서 론
해안지역은 하천과 더불어 예로부터 인간의 거주지이면서 어업과 물류 및 관광의 중심지로 관리와 보존의 중요성이 매우 큼과 동시에 생태학적으로도 다양성이 우수하여 그 보존의 가치가 매우 크다. 이와 같이 개발과 보존의 상대적인 가치가 양립하는 해안지역의 관리를 위하여 해안지역의 흐름과 흐름에 의한 물질의 이동에 대한 기본적인 이해가 반드시 필요하다.
해안지역의 물과 물질의 이동에 대한 이해와 예측을 위하여 주로 관측 또는 실험과 이론적인 접근방법 및 수치해석을 이용한 방법이 개발되고 발전되어 왔다. 여러 가지 방법들 중에서 수치해석기법은 컴퓨터 기술과 더불어 매우 빠르게 발전하고 있는 분야 중 하나이다. 특히 과거에 주로 발전되어온 파랑과 흐름을 분리시켜 주로 파랑의 전파와 변형과정에 중심을 두어 발전해온 방법론에서 벗어나, 흐름과 파랑이 공존하는 영역에서의 해석 또한 가능한 단계에 이르게 되었다. 이와 같은 방법은 크게 삼차원공간에서의 Navier-Stokes 방정식 또는 유사하게 변형된 방정식을 해석하는 방법과 수심 평균된 방정식을 해석하는 두 가지로 크게 분류될 수 있다. 이중 전자의 경우가 일반적으로 정확하고 물리적인 해를 도출할 수가 있으나, 대상영역이 대규모인 해안지역임을 고려한다면 현재까지도 실무에 적용하기에는 효율적이지 못하다는 약점이 있다. 이와 반대로 수심평균형 모형은 정확성은 상대적으로 떨어지지만 매우 효율적으로 해안지역에 발생하는 파랑의 전파, 변형, 쇄파와 처오름 등과 같은 과정을 타당한 오차범위 내에서 계산할 수 있다는 장점이 있다.
본 연구에서는, 기존에 연안지역에 발생하는 흐름을 비교적 타당하게 재현할 수 있는 Boussinesq 방정식과 수심적분형 이송확산방정식을 이용하여 연안지역에 발생하는 흐름과 그에 의한 물질수송현상을 수치적으로 모의하고 결과를 해석한다.
지배방정식
완전비선형 Boussinesq 방정식
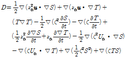
Boussinesq equation은 1872년 Boussinesq (1872)에 의하여 처음 제시된 것으로, 질량과 운동량 보존방정식을 long wave scaling을 기반으로 perturbation approach를 이용하여 유도가 가능하다. 기본적으로 방정식을 수심적분하여 구하는 것으로 약분산의 회전류에 적용이 가능하여, 파와 흐름의 상호작용 등을 모의할 수가 있어, 하천과 하구 및 해안지역에서 발생하는 흐름을 효과적으로 모의 할 수가 있다 (Kim, 2009; Kim et al., 2009). 본 논문에서 이용한 와도 (vorticity)를 포함하는 완전비선형 Boussinesq 방정식은 다음과 같이 주어진다 (Kim et al., 2009).
여기서
여기서
이며, 다음과 같이 정의 된다.
는 시간,
와
는 수평방향의 공간을 나타낸다.
는 총수심이며,
는 수위,
는 수심이다.
는 임의의 연직좌표
에서 각각
와
방향의 유속을 나타낸다.
는 임의의 수심으로
를 이용하였다.
로 정의되며,
는 중력가속도이다.
는 바닥마찰,
는 밀도,
,
,
와
는 각가 수평과 연직방향의 난류확산계수를 의미한다. 관련 변수의 정의를 Fig. 1에 나타내었다.
수심평균된 이송확산방정식
3차원의 이송확산방정식을 수심방향으로 평균하면, 식 (2)와 같은 수심평균된 이송확산방정식을 유도할 수 있다.
여기서
는 스칼라의 수심평균된 농도이고, 
는 수심평균된
와
방향의 유속을 나타내며, 
는
와
방향의 확산계수이다.
