1. 서 론
2. 재료 및 방법
2.1 조사지 개황
2.2 자료 처리 및 분석
3. 결과 및 고찰
3.1 공정률에 따른 외래식물 풍부도 변화
3.2 공정률에 따른 외래식물 군집 특성
3.3 외래식물 현황 및 출현의 지속성
4. 결론 및 제언
1. 서 론
도로 및 철도 건설과 같은 선형사업 (linear development)은 교통수단을 통한 이동 기능을 기반으로 하여 산업입지의 지원 등의 접근 기능, 공간 제공 및 방재 기능 등 경제성장의 견인차 역할을 담당한다 (Fan and Chan-Kang 2005). 우리나라에서는 광복 이후 산업화가 급격하게 이루어지면서 도로 및 철도가 상당수 건설이 되었으며, 현재는 국토공간상 시간과 거리가 단축됨에 따라 전국의 1일 생활권화되었다 (Choi 1996). 풍요로운 삶의 영위뿐만 아니라 국가 경쟁력 강화를 위하여 도로 및 철도와 같은 선형사업은 지속적으로 진행되고 있는 중이다. 그러나 선형사업의 이면에는 교통사고의 증대, 지구온난화・대기오염・소음 등 환경오염의 가중, 지역단절 그리고 정체성의 저하 등 인간에게 부정적인 영향이 증대되고 있다 (Lee at al. 2004b). 또한 최근에 와서야 자연환경 훼손의 최소화, 이용객의 안전 강화 등을 고려한 환경친화적인 도로건설을 추진하고 있으나, 진행된 대부분의 도로사업은 저감방안이 체계적으로 수립되지 못하여 지역적인 규모에서 생물다양성을 포함하는 생태 및 환경에도 부정적인 영향이 미치고 있다 (Findlay et al. 2000). 서식처 파편화 및 가장자리 효과로 인한 생물의 이동성 제한과 로드킬 발생, 야생동물 서식처에 인간의 접근성 증가 및 외래종의 침입 등이 대표적인 예이다 (Mader 1984, Cowie and Warner 1993, Goodman et al. 1994).
도로개발은 벌목, 성토, 절토 등의 토공이 기본적으로 진행되는 공사로써, 대상 지역은 안정화된 생태계 훼손 또는 표토의 교란으로 나대지 또는 초지 생태계로 변화하여 (Doody 2013, Faucette et al. 2006), 외래식물의 침입에 매우 용이한 지역이 된다 (Forman et al. 2003). 외래식물은 교란된 환경에 적응하기 쉽고, 생존력 및 번식력이 고유종에 비해 뛰어나다. 이 중에는 생태계의 균형을 깨트리고 종 다양성을 감소시키는 심각한 문제를 일으키기 때문에 법적으로 관리되는 생태계교란 식물도 포함되어 있다. 정착에 성공한 외래식물은 주변지역의 고유생태계로 확산되면서 피해를 유발하기 때문에 외래식물 종자가 포함된 토양이 특별한 대책없이 외부로 반출될 경우 반입된 지역에도 식생 교란 및 생태계 훼손 등의 피해를 줄 수 있다 (Okimura 2016).
사후환경영향조사는 환경영향평가법 제36조 및 동법 시행규칙 제19조에 의거 사업자 혹은 사업자가 지정한 대행자가 수행하는 것으로, 해당 사업을 착공한 후에 그 사업이 주변 환경에 미치는 영향을 협의내용에서 제시한 환경영향조사 계획에 따라 조사하고 그 결과와 그에 따른 조치사항 및 이행사항을 구체적으로 작성하여 환경부장관, 승인기관의 장에게 통보하는 일련의 과정을 거친다. 이러한 체계를 통해서 진행된 도로건설사업은 2016년 12월까지 수행된 사후환경영향조사서 중 약 20.7% 정도를 차지할 정도로 환경영향평가 대상사업 중 단일사업으로는 가장 많음에도, 그 동안 이에 대한 체계적인 연구가 수행되지 않아 평가단계의 영향 예측과 공사 시 및 운영 시 실제 영향의 정도가 정밀하게 파악되지 못하고 있다 (Lee et al. 2004a). 특히 도로개발의 영향으로 생태계교란 식물의 확산 및 피해에도 불구하고, 현재까지 환경영향평가 절차 중에 생태계교란 식물의 피해 확산 방지와 관련된 환경영향평가 규정이나 지침은 미흡한 실정이다 (Bang 2014).
