1. 서 론
전 세계적으로 급속한 경제 성장 및 산업화에 따라 인구의 도시 집중현상이 심화되어 국내의 경우 생활하수 및 산업폐수, 가축사육 두수와 불투수층의 증가로 인한 호소 및 하천 등의 수계환경의 수질이 더욱 악화되고 있다. 이에 신규 하수처리장의 조성과 하수관거의 분류식화를 추진하고 있으나 여전히 상수원의 수질악화, 갈수시 악취 발생, 어류 폐사와 같은 문제가 주변에서 지속적으로 발생하고 있는 실정이다.
이와 같은 수계환경으로 유입되는 오염원은 배출특성에 따라 점오염원과 비점오염원으로 구분된다. 점오염원은 주로 가정 및 공장에서 배출되는 폐수가 해당되고 비점오염원은 특정한 배출지점이 정해져 있지 않고 강우시 지표면 유출수와 함께 발생되어 도로 및 논, 밭 등의 표면 및 내부에 존재하는 오염물질과 함께 배출되는 것이 해당된다. 이중 비점오염물질은 배출량 및 배출시기가 일정하지 않고 지역의 토지특성에 따라 유출특성과 오염농도가 다양하여 발생량의 예측과 처리가 어렵다. 비점오염원이 4대강 수질에 미치는 영향은 수계별로 2003년 기준으로 보면 22-37%에서 42-69%로 급격히 증가하는 추세에 있고, 이런 추세라면 2015년에는 수계별로 65-70% 수준에 이를 것으로 예측되고 있으며 (Watershed Management Bureau 2006), 특히 우리나라의 경우 연평균 강우량의 약 70%가 여름철에 집중되고 도시지역의 불투수층의 증가 추세와 더불어 지구 온난화로 인하여 우리나라의 기후가 아열대성 기후로 변함에 따른 집중 및 국지성 호우로 인해 관리가 더욱 어려운 실정이다. 이에 따라 그동안 비점오염원의 유출방지와 정화를 위하여 각종 정화용 장치 및 관련기술에 대해 많은 연구가 있어 왔고, 일정 규모이상의 사업장 등에 비점오염 처리시설을 설치하여 운영 중에 있으나 많은 수가 적정 용량 산정 및 유지관리가 미흡하여 정상적으로 운영되고 있지 않은 상황이다 (Lee 2004, Water Environment Management Bureau 2008, Lee and Han 2012, Cho 2014). 현재 비점오염물질을 처리 및 저감하기 위한 처리시설은 크게 저류형, 침투형, 식생형, 장치형, 하수처리형 등이 있고, 많은 사업장에서 비점오염저감시설을 설치 및 운영 중에 있다. 하지만 적정설치여부 조사 결과 유지관리가 어려운 구조로 설치되거나 안전시설이 설치되지 않는 사례 등 절반정도의 시설이 적절하게 운영되고 있지 않은 실정이다.
따라서 하천 수질 및 하천 생태 환경 개선을 위해서 강우시 발생하는 고농도 유입수와 비강우시의 오염된 하천수를 동시에 처리하여야 한다. 하지만 현재까지의 비점오염저감시설의 경우 많은 비용을 투자함에도 오직 비점오염원만을 대상으로 하고 있어 비효율적이라 할 수 있다. 이에 방치되어 왔던 하천 제방 또는 둔치 등 비교적 부지 확보가 용이한 수변공간에 저류지 및 인공습지와 제방의 사면안정성 확보를 위해 설치되는 호안블록의 3가지 요소기술을 연계하여 오염물질의 처리효율을 높이고자 연구를 진행한 바 있다 (Kim et al. 2015b). 하지만 당시에는 측정기간 동안 검증가능한 형태의 충분한 강우가 발생하지 않아 강우시의 성능검토가 수행되지 못하여 비강우시와의 성능 비교분석이 이루어지지 않았다. 따라서 본 연구에서는 연구시설의 실험장소를 옮겨 강우시의 강우유출수의 유입 특성과 강우시 및 비강우시의 유입수에 대한 유출수의 수질정화특성을 분석하여 수변공간을 활용한 오염부하 저감 및 차단 융복합 기술의 현장적용을 위한 보다 정확한 가능성을 검토하고자 한다.
