1. 서 론
2. 지배방정식
2.1 지표면 유출
2.2 하도흐름 해석
2.3 침식 및 유사이송
3. 수치해석
3.1 대상유역
3.2 수치모형의 적용 및 결과
3.3 수치해석 결과 검증
4. 결 론
1. 서 론
하천은 이수 및 치수 기능과 환경적 기능 (가치)을 가지고 있다. 하천의 주기적인 범람으로 인한 재해를 예방하고자 하였고, 산업화와 도시화 이후에는 하천의 관리를 통해 재해를 예방하는 치수목적의 제방축조와 하도정비가 이루어졌다. 홍수의 신속한 배제를 위한 하천의 직강화와 범람방지를 위한 제방의 축조는 제내지를 보다 안전하게 보호하여 농경지, 주거지 및 산업단지 등의 조성으로 인한 하천 주변 토지이용의 고도화를 야기하였다. 그러나 이와 동시에 하천 내 제방과 같은 종적구조물로 인하여 하천과 제내지의 단절이 발생하였고, 그 결과 제내지와 제외지간 생태적, 수리학적 연결성이 차단되어 생물서식처 축소 및 생물 다양성 감소 등의 문제가 발생하였다 (Kim and Kim 2015). 이와 같이 지금까지의 하천 관리는 이수 및 치수 관리만을 목적으로 수행되어왔지만, 환경적인 측면에서 발생하는 다양한 문제들에 대한 사회적 인식이 증가함에 따라 이수와 치수 위주의 관리에서 하천의 또 다른 기능인 환경적 기능 (가치)을 중시하는 방향으로 하천관리의 방향이 변화하고 있으며, 이러한 영향으로 다양한 하천 공법을 이용한 자연형 하천으로의 복원 시도가 이루어지고 있다. 이러한 시도 중 하나로, 하천 내 종적구조물에 의해 차단된 제내지와 제외지의 연결을 복원하는 연구가 활발히 진행되고 있다. 하천 내 연결성은 하천 복원이나 유역복원에 있어 매우 중요한 요소로 국외에서 많은 연구가 이루어지고 있다. Ickes et al. (2005)은 미국 미시시피 강과 미주리 강 유역의 홍수위험도 변화를 연구하여 미시시피 강 유역의 횡적 연결성 및 생태계 반응의 향상을 위한 적용관리 방안을 제시하였고, Miller et al. (2007)은 미시시피 강 상류의 하천시스템 복원과 유지전략 및 서식지연결 복원을 목표로 하천 주변에서 서식하는 동‧식물을 설명하고, 그들 서로가 주변 환경과 상호작용하는 생태계 교환 방법에 대해 연구하였다. 또한, Montgomery and Bolton (2003)은 수문지형학적 (hydrogeomorphic) 변동성 분석을 통한 하천복원에 대한 연구를 실시하였다. 수문지형학적 과정은 수생서식지의 생성, 변화 또는 파괴에 있어 매우 중요한 역할을 하고, 생태계의 특성이나 형태 등에 교란을 일으키는 역할을 하기 때문에 수문지형학적 과정의 분석을 통해 장기적으로 생태계에 미치는 영향을 해석하였다. 이와 같이 국외에서는 많은 연구기관 및 여러 연구자들에 의해 하천 내 연결성의 회복에 대한 연구가 많이 수행되고 있는 반면, 국내에서는 아직 이에 대한 연구가 전무한 상태이다.
본 연구에서는 하천 내 종적구조물에 의해 차단된 제내지와 제외지 간의 생태적 연결성 회복에 대한 연구의 기초단계로써, 하천 내 수리수문학적 분석모형을 개발하고 이를 청미천 유역에 적용하였다. 수리수문학적 분석모형은 수문분석과 하도에서의 수리해석을 동시에 수행할 수 있도록 개발되었으며, 해석 결과를 기초자료로 제공함으로써, 추후 생태적 연결성 분석에 활용할 수 있도록 하였다.
2. 지배방정식
2.1 지표면 유출
하천 내 격리/차단 공간에서의 수리수문학적 분석은 크게 지표면 유출 (overland flow), 하도흐름 해석 (channel routing), 침식 및 유사이송 (erosion and sediment transport)으로 나눌 수 있다. 각각의 해석 방법에 대한 설명은 다음과 같다.