본 연구에서는 도로개발이 진행됨에 따른 외래식물의 분포 및 확산 추이를 파악하기 위하여 (1) 선정된 도로사업에서 수행된 환경영향평가 및 사후환경영향조사 통보서의 식물상 자료를 정리 및 분석하고, (2) 공사의 진행률 (공정률)에 따른 외래식물의 변화를 파악하여, (3) 도로개발 사업의 환경영향평가 단계에서 활용할 수 있는 외래식물 관리 및 저감방안 수립의 기초자료를 제공하는데 있다.
2. 재료 및 방법
2.1 조사지 개황
도로개발의 영향으로 인한 외래식물의 출현현황을 파악하기 위하여, 도로 사업의 환경영향평가서 및 사후환경영향조사결과 통보서에 제시된 식물상 자료를 이용하였다. 사업수행에 따른 외래식물상 변화를 분석하기 위하여 조사대상 사업은 공사가 완료된 ‘운영시’거나, 거의 완료된 ‘공사시’ 사업을 선정하였으며, 사업장 간의 지역적 식생변이를 최소화하고자 서로 인접한 사업장을 선택하였다. 따라서 도로개발 사업이 가장 활발하게 일어나는 한강유역환경청 관할의 도로개발 사업 총 80개 사업(2016년 기준) 중 다음을 만족하는 사후환경영향조사 사업을 선정하였다.
- 공사가 5년이상 지속된 사업장
- 공정률이 2016년 12월 기준 70% 이상이거나, 완공된 사업장
- 연도별 조사자료를 모두 제출한 사업장
위의 조건을 만족하는 사업장은 총 8곳으로, 기존의 개통된 도로를 확 포장하는 공사가 진행되는 4개 사업과; 설마~구읍간 도로 (SM), 연천~신탄리간 도로 (YC), 본오~오목천간 도로 (BO), 조리~법원간 도로 (JL), 도로를 신설하는 4개 사업으로; 신갈우회도로 (SG), 적성~전곡 도로 (JS), 장흥~송추 우회도로 (JH), 여주IC~장호원 도로 (YJ) 사업이다 (Fig. 1, Table 1).
Table 1. Road section, implementation company, authorizing institution, road length and road type of the study sites.
![]() |
Table 2. Summary of ANOVA for testing the effects of road length on floristic characteristics of alien species.
![]() |
선정된 사업장의 사업구간 길이가 출현 외래식물 종수에 미치는 영향을 파악하기 위해 R 환경 (R Core Team 2017)에서 일원분산분석 (one-way ANOVA)를 수행하였다 (Table 2). 그 결과 사업구간의 길이에 따른 외래식물 종수와 귀화율 (PN) 모두 유의한 차이가 없는 것을 확인하였기 때문에, 이후 도로사업장 연장 (길이) 요인은 분석에서 제외하였다.
2.2 자료 처리 및 분석
각 사업장에서 수행된 환경영향평가조사 및 사후환경영향조사의 식물상 조사 자료 중 외래식물상 자료를 추출하였다 (Appendix 1). 사업규모 및 재정 상황에 따라 사업 연차별 공정률 진행이 상이하므로 사업 연차가 아닌 공정률을 분석 기준으로 활용하였다. 공정률 구분은 공사 전 (pre-construction, P0), 공사진행 1~25% (post-construction25, P25), 공사진행 26~50% (P50), 공사진행 51~75% (P75) 그리고 공사진행 76~100% (P100)로 5단계로 분류하였다 (Table 3). 5단계로 분류한 외래식물상 자료를 이용하여 도시화지수 (UI), 귀화율 (PN), 일년생 식물 (PAN) 및 이년생 (PBI)의 비율 그리고 총 과수 (NOF)를 산출하였다 (Kim et al. 2000, Park 2009).