2. 연구 방법
2.1 연구 시설
2.1.1 저류지 (detention pond)
본 연구에 사용된 저류지는 체류시간 약 190 min, 처리용량 약 50 ton/day 규모로 ①유입펌프와 유입수조로 이루어진 유입조, ②고농도 유입수를 저류하는 저류조 (Fig. 1a), ③고농도 및 저농도 유입수의 입자성 및 유기물질을 제거하기 위한 4개의 여과모듈로 구성된 간이처리조 (Fig. 1b)로 구성하였다. 유입조 내 SS 측정기를 설치하여 SS농도 80 mg/L 이상의 고농도의 유입수는 유입펌프로부터 저류조로 유입시켜 약 1시간 저류하여 부유물질을 침전시킨 후 간이처리조로 이송시키며, SS농도 80 mg/L 이하의 저농도 유입수는 저류조를 거치지 않고 바로 간이처리조로 유입하게 하였다. 간이처리조는 저류조 및 유입수조로부터 유입된 원수를 여과처리하여 인공습지 또는 호안으로 방류할 수 있게 계획하였다.
또한 유입수조 및 저류조, 간이처리조에 각각 자동밸브를 설치하여 자동제어반을 통하여 유입수 농도에 따라 유입수를 자동으로 분배토록 계획하였다. 그리고 간이처리조 내에 충진된 여재는 여과모듈 및 인공습지의 유입부하 분산 및 공극 폐색 시간을 연장시키고, 역세시 탈리가 비교적 용이하며 미생물 부착에 필요한 표면적이 넒은 특징을 가지기 위하여 생물막의 형성 및 흡착 성능이 뛰어난 유리발포여재 (D=20 mm)를 사용하였다 (Ahn et al. 2010).
2.1.2 인공습지 (wetland)
본 연구에 사용된 인공습지 (Fig. 2a)는 체류시간 280 min으로 크게 3개의 처리모듈과 1개의 역세척․방류모듈로 총 4개의 모듈로 이루어진 반응조로 구성하였으며, 각 모듈은 상향류방식으로 유입되며 반응조 총 용적 (846 L)의 88%를 여재로 충진하였다. 또한 체류시간을 조절할 수 있도록 정량펌프를 설치하고 여재의 역세척을 위하여 역세펌프를 설치하였다.
본 연구에 적용된 운전조건은 통상적인 습지여상의 운전조건과 유사하도록 호기성으로 설계하였으며, 각 처리부에는 단위 반응조별로 개별적으로 역세척 및 공기유량을 조절할 수 있도록 밸브를 각각 설치하였다. 역세척 방류부는 여재 폐색이 상당히 진행되는 경우 각 처리조 하부에 설치된 산기관을 통해 공기와 역세수를 주입하여 탈리된 물질을 원활히 배출하기 위해 배출부를 최후단에 설계하였으며 역세수에 함유되어 있는 입자성 침전물질의 원활한 배출을 위하여 바닥경사를 중앙이 가장 낮도록 하였다.
처리부의 3개 반응조 내에 충진된 여재는 전단에서의 저류조 유입수의 입자성 물질을 제거하기 위하여 표면이 다공질이며 비표면적이 커서 생물막형성에 유리한 화산석과 SiO2, CaO 등의 구성성분으로 질소 및 인 흡착이 우수한 인처리용 여재 (5-10 mm) 및 SS, BOD 을 저감하기 위하여 유기물 및 미세입자와 악취성분 등 오염물질의 흡착 제거성능이 우수한 활성탄 (3-5 mm)을 사용하였다 (Zhu et al. 1997, Sakadevan and Bavor 1998, Ko et al. 2006, Oh et al. 2010).
이와 같이 저류지에서 유입된 원수에 함유되어 있는 조대 입자성 물질을 1차적으로 제거하기 위하여 전단부에 화산석 (10-20 mm) 여재층을 두어 후단의 여재층에서 무기성 입자물질이 공극을 폐색을 예방하고 여재 표면에 자연적으로 형성되는 생물막 (biofilm)을 이용하여 용존성 오염물질 및 미세 입자성 물질을 제거하고자 하였다. 그 이후에는 질소와 인을 중점적으로 제거하도록 Si, Ca 계열로서 비중이 1보다 작은 인처리용 여재를 두었으며, 마지막 여재층으로 기타 처리되지 않은 잔여 유기물 등 용존유기물질을 처리하기 위하여 활성탄층을 두었다.
