주의 파장 (
)과의 관계를 보여주고 있다. 사주의 길이는 동적평형상태에 도달한 480분 후에 측정한 것이다. 경사형 위어의 설치 각도가 증가하는 것을 의미하는 무차원 위어의 길이가 증가함에 따라, 무차원 사주의 파장이 감소하는 것을 보여주고 있다. 이것은 무차원 위어의 길이가 증가함에 따라 위어에 의하여 굴절되는 흐름의 각이 크므로, 흐름이 집중되어 사주의 길이가 짧아지는 것으로 판단된다.
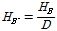
무차원 사주의 파고 (
)는 사주의 크기를 파악하는데 중요한 매개변수이다 (Jang and Shimizu 2005). 사주의 파고는 하나의 사주에서 가장 깊은 하상고와 가장 높은 하상고의 차이로 정의된다 (Ikeda 1984). 무차원 위어의 길이 (
)에 대한 무차원 사주의 파고 (
) 관계를 파악하는 것은 위어의 설치 각도에 대한 하류 하천에서 변화를 분석하는데 중요하다. Fig. 11은 각 실험 조건별로 무차원 위어의 길이 (
)에 대한 무차원 사주의 파고 (
)의 관계를 보여주고 있다. 무차원 위어의 길이가 증가함에 따라, 무차원 사주의 파고는 증가하는 것을 보여주고 있다. 이것은 무차원 위어의 길이가 증가함에 따라 위어에 의하여 굴절되는 흐름의 각이 크므로, 흐름이 집중되어 하상이 세굴 되고 사주의 파고가 증가하는 것을 의미한다.
Fig. 12는 각 실험 조건별로 무차원 사주의 파고 (
)와 무차원 사주 파장 (
)과의 관계를 보여주고 있다. 무차원 사주의 파장 (
)이 증가함에 따라 무차원 사주의 파고 (
)는 감소한다. 이것은 보의 설치 각도가 감소함에 따라 보의 파고는 감소하고, 파장은 증가하는 것을 의미한다. 즉, 보의 설치 각도가 감소할수록 경사형 위어 하류에서 국부적인 교란이 감소하는 것을 나타낸다.
5. 결 과
본 연구에서는 실내실험을 통해 위어의 설치 각도 변화에 대한 위어 상하류에서 흐름특성 변화와 하도 변화를 정량적으로 분석하였다. 위어의 설치 각이 증가함에 따라 경사형 위어의 유효길이는 감소하였다. 또한 무차원 위어 길이가 증가할수록 위어의 무차원 유효길이는 감소하였다. 위어 상류에서는 위어에 의하여 형성된 배수의 영향이 끝나는 지점에서 상류에서 유입된 유사가 퇴적되어 델타가 발달하고, 하류로 이동하였다. 델타의 이동속도는 위어에 가까워질수록 감소하며, 크기는 증가하였다. 무차원 위어의 길이가 증가함에 따라, 무차원 사주의 파장이 감소하였다. 또한 무차원 위어의 길이가 증가함에 따라, 무차원 사주의 파고는 증가하였다. 무차원 사주의 파장이 증가함에 따라 무차원 사주의 파고는 감소하였으며, 이는 위어의 설치 각도가 감소함에 따라 사주의 파고는 감소하고, 파장은 증가하는 것을 의미한다. 본 연구 결과는 하천횡단 수리구조물인 위어나 보에 의해서 흐름이 변하면서 하류에 사주가 발생하여 하도 지형이 변하거나 교란된 하천을 복원하고 관리하는데 기여할 것으로 판단된다.










) versus dimensionless weir length (
).


) to dimensionless delta height (
).

) versus dimensionless weir length (
).
) versus dimensionless weir length (
).
) versus dimensionless bar length (
).