수치해석 기법
수치해석 기법
시간항의 해석을 위하여, 3차정확도의 Adams- Bashforth predictor 기법과 4차정확도의 Adams- Moulton corrector 기법을 이용하였다. Predictor 기법은 다음과 같다.
Corrector 기법은 다음과 같이 주어진다.
여기서
은 계산 시간의 단계를 나타낸다.
,
,
,
,
,
,
및
는 각각 아래식과 같이 주어진다.
식 (18)∼식 (23)에서 아래첨자
와
는 각각의 방향으로의 미분을 나타내며,
와
는
와
에 대한 삼중대각행렬로 재구성하여 해를 구한다.
항에 포함되어 있는 수심평균유속은
와
를 수심적분하여 구한 것으로 그 과정을 역으로 하여 식 (24)를
와
를 이용해서 표현한 다음 수치해석를 수행한다. 보다 자세한 수치해석 과정은 Kim et al. (2009)과 Kim and Lynett (2011a)에 나와 있다. Predictor- corrector 기법은 아래의 조건을 만족시킬 때까지 반복적으로 계산을 수행하여, 본 논문에서는
을 기준으로 하였다.
임의의 변수
의 단위체적에 대한 평균치를
로 표기하면, 계산요소
에서의 평균치
와 계산요소간의 인접면
에서의
의 관계는 식 (26)과 같이 주어진다 (Lacor et al., 2004).
또한 계산요소 인접면에서 변수의 일계미분
와
의 관계는 식 (27)와 같이 주어진다 (Lele, 1992).
이와 같이 주어진 식 (26)과 식 (27)를 이용하여, 식 (20)∼식 (26)을 공간적으로 이산화 한다.
수치모형의 검증
본 연구에 이용된 수치모형은 전술한 바와 같이 흐름모형과 물질수송모형으로 구분되어 있다. 이중, dispersive wave의 해석에 대한 내용과 조석 및 회전흐름에 대한 검증은 Kim et al. (2009)에 제시되어 있고, 이송확산방적식에 대한 기본적인 검증과 파랑과 흐름 및 난류에 의한 혼합에 대한 검증은 Kim and Lynett (2011a)에 제시되어 있다. 또한 해안지역에서 빈번히 관측되는 파랑의 전파와 shoaling 및 쇄파에 대한 내용은 Kim and Lynett (2011b)에 제시되어 있고, 월류와 침수 등에 대한 내용은 Lynett et al. (2010)에 제시되어 있다. 이와 같이 다양한 경우에 대하여 검증이 완료된 것을 전제로 하여 본 논문에서는 별도의 검증을 수행하지는 않았다.
수치모형의 적용
Matsuyama and Tanaka (2001)은 1993년 일본 훗카이도 서부 인근해역에서 지진해일을 실험모형을 이용하여 재현하였고, 다양한 위치에서 처오름과 시간에 따른 수면변화를 여러 위치에서 계측하였다. 본 연구에서는 해당 수역을 대상으로 한 Kim (2009)의 흐름해석 결과를 이용하여 이송확산방정식을 적용하였다. 수치해석 해당지역의 지형도는 Fig. 2와 같으며, 그림의 좌측에서 Fig. 3과 같은 해일이 발생하고, 수중섬인 Hira섬과 수면위로 솟은 Muen섬을 지나 우측의 해안가로 밀려오고 해안에 반사된 이후, 다시 우측으로 파가 전파되는 과정을 거친다. 보다 자세한 실험과정과 결과는 Matsuyama and Tanaka (2001)에 기술 되어 있다. 수치모의과정에서, 해일은 내부조파를 이용하여 발생시켰으며, 상하단에는 가상의 직립벽을 위치시키는 반사경계조건을 이용하였다. 격자의 크기는
0.14 m, roughness height는 0.001 m를 이용하였고, Kennedy et al. (2000)이 제시한 쇄파모형을 이용하여 파랑의 쇄파에 의한 현상을 모의 하였다.