2.1.3 호안 (revetment)
현재 하천 호안부에 설치되는 호안블록의 경우 일반콘크리트로 구성되어 있어 홍수시 호안의 붕괴 등의 구조적 안정성만 가지고 있어 부가적인 친환경성은 전무하다. 이에 본 연구에서는 다공질 구조를 가지고 있는 포러스콘크리트 (porous concrete)로 블록 (Fig. 2b)을 제조 하며 (Park and Tia 2004, Park et al. 2010), 제조시 화산석을 사용함으로써 블록 자체의 다공질 구조 외 내부에도 공극을 부여하고, 화산석 및 완성된 블럭 자체를 수질정화효과가 있는 바실러스 (Bacillus)군으로 구성된 유용미생물 (EM)에 침지시켜 사용하여 (Kim et al. 2011, Lee et al. 2013, Kim et al. 2015a), 다공질 구조 및 재질로 인한 여과기능과 유용미생물의 활동에 의한 유기물질의 저감시키고자 계획하였다. 유용미생물의 침지 방법은 제조 전 화산석을 유용미생물 배양액에 침지시키고, 양생 완료된 생태호안블록을 다시 유용미생물배양액에 침지시켜 미생물의 탈리 등 문제점을 방지하였다. 제조시 사용된 배합은 Table 1과 같다.
2.2 운전 방법
2.2.1 처리계통도
본 연구의 요소기술의 연계처리에 따른 처리계통도를 Fig. 3에 나타내었다. 운전방법은 하천 및 토구로부터 저농도 및 고농도의 유입원수를 유입하되 부유물질에 의한 여재의 폐색을 막고 성능을 효율화하기 위하여 유입수조 내 설치된 SS측정장치로부터 SS 80 mg/L이상일 경우 저류조 및 여과조를 거쳐 인공습지에서 호안을 통하여 하천으로 방류하고, SS 80 mg/L이하일 경우 여과조를 거쳐 인공습지에서 호안을 통하여 하천으로 방류하는 것으로 계획하였다. 이는 각 시설에 설치된 전동밸브 및 펌프와 자동제어반에 의하여 스스로 조절하여 운전되게 계획하였다. 또한 각 처리공정에 overflow 시 안전성 확보를 위하여 바로 하천으로 방류할 수 있게 월류배관을 설치하였다.
2.2.2 대상 하천
본 실험 적용을 위한 대상부지는 경기도 여주시내 K 하천으로 선정하였으며 하천의 폭은 약 5.0 m, 수심 및 유속은 평시 약 32 cm와 0.10 m/s, 강우시 약 40 cm와 0.13 m/s이다. K 하천의 경우 해당 유역에 소, 중규모의 축산농가와 논, 밭이 산재해 있으며 음식점 및 골프장도 다수 분포하고 있어 생활․농업․축산폐수가 많이 유입되고 있으며, 특히 강우 시 가축분뇨와 퇴비 등 오염물질이 빗물에 씻겨 하천으로 바로 유입되고 있어 악취와 오염이 심각한 실정이다. 평상시 대상 하천의 특성을 Table 2에 나타내었다.
2.2.3 운영 및 분석
현장 부지에 시설을 설치한 뒤 약 10일 간의 시운전 및 안정화기간을 거친 후 8월부터 10월 동안 7일 간격으로 각 요소기술별 유입 및 유출부에서 각 3회씩 측정하되, 1회 측정 시 총 3개의 시료 채취하여 평균값을 최종값으로 하였으며, 채취시간은 하루 중 음식점 유출수 및 생활하수 유입이 많은 14시 또는 19시로 결정하였다. 또한 강우 시 시료는 ‘비점오염저감시설의 설치 및 관리․운영 매뉴얼’에 준하여 채취하여 분석하였으며, 수질 분석 항목과 방법은 다음 Table 3과 같다.
3. 결과 및 고찰
3.1 강우유출수의 특성 평가
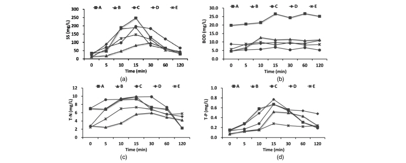
수변공간을 활용한 수질정화기술의 강우유출수에 대한 연계처리 시험결과를 분석하기 전 강우시 하천으로 유입되는 강우유출수의 특성을 분석하고자 하였다. 총 5개월(8-12월)의 실험기간 중 강우강도 및 강우량이 낮아 분석하기 곤란한 경우를 제외한 총 5회 (A, B, C, D, E)의 강우에 대하여 강우초기 유출직전부터 2시간동안 총 7회의 시료를 채취 (유출직전, 5분, 10분, 15분, 30분, 60분 및 120분)한 뒤 SS, BOD 및 T-N, T-P 특성을 분석하였으며, 그 결과를 Fig. 4에 나타냈다.