지표면 유출은 강우에 의해 발생되며 지표면 기울기의 방향으로 흐름이 생성된다. 본 연구에서는 강우율이 침투능을 초과하고 강우에 의한 물이 지표의 표면장력을 극복하게 되면 지표면 유출이 시작되는 것으로 가정하였다. 지표면 유출을 단위면적당 저류량과 관련되는 1차원 흐름으로 보면 다음과 같은 식으로 나타낼 수 있다.
Q=αhm (Eq. 1)
여기서, Q는 단위폭당 유량 (L2/T), h는 단위 면적당 저류수심 (L), 그리고 α와 m은 경사, 표면조도 및 흐름상태와 관련된 저류량 산정계수이다.
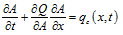
Eq. 1은 다음의 연속방정식과 함께 사용할 수 있다.
(Eq. 2)
여기서, t는 시간 (T), x는 경사방향의 거리 (L), 그리고 q는 측방향 유입량 (L2/T)이다.
Eq. 1을 Eq. 2에 대입하면 다음과 같은 지표면 유출에 대한 식을 얻을 수 있다.
(Eq. 3)
Eq. 3은 운동파 방정식 (kinematic wave equation)으로 Saint-Venant 방정식의 단순화된 형태이며, 운동파 방정식을 이용한 하도추적방법은 지표면 유출해석에 무리 없이 사용할 수 있다 (Morris and Woolhiser 1980).
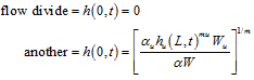
지표면 유출해석에 사용되는 상류 경계조건은 다음의 두 식으로 주어진다.

(Eq. 4)
여기서, 아래첨자 u는 상류단 요소 (upstream element)를 의미하고, x는 흐름의 폭 (L), L는 흐름의 길이 (L)를 의미한다.
운동파 방정식은 4점 음해 유한차분법 (four-point implicit finite difference method)을 이용하여 해석할 수 있다. Eq. 3을 차분하면 다음과 같이 나타낼 수 있다.



(Eq. 5)
Eq. 5에서 θw는 다음 시간단계에서 x를 유도하기 위한 가중계수 (0.6-0.8)이다. 지표면 유출해석을 위한 수치해 (numerical solution)은 반복법 (Newton method or Newton-Raphson method)으로 구할 수 있다.
Eq. 3의 θ와 m은 Manning 공식 또는 Chezy 공식을 이용하여 구할 수 있다.
(Eq. 6)
여기서, S는 경사, n은 Manning 조도계수이고 C는 Chezy 계수이다 (Woolhiser 1975).
2.2 하도흐름 해석
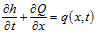
하도에서의 부정류와 자유수면 흐름의 지배방정식은 부정류 방정식의 운동학적 근사에 의해 표현될 수 있다.
(Eq. 7)
여기서, S는 수로 단면적 (L2), Q는 유량 (L3/T), 그리고 qc는 단위 길이당 측방 유입량 (L2/T)이다.
하도에서의 흐름은 부정류 방정식의 가정에 의해 유량은 수로단면적과의 관계식으로 표현이 가능하다. 따라서, Eq. 7은 다음과 같이 나타낼 수 있다.
(Eq. 8)
하도흐름 해석을 위한 운동파 방정식은 지표면 유출과 마찬가지로 4점 음해법을 이용하여 해석할 수 있고, 이를 차분형태로 나타내면 다음과 같다.


(Eq. 9)
여기서, t는 시간 (T), x는 거리 (L), θw는 가중계수이며, 미지의 면적 (
)은 반복법을 이용하여 해석할 수 있다.
2.3 침식 및 유사이송
본 모형에서는 운동파 이론에 기초하여 구간 내 유출 및 유사량의 변화를 모의할 수 있도록 개발하였다.
유사의 이동은 다음의 질량평형방정식으로 표현할 수 있다 (Bennett 1974).
(Eq. 10)
여기서, qs는 측방향 유입유사량 (L3 T-1 L-1)이고, e는 침식량 (L2/T)으로 박리된 토양입자와 지표면 유출의 유사이송에 영향을 받는다.
침식량은 강우에 의한 침식량 (es)과 수리적 원인 (흐름)에 의해 발생하는 침식량 (eh)의 합으로 나타낼 수 있다 (Meyer and Wischmeier 1969).
(Eq. 11)
(Eq. 12)
여기서, cf는 강우 침식계수이며,
은 강우량 (L), q는 측방 유입량 (L2/T)이며, k(h)는 수심의 증가에 따른 침식의 감소를 나타내는 감소계수이다.