|
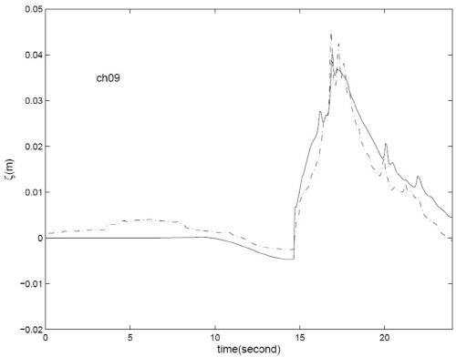
Fig. 5. Runup on the Monai valley. Left: Numerical result (Kim, 2009). Right: Measured data (Matsuyama and Tanaka, 2001) |
Fig. 3은 수치모형으로 계산한 수위로 해일의 발생과 전파에 대한 결과를 타당하게 계산하고 있음을 알 수 있다. 처오름과정의 정확성을 검토하기 위하여 Monai 계곡지역으로의 처오름과정을 Fig. 4에 상세히 기술하였다. Fig. 4 (a)와 같이 마른바닥지역이 파와 흐름에 의해 침수구역이 넓어지고 있으며, Fig. 4 (b)와 같이 Monai 계곡의 입구에 도달하게 된다. 이후 최대처오름 높이를 나타내며 (Fig. 4 (c)) 다시 후퇴하는 과정 (Fig. 4 (d))을 나타내고 있다. 또한 Fig. 4의 우측열에 나타난 실험결과와 비교할 때 수치모의 결과의 정확성은 신뢰성이 매우 높은 것으로 판단된다.
|
Fig. 6. Computed velocity around Muen island (Kim, 2009) |
|
Fig. 7. Computed scalar transport (Red means higher concentration. Blue means lower concentration.) |
물질의 수송과정 모의에 필요한 유속분포의 타당성을 검토하기 위하여, Muen섬 주변의 유속장을 Fig. 5에 도시하였다. 실험에서 계측된 결과가 없어 직접적인 비교를 할 수가 없으나, Liu et al. (1995)가 제시한 바와 같이, 수치모의 결과는 원형섬 주변에서 발생하는 장파의 분리와 파랑의 처오름 및 섬 후면부에서 분리된 파가 다시 충돌하는 현상을 Fig. 6과 같이 물리적으로 또한 수치적으로도 타당하게 모의 하고 있음을 알 수 있다.
Fig. 6은 상기한 흐름에 의한 가상의 물질 수송결과를 도시한 것이다.
에서와 같이 3개의 띠가 초기상태에 위치하고 있는 경우, 시간이 지남에 따라
방향으로 확산과 대류가 진행되며, 특히 해일에 의한 흐름특성이 강하기 때문에 확산의 정도가 매우 크게 나타나 농도의 최대치는 낮아지는 반면 물질이 광범위하게 퍼져나감을 알 수 있다.
이 후의 그림에 나타난 바와 같이, 수중에 위치해 있던 물질이 흐름을 따라 유지로 이동됨을 나타내고 있다.
결 론
본 연구에서는 파랑과 흐름이 공존하고 있는 해안지역에 이용이 가능한 물에 용해된 물질의 정확한 이동을 예측하기 위한 수심적분형 수치모의 기법을 제시하였다. 흐름은 연안지역에 주요흐름현상인 파랑의 전파와 변형 과정 및 쇄파와 흐름의 발달 과정에 대한 모의가 가능한 boussinesq equation 흐름모형을 이용하였고, 물질의 이송과 확산은 흐름모형과 동일한 과정을 거쳐 유도된 수심적분형 물질수송모형을 이용하였다. 지배방정식은 approximate riemann solver를 이용하는 유한체적법을 이용하여 해석한다. 제시된 수치모형을 이용하여 해일발생에 의한 흐름양상을 계측한 실험을 재현하였으며, 흐름모의 결과의 타당성과 가상의 물질의 이송과 확산에 대한 수치모의를 수행하고 그 결과를 분석하였다. 수치모의 결과가 타당한 것으로 나타나, 제시된 수치모형을 이용하여, 연안지역의 용존성 영양물질 이동양상 예측과 생태 관련 연구에 활용이 가능할 것으로 판단된다.
































