이를 고찰하여 보면, BOD를 제외한 SS, T-N, T-P는 강우초기부터 시간이 경과할수록오염농도가 점차 증가하여 약 15분 후 가장 높은 농도를 보였으며, 그 이후에는 점차 감소하여 2시간후에는 유출직전과 비슷한 농도를 나타냈다. 다만 BOD의 경우는 강우초기부터 실험 종료시까지 다소 증가하는 경향을 보였으나 강우초기에 비하여 큰 차이는 나타나지 않았다.
3.2 요소기술별 수질정화 특성 평가
3.2.1 SS 제거특성 평가
실험기간 중 총 5회의 강우 (A, B, C, D, E)와 비강우시 각 요소기술별 SS 시험결과를 Fig. 5a, Fig. 5b 및 Table 4에 도시하였다. 강우시 각 요소기술 유입수의 SS 농도 평균값은 각각 88.0 mg/L, 38.1 mg/L, 17.8 mg/L를 보였고, 유입수 대비 유출수의 SS 제거효율은 저류지의 경우 평균 56.4%, 최대 58.7%, 최소 54.8%이며 인공습지의 경우 평균 53.0% 최대 59.3%, 최소 49.4%, 생태호안의 경우 평균 87.0%, 최대 88.5%, 최소 85.6%로 나타났다. 한편, 비강우시 각 요소기술 유입수의 SS 농도 평균값은 각각 20.5 mg/L, 14.7 mg/L, 9.3 mg/L를 보였고, 유입수 대비 유출수의 SS 제거효율은 저류지의 경우 평균 28.4%, 최대 31.0%, 최소 24.3%이며 인공습지의 경우 평균 36.9% 최대 43.8%, 최소 27.9%, 생태호안의 경우 평균 34.4%, 최대 52.4%, 최소 21.6%로 나타났다.
요소기술별 유입수 대비 유출수의 SS 제거율을 고찰하여 보면, 강우시는 저류지와 인공습지의 제거효율이 생태호안 보다 높게 나타났고, 비강우시에는 인공습지→생태호안→저류지의 순으로 제거효율이 나타났다. 이는 각 공정특성과 체류시간에 기인한 것으로, 인공습지의 경우 상향류 방식으로 체류시간이 가장 길며 내부에 비교적 입도가 작은 여재를 적용하였고, 저류지의 경우 수평류 방식으로 체류시간이 인공습지에 비하여 짧고 여재의 직경 또한 크기 때문으로 판단되며, 다만 강우시의 경우 유입수가 고농도이고 저류지 내 저류조에서 1시간 가량 부유물질이 침전되었기 때문으로 판단된다. 또한 생태호안의 경우 인공습지에서 유출된 오염수가 다공질의 포러스콘크리트 내부를 통과함에 따라 부유물질이 제거되었기 때문으로 판단된다.
3.2.2 BOD 제거특성 평가
현장시험결과 각 요소기술별 강우 시 (A, B, C, D, E)와 비강우시 BOD 시험결과를 Fig. 6a, Fig. 6b 및 Table 4에 도시하였다. 현장시험 결과 강우시 각 요소기술 유입수의 BOD 농도 평균값은 각각 11.3 mg/L, 8.2 mg/L, 4.6 mg/L로 나타났고 유입수 대비 유출수의 BOD 제거율은 저류지의 경우 평균 27.4%, 최대 31.2%, 최소 21.5%이며 인공습지의 경우 평균 42.8%, 최대 48.0%, 최소 36.6%이고 생태호안의 경우 평균 21.2%, 최대 23.4%, 최소 18.6%로 나타났다. 한편 비강우시 각 요소기술 유입수의 BOD농도 평균값은 각각 7.2 mg/L, 5.3 mg/L, 3.5 mg/L로 나타났고 유입수 대비 유출수의 BOD 제거율은 저류지의 경우 평균 26.1%, 최대 32.1%, 최소 21.0%이며 인공습지의 경우 평균 33.7%, 최대 38.8%, 최소 27.3%이고 생태호안의 경우 평균 26.1%, 최대 37.9%, 최소 19.6%로 나타났다.