흐름에 의한 침식량은 토양위에서의 흐름과 유체사이에서의 유사변화율을 나타내며, 다음과 같이 나타낼 수 있다.
(Eq. 13)
여기서, cg는 이송율 계수 (T-1), Cm은 유사량 산정식에 의한 평형이송농도 (equilibrium transport capacity), Cs는 현재 유사의 농도이고, A는 지표면적 (L2)이다.
이송계수 cg는 Cm > Cs일 때 침식이 발생하고, Cm < Cs일 때 퇴적이 발생한다. 평형 유사농도는 유사량 경험식으로 계산되며, 이로부터 산정된 평형 유사농도는 수리 특성치와 총 침식량 (강우침식+흐름침식)을 포함한 질량 평형 방정식에 적용되며, 이 과정에서 각 시간 단계별로 현재의 유사농도를 계산한 후 평형 유사농도를 현재 유사농도와 비교함으로써 침식 및 퇴적을 판단하게 된다.
3. 수치해석
3.1 대상유역
본 연구에서는 하천 내 격리/차단 공간에서의 생태적 연결성 회복을 위한 수리수문학적 분석을 위해 한강의 제 1지류인 청미천 유역을 선정하여 수치해석을 실시하였다. 청미천 유역은 현재 하천정비와 함께 구하도 복원이 진행되고 있으며, 여러 연구기관에서 생태 모니터링을 실시하고 있기 때문에 수리수문학적인 분석을 통한 생태적 연결성 분석에 알맞은 지역이다.
청미천의 유역면적은 595.13 km2, 유로연장은 60.69 km이다. 본 연구에서는 청미천 전체유역을 표준유역별로 나누고 청미천 본류구간에 속한 표준유역을 대상으로 수리수문 분석을 실시하였다 (Table 1). 청미천 유역은 총 6개의 표준유역으로 나뉘어져 있으나, 청미수위표-청미천하류 구간은 일부가 남한강 본류를 포함하고 있고, 수치해석 결과의 검증을 위한 자료의 획득이 어렵기 때문에 본 연구에서는 실측자료 및 기존 타 모형의 수치해석 결과가 존재하는 청미천상류-청미수위표구간의 5개 표준유역을 대상지역으로 선정하였다 (Fig. 1).
3.2 수치모형의 적용 및 결과
본 연구에서는 청미천 유역의 정밀토양도, 토지피복도, 토지이용도 및 수문관측소 등을 이용한 유역의 현황조사를 실시하였고, 이를 바탕으로 각 표준유역의 면적, 하도길이, 평균경사 및 조도 등을 결정하였다. 수리수문 분석을 위한 경계조건은 최근 10년간 청미천 유역에서 가장 많은 강우가 발생하였던 2006년 7월 16일부터 2006년 7월 29일까지의 강수량 자료 (음성군 생극면사무소 강우관측소)를 이용하였다 (Fig. 2).
|
Fig. 2. Hourly rainfall data used for the boundary condition of hydraulic and hydrologic analysis at the Sanggeuk rainfall station from July 16th to July 29th, 2006. |
수리수문특성 분석을 위해 해당 표준유역의 단순화를 실시하였고 (Fig. 3), 이를 지형자료로 입력하여 강우조건에 따른 대상지역 내 유출량을 해석하였다. Fig. 3은 청미천 상류 표준유역 (100701)의 유출량과 죽산천 표준유역 (100702)의 유출량이 청미천 중류의 표준유역 (100703)으로 유입되고, 청미천 중류 표준유역에서의 유출량을 계산한 뒤 응천 표준유역 (100704)의 유출량과 합쳐져 청미수위표 표준유역 (100705)으로 유입되는 모식도를 나타낸 그림이다. 각각의 사각형은 표준유역 별 하도를 기준으로 한 양쪽 유역을 나타낸다.