5단계의 공정률에 따른 외래식물 출현종 수의 차이를 검증하기 위해 R의 ‘aov’의 함수를 이용하여 다중비교를 실시하였다 (R Core Team 2017). 공정률과 외래종수의 관계는 직선회귀분석을 실시하여 결정계수 (R2)로 유의성을 검증하였다. 각 사업장에서 사업진행 (공정률)에 따른 외래식물상의 변화를 파악하기 위하여 서열분석을 실시하였다. 2개 이상의 사업장에서 출현한 외래식물의 출현 유무로 식물상 자료를 구축하였다. 이 자료를 이용하여 vegan 패키지의 ‘vegdist’ 함수로 Bray-Curtis 거리지수를 구하고, ‘cmdscale’ 함수로 주좌표분석 (principal coordinates analysis, PCoA)을 실시하였다 (Oksanen et al. 2017).
3. 결과 및 고찰
3.1 공정률에 따른 외래식물 풍부도 변화
공정률에 따른 외래식물 풍부도의 변화를 파악하기 위한 일원분산분석의 결과에 따르면, 외래식물의 풍부도는 공사 전 (P0)보다 공사 후 (P25, P50, P75, P100)에 더 많은 외래식물이 출현하였고, 공사에 의해 사업장 및 주변지역에 외래식물이 증가하는것으로 확인되었다 (Fig. 2). 직선회귀분석 결과에서도 공사가 진행됨에 따라 사업장 및 주변지역에서 외래식물이 유의하게 증가하였다 (p < 0.05) (Fig. 3).

Fig. 2.
Comparison of the number of alien species with construction progress rate. The horizontal line within the box indicates the median, boundaries of the box indicate the 25th- and 75th- percentiles. Error bars indicate the value of range from the greatest to the least, excluding outliers and circles indicate outliers. Different letters above the graph mean significant differences between the numbers of exotic species according to the construction progress rate (* p < 0.05) (P0, pre-construction; P25, P50, P75 and P100, 1-25%, 26-50%, 51-75% and 76-100% of construction progress rate, respectively).
3.2 공정률에 따른 외래식물 군집 특성
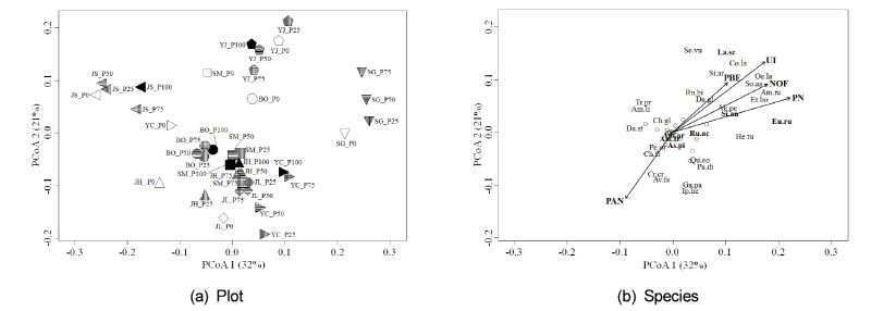
조사대상 사업의 공정률에 따른 외래식물 군집의 생태적 특성 및 천이 양상 등을 포함하는 특성을 파악하기 위하여 서열법을 실시하였다 (Fig. 4). 여주IC~장호원 도로 (YJ), 적성~전곡 도로 (JS), 신갈우회도로 (SG) 사업장은 현존식생의 차이로 인해 다른 사업장과 구별되었다 (Fig. 4a). 공정률에 따라 각 사업장은 도시화지수 (UI) 및 귀화율 (PN)이 증가하는 1사분면 방향으로 이동하는 경향이 확인되었다 (Fig. 4b). 또한 유입된 외래식물은 시간이 경과함에 따라 일년생 (PAN)에서 이년생 이상 다년생 (PBE)으로 대체되었으며, 주요한 2년생 이상 외래식물로는 가시상추 (La.sc), 서양등골나물 (Eu.ru), 오리새 (Da.gl), 실망초 (Er.bo) 등이 확인된다 (Fig. 4b). 이상의 결과를 종합하면, 각 사업장의 공정률이 증가함에 따라 조사대상 사업장에서 귀화율 (PN), 도시화지수 (UI), 출현 외래식물 과 (family)의 수 (NOF) 및 이년생 이상 다년생 외래식물 출현비율 (PBE)은 증가하고 1년생 외래식물의 출현비율(PAN)은 감소하는 방향으로 이동하고 있으며, 공사의 진행이 외래식물 종의 천이에 영향을 미치고 있다는 것을 알 수 있다 (Zeng et al. 2010).