요소기술별 유입수 대비 유출수의 BOD 제거율을 고찰하여 보면 인공습지의 제거효율이 가장 높게 나타났으며, 생태호안과 저류지는 거의 동일한 제거효율이 나타났다. 이는 저류지와 생태호안의 경우 체류시간이 인공습지에 비하여 짧고 미생물의 흡착이 곤란한 것이 비하여, 인공습지의 경우 내부에 설치된 작은 입경의 여재 표면 및 내부에 오염물이 흡착되고 생물막 형성으로 인한 미생물의 생물학적 활동으로 인하여 유기물이 제거되어 BOD 제거율이 높은 것으로 판단된다.
3.2.3 T-N 및 T-P 제거특성 평가
현장시험결과 각 요소기술별 강우시 (A, B, C, D, E)와 비강우시 T-N 시험결과를 Fig. 7a, Fig. 7b 및 Table 4에 도시하였다. 또한 T-P 시험결과를 Fig. 8a, Fig. 8b 및 Table 4에 나타내었다. 현장시험결과 강우시 각 요소기술 유입수의 TN 농도 평균값은 각각 6.25 mg/L, 5.46 mg/L, 3.90 mg/L로 나타났고 유입수 대비 유출수의 TN 제거율은 저류지의 경우 평균 12.5%, 최대 16.5%, 최소 9.5%이며 인공습지의 경우 평균 28.3%, 최대 36.2%, 최소 25.5%이고 생태호안의 경우 평균 14.2%, 최대 20.5%, 최소 8.0%로 나타났다. 한편 비강우시 각 요소기술 유입수의 TN 농도 평균값은 각각 2.58 mg/L, 2.27 mg/L, 1.77 mg/L로 나타났고 유입수 대비 유출수의 TN 제거율은 저류지의 경우 평균 12.3%, 최대 23.8%, 최소 3.8%이며 인공습지의 경우 평균 22.4%, 최대 35.2%, 최소 11.2%이고 생태호안의 경우 평균 6.3%, 최대 13.5%, 최소 2.8%로 나타났다. 요소기술별 유입수 대비 유출수의 TN 제거율을 고찰하여 보면 인공습지의 제거효율이 가장 높게 나타났으며, 저류지와 생태호안은 비슷한 제거효율을 보였다.
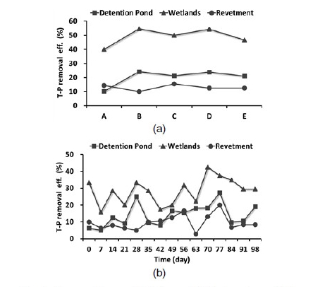
또한 강우시의 T-P 시험결과 각 요소기술 유입수의 TP 농도 평균값은 각각 0.32 mg/L, 0.26 mg/L, 0.13 mg/L로 나타났고 유입수 대비 유출수의 TP 제거율은 저류지의 경우 평균 20.1%, 최대 24.1%, 최소 10.2%이며 인공습지의 경우 평균 49.1%, 최대 54.5%, 최소 40.0%이고 생태호안의 경우 평균 12.9%, 최대 15.3%, 최소 10.0%로 나타났다. 한편 비강우시의 T-P 시험결과 각 요소기술 유입수의 TP 농도 평균값은 각각 0.14 mg/L, 0.12 mg/L, 0.08 mg/L로 나타났고 유입수 대비 유출수의 TP 제거율은 저류지의 경우 평균 14.0%, 최대 27.2%, 최소 5.0%이며 인공습지의 경우 평균 28.3%, 최대 42.5%, 최소 15.7%이고 생태호안의 경우 평균 9.6%, 최대 20.0%, 최소 2.86%로 나타났다. 요소기술별 유입수 대비 유출수의 TP 제거율을 고찰하여 보면 인공습지→저류지→생태호안 순으로 제거율이 높게 났으며, 이는 인공습지 내부에 설치된 여재 및 화산석과 활성탄의 넓은 비표면적과, 여재의 SiO2, CaO 등의 구성성분으로 질소 및 인이 흡착되고 생물막이 형성되어 인공습지의 제거효율이 가장 높게 나타난 것으로 판단된다.
4. 결 론
본 연구에서는 수변공간을 활용하여 하천으로 유입되는 오염물질을 제거하기 위하여 저류지 및 인공습지, 호안의 세가지 요소기술을 적용하여 처리효율을 높이는 동시에 상시 운영가능한 수질정화 융복합 시설의 현장에서의 수질정화능력을 평가하였으며 그 결과는 다음과 같다.