3.3 수치해석 결과 검증
본 연구에서는 청미천 유역을 대상으로 강우에 의한 유역에서의 유출량 해석을 통한 수리수문 분석을 실시하였다. 본 연구의 수치해석 결과를 실측자료 및 타 모형의 결과와 비교함으로써, 해석 결과의 검증을 실시하였다. Fig. 4는 청미수위표 지점에서의 동기간 실측자료와 4대강 홍수통제소의 수문학적 예측모형의 결과와 비교한 그림이다. 검증 결과를 살펴보면 본 연구의 수치해석 결과는 4대강 홍수통제소의 수문학적 예측모형의 결과와 비교하였을 때, 전체적으로 보다 높은 정확도의 결과를 제시함을 알 수 있다. 또한, 수문곡선의 검증에 많이 사용되고 있는 Nash-Sutcliffe 계수 (Nash-Sutcliffe model efficiency coefficient)를 이용한 통계적 검증을 실시하였다. Nash- Sutcliffe 계수는 상관계수 (correlation coefficient, CC), 편의 (bias), 평균제곱오차 (root mean square error, RMSE), 일치계수 (index of agreement, IoA)와 함께 모형의 적합성을 평가하는 하나의 통계적 평가수단이다 (Willmott 1981). Nash-Sutcliffe 계수는 Nash and Sutcliffe (1970)가 제안한 통계적 기준으로 편의를 줄일 수 있는 무차원 계수이다. 모의된 수문곡선이 실측 수문곡선과 잘 일치할수록 1에 가까워지는 성질이 있다. 이 기준은 무차원량으로서 자료의 개수에 관계없이 절대적 평가기준이 될 수 있다. Nash-Sutcliffe 계수는 다음과 같다.
(Eq. 14)
여기서,
는 관측유량의 평균값,
는 시간대별 해석된 유량이고,
는 시간대별 관측 유량이다.
본 연구의 수리수문 분석 결과와 4대강 홍수통제소의 수문학적 예측모형의 결과를 각각 실측 수문자료와 비교한 Nash-Sutcliffe 계수의 계산결과, 본 연구는 0.935074, 4대강 홍수통제소의 수문학적 예측모형은 0.876619로 나타났다. 계산결과에서도 알 수 있듯이, 본 연구에서 개발한 수치모형을 이용할 경우, 보다 정확한 수리수문 분석이 가능하고 생태적 연결성 분석에 필요한 신뢰도 높은 수리수문 정보의 제공이 가능할 것으로 판단된다.
4. 결 론
사회적으로 환경에 대한 관심이 증가함에 따라 하천관리의 방향 또한 생태하천으로의 복원으로 바뀌어가고 있다. 이와 같이 하천관리 방향이 변화함에 따라 하천의 종적구조물에 의해 차단된 제내지와 제외지의 연결을 복원하는 연구의 필요성 또한 증대되고 있다. 차단된 제내지와 제외지간의 수리수문 분석을 통해 수리수문 연결성이 회복된 서식처에서의 생태적 연결성을 분석하고 이를 하천 복원 시 고려할 수 있다면, 생태적 다양성이 보다 증대된 하천으로의 복원이 가능할 것이다.
본 연구에서는 차단된 제내지와 제외지가 존재하는 유역에서의 수리수문분석을 실시하였다. 본 연구에서 제시한 수치모형의 경우 해당지역에서의 강수량 자료를 바탕으로 유역유출과 하도흐름 해석을 동시에 수행할 수 있는 1차원 수치모형으로 최근 10년간 청미천 유역에서 가장 많은 강우가 발생하였던 기간을 선정하여 유출량 분석을 실시하였다. 본 연구의 수치해석 결과는 실측 자료와 타 모형과의 비교를 통해 신뢰할 수 있는 결과를 제공함을 알 수 있었다. 또한, Nash-Sutcliffe 계수의 비교를 통한 통계적 검증에서도 실측 수문곡선과의 일치율이 1에 가까운 값을 나타내어 정확도 높은 해석이 가능함을 알 수 있었다. 이러한 결과를 통해 본 연구의 결과는 생태적 연결성 분석을 위한 수리수문학적 자료의 제공에 매우 적합함을 알 수 있다.
추후 연구에서는 장기적인 관점에서의 유역유출 및 하도흐름 해석을 실시하고 유사이송 문제에 적용할 예정이다. 또한, 1차원 수위자료 및 유속결과를 2차원적으로 제공할 수 있는 방안에 대해 연구를 수행할 예정이다. 본 연구의 결과를 바탕으로 진행될 최종적인 연구의 목적은 폐천 및 구하도가 존재하는 대상유역에서의 수리수문학적 분석을 통한 수리특성정보 (수심, 유속 등)의 제공에 있다. 이러한 연구를 통해 수리적 연결성이 회복된 공간에서의 생태적 변화를 예측할 수 있는 기초자료의 제공이 가능할 것으로 판단된다.