3.3 외래식물 현황 및 출현의 지속성
공정률에 따라 각 사업장에서 출현하는 외래식물 군집의 조성이 일년생에서 이년생 혹은 다년생으로 변화하면서 점차로 증가하는 경향을 나타나는 것을 확인되었으므로, 군집 변화의 속성을 파악하기 위하여 종수준의 출현 지속성을 분석하여 Table 4에 정리하였다. 둥근잎돼지풀, 삼, 자리공 등의 9종은 공사전에만 발견되고 공사가 시작된 후 사라졌으며, 단풍잎돼지풀, 돼지풀, 미국쑥부쟁이 등의 53종은 공사이전부터 공사가 완료되는 시점까지 지속적으로 출현이 확인되었다 (Table 5). 공사 이후 새로게 도입된 외래식물은 총 25종으로 큰김의털, 큰금계국, 끈끈이대나물 등과 같이 식생복원의 목적으로 의도적 도입을 한 종 (7종)과, 가시박, 가시상추, 털여뀌 등과 같이 비의도적으로 유입된 종 (18종)으로 구분할 수 있다. 비의도적 도입 외래식물은 사업장 주변지역에서 자연적으로 확산되었거나 성토 및 복원을 위하여 외부로부터 반입된 토양에 종자상태로 포함되어 유입된 것으로 판단된다. 외래식물조성의 변화에서는 신갈우회도로 (SG), 장흥~송추 우회도로 (JH)가 각각 67% ((3+3+20)/53), 58%로 가장 큰 변화가 있는 것으로 분석되었으며, 반면에 조리~법원간 도로 (JL)는 27%로 변화가 가장 적은 사업장인 것으로 나타났다 (Table 5). 대부분의 사업장의 외래식물의 변화는 40~60%로, 초기출현 외래식물의 50%가 공사 마지막까지 지속적으로 출현하며 나머지는 다른 외래종으로 대체되는 것으로 파악되었다.

Fig. 4
Results of principal coordinates analysis (PCoA) using flora data at the construction sites. Biplot of road construction sites (a) (white, P0; vertical line, P25; horizontal line, P50; grid, P75; black, P100, abbreviations refer to Table 1) and biplot of alien species with species traits (b) (UI, urban index; PN, naturalized ratio; NOF, no. of family; PAN, percent of annuals; PBE, percent of biennials) (abbreviations of species refer to Table 5). The length and angle of arrows show the contribution of a particular plant trait variable to the PCoA axes.
Table 4. Changes in number of alien species according to the status and introduction types (abbreviations of sites
refer to Table 1).
![]() |
*Dissimilarity = (DN + IN) / Total no. of species. |
4. 결론 및 제언
본 연구에 의하면, 도로개발이 진행될수록 외래식물종 수, 귀화율 (UI) 및 도시화지수 (PN)가 증가한다. 그러므로, 도로공사는 사업장 및 사업장 인근의 외래식물종 수 증가에 영향을 미치는 것으로 파악되었다. 또한 공사초기에는 일년생 초본이 우점하고, 완공 시기에는 이년생 및 다년생 초본으로 외래식물 종 조성이 변화하는 외래식생의 천이도 확인되었다 (Johnston and Johnston 2004). 공사에 따른 외래식물 종 수는 공사 초기 외래식물 종수가 적을 경우 그 증가 경향이 뚜렷하게 나타났다.
또한 외래식물의 유입은 공사 초기에 주로 일어나며, 한 번 유입된 외래식물은 공사가 완료될 때까지 지속적으로 출현하는 것도 본 연구로 확인되었다. 외래식물 유입과 연관있는 주요공정은 식생복원과 성토 공정을 고려할 수 있으며, 식생복원은 의도적 도입으로, 성토공정은 비의도적 유입으로 구분할 수 있다.
따라서 도로사업장의 외래식물 관리를 위하여, 외부 반입 토양의 사업장 적체시 ‘포장 관리 (외부로부터 종자가 날아와 적체된 토양에 정착하여 외래식물의 공급원 (source)이 되지 않도록 덮어서 관리하는 방법)’, 사업장 내 표토를 활용 혹은 자생종을 활용한 식생복원 등의 유입방지 노력이 필요하다.