수변공간을 활용한 수질정화기술의 강우유출수에 대한 연계처리 시험결과를 분석하기 전 강우시 하천으로 유입되는 강우유출수의 특성을 분석하고자 하였다. 총 5개월 (8-12월)의 실험기간 중 강우강도 및 강우량이 낮아 분석하기 곤란한 경우를 제외한 총 5회 (A, B, C, D, E)의 강우에 대하여 강우초기 유출직전부터 2시간동안 총 7회의 시료를 채취 (유출직전, 5분, 10분, 15분, 30분, 60분, 120분)한 뒤 SS, BOD 및 T-N, T-P 특성을 분석하였다.
BOD를 제외한 SS, T-N, T-P는 강우초기부터 시간이 경과할수록오염농도가 점차 증가하여 약 15분 후 가장 높은 농도를 보였으며, 그 이후에는 점차 감소하여 2시간후에는 유출직전과 비슷한 농도를 나타냈다. 다만 BOD의 경우는 강우초기부터 실험 종료시까지 다소 증가하는 경향을 보였으나 강우초기에 비하여 큰 차이는 나타나지 않았다.
부유물질 (SS)의 측정 결과 강우시 및 비강우시에 대하여 저류지는 평균 56.4%, 28.4%, 인공습지는 53.0%, 36.9%, 생태호안은 36.3%, 34.4%로 나타났다. 강우시에는 저류지와 인공습지의 제거효율이 다소 높았으며, 생태호안이 가장 낮은 제거효율을 나타내었으나 비강우시에는 모두 비슷한 제거효율을 나타내었다. 또한 저류지와 인공습지는 강우시와 비강우시의 제거효율이 확연히 차이를 보이는 것과 달리 생태호안의 경우 강우시와 비강우시의 제거효율이 큰 차이를 보이지 않았다. 이를 고찰하여 보면 인공습지의 경우 내부에 비교적 입도가 작은 여재층을 오염수가 상향류 방식으로 유입시키게 되나, 저류지의 경우 강우시에는 저류조에서 부유물질이 침전되는 것에 비하여 비강우시에는 저류조를 거치지 않고 간이처리시설에서 수평류방식으로 유출되는 방식이기 때문에 강우시에는 저류조의 제거효율이 높고 비강우시에는 낮게 나타난 것으로 판단된다.
유기물질 (BOD, T-N, T-P)의 측정 결과 강우시 각 요소기술에 대한 유입수 대비 유출수의 제거율은 저류지의 경우 27.4%, 12.5%, 20.1%, 인공습지의 경우 42.8%, 28.3%, 49.1%, 호안의 경우 21.2%, 14.2%, 12.9%로 나타났으며 비강우시는 저류지의 경우 26.1%, 12.3%, 14.0%, 인공습지의 경우 33.7%, 22.4%, 28.3%, 호안의 경우 26.1%, 6.3%, 9.6%로 나타났다. 각 항목에서 인공습지가 효율이 가장 높았으며 이는 인공습지 여재의 SiO2, CaO 등의 구성성분으로 질소 및 인이 흡착되고 생물막 형성으로 인한 미생물의 생물학적 활동으로 인하여 유기물질이 제거된 것으로 판단된다.
강우시 및 비강우시에 대한 오염물질 제거율을 살펴보면, 전체적으로 비강우시 보다 강우시에 제거효율이 높았으며, 특히 SS의 경우 강우시과 비강우시의 제거효율 차이가 확연히 나타났다. 또한 BOD 및 T-N, T-P의 경우에는 저류지는 큰차이를 보이지 않았으나, 인공습지 및 생태호안은 제거효울이 다소 차이를 보였다. 이는 비강우시 보다 강우시에 고농도의 오염수가 유입되고, 저류지 내 저류조의 침전과정 및 인공습지 내부의 여재 및 생태호안의 내부공극에 기인한 것으로 판단된다.
따라서 본 연구 결과 각 저류지 및 인공습지, 생태호안을 연계하여 처리함으로써 강우시 및 비강우시의 운전방법에 따라서 충분한 제거효율을 보이는 것으로 나타났다. 다만, 1-2년 이상의 장기운전을 통하여, 계절과 여재 폐색 및 유지관리에 따른 제거효율 변화에 대한 충분한 추가 연구가 필요할 것으로 사료되며 추후 보다 상세한 연구가 이루어져야 할 것으로 판단된다.














