1. 서 론
2. 연구 방법
2.1 내구성-비용 지수
2.3 크립토스포리디움의 정수처리 방안 기초자료
3. 결과 및 토의
3.1 배출수계 E2 오염문제의 구조적 대안에 대한 내구성 평가
3.2 취수원 크립토스포리디움 오염문제의 구조적 대안에 대한 내구성 평가
4. 결론
1. 서 론
회복탄력성 (resilience)의 개념은 시스템이 내/외부의 간섭에 의해 본래의 기능을 상실하였을 때, 정상 상태로 되돌아가는 능력으로 설명될 수 있다 (Vugrin et al. 2010). 기후변화와 인간중심의 생활환경 조성으로 인해 급격하게 증가하고 있는 인재 및 자연재해에 효과적으로 대응할 수 있는 도시를 조성하기 위해, 회복탄력적인 사회기반시설 구축이 강조되고 있다.
본 연구진은 도시 홍수 문제를 대상으로 기반시설과 구조적 대안의 회복탄력성을 평가하기 위해 내구성-비용 지수 (robustness-cost index, RCI)를 제안한 바 있다 (Lee et al. 2016). 제안한 지표는 계획범위를 초과하는 재해에 대한 복구 신속성 항목을 포함하지 않지만, 비교적 손쉽게 활용 가능한 자료를 바탕으로 비용 최적화 된 사회기반시설 및 구조적 대안의 내구성 (기반시설이 재해에 견디는 속성)을 평가할 수 있으므로, 사회인프라의 회복탄력성 평가지표로서 활용가치가 높다.
본 연구에서는 회복탄력적 사회기반시설 구축의 일환으로, RCI를 이용하여 도시에서 발생 가능한 수질오염 문제에 대한 기반시설 및 구조적 대안의 내구성을 평가하고자 한다. 대표적인 도시 수질문제로 인체기원 에스트로겐에 의한 하수 처리수 배출수계 오염문제와 상수 취수원의 크립토스포리디움 (Cryptosporidium sp.) 오염 사례를 선정하였다.
인체로부터 배출되는 내생 에스트로겐 (endogenous estrogens)은 하수처리시설을 경유하여 배출수계로 유입된다. 특히, 17β-estradiol (E2)은 매우 높은 에스트로겐 활성을 갖기 때문에, 수 ng L-1 수준의 낮은 농도에서도 수생태계에 심각한 교란을 일으킬 수 있는 것으로 알려져 있다 (Maria et al. 2013). 그러나 현재의 활성슬러지 공정 위주의 하수처리공정이 E2를 포함한 미량오염물질을 제거하기 위해 설계된 공정이 아니기 때문에, 그 제거효율이 평균 81.7%로 미량오염물질 대상 제거공정에 비해 상대적으로 낮다 (Luo et al. 2014). 따라서 기존의 활성슬러지공정이 고도처리공정으로 대체되는 것을 구조적 대안으로 보고, 하수 내 E2의 제거에 대한 내구성 평가를 수행하였다.
또한, 최근 미국의 대규모 수인성 발병의 원인이 된 크립토스포리디움은 염소에 대한 내성이 매우 강하고 난포낭의 직경이 4-6 μm이기 때문에 일반적인 소독공정과 물리적 처리공정으로 충분히 제거가 힘들다 (Teunis et al. 1997, Lee et al. 2013). 우리나라에서도 2012년 서울에서 상수도를 통해 126명이 집단 감염된 사례가 보고된 바 있어 (KMHW 2013), 본 연구에서는 취수원에 포함된 크립토스포리디움 문제에 대해 고도정수처리 소독 공정으로 활용되고 있는 자외선 및 오존소독 공정을 구조적 대안으로 선정하였고 RCI를 통해 평가하였다.
2. 연구 방법
2.1 내구성-비용 지수
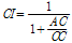
본 연구에서는 도시 홍수의 구조적 대안에 대한 내구성 평가를 위해 Lee et al. (2016)이 제안한 바 있는 내구성-비용 지수를 도입하여, 하수 처리수의 배출수계 중 E2 오염문제 및 취수원 원생동물 번성문제를 대상으로 현 기반시설과 구조적 대안들의 회복탄력성을 평가하였다.수질의 경우에는 Lee et al. (2016)이 제안한 수량적 평가와는 달리 수질기준이 존재하므로 처리수의 농도가 수질기준보다 낮을수록 시설의 내구성이 확보되었다고 할 수 있다. 따라서, 내구성 지수 (robust index, RI)를 Eq. 1과 같이 수정하였고, 비용 지수 (cost Index, CI) 는 Lee et al. (2016)과 동일하게 사용하였다 (Eq. 2). 내구성 지수와 비용 지수를 곱하여 내구성-비용 지수 (Eq. 3)를 얻을 수 있다. RI 값이 1 이상일 경우 현 기반시설 및 구조적 대안이 내구성을 확보한 경우이며 그 값이 클수록 내구성이 우수한 것을 의미한다. 또한, 대안의 유지 및 추가 비용을 통해 구조적 대안의 수립의 경제성을 함께 평가함으로써, 재해의 종류와 규모의 변화에 따라 내구성과 비용을 고려한 최적의 대안을 RCI 값을 이용해 선정할 수 있다 (Lee et al. 2016).
(Eq. 1)
(Eq. 2)
(Eq. 3)
여기서 ST (standard)는 오염물질의 수질기준, DS (disaster scale)는 원수 내 오염물질의 농도, AE (alternative efficiency)는 현 기반시설과 구조적 대안의 처리 효율, AC (alternative cost)는 구조적 대안의 비용 (건설비, 유지비 등) 및 CC (current system cost)는 현재 기반시설의 비용이다.
하수 처리수 배출수계 E2 오염문제의 경우, ST는 배출수계 수질기준 (ng L-1), DS는 하수 내 E2 농도 (ng L-1), AE는 전체 하수처리공정의 E2 제거율 (%)이다. 이 때, 현 기반시설과 구조적 대안의 종류 및 하수처리 비율에 따라, 하수 유량을 이용해서 제거율을 보정한다.
상수 취수원 원생동물 오염문제의 경우, 크립토스포리디움의 수질기준이 농도가 아닌 불활성률로 제공되므로, 내구성 지수의 재정의가 필요하다. 수도법 시행규칙 18조 2의 3항에 따르면 취수지점부터 정수장의 정수지 유출지점까지의 구간에서 크립토스포리디움 난포낭을 1백분의 99 이상 제거할 것을 명시하고 있으므로 (KMGL 2016), 처리율을 의미하는 불활성률을 처리기준이 농도단위인 Eq. 1에 그대로 적용하기에는 무리가 있다. 따라서, 대안시설이 기준 불활성률보다 높은 크립토스포리디움 불활성률을 달성하였을 때, 시설의 내구성이 높아지도록 Eq. 1을 Eq. 4로 변형, 재해석하였다.
(Eq. 4)
여기서 ST는 방안의 수질 기준 불활성률 (log(N0/N)), AE는 소독시설의 방류 시 불활성률 (log(N0/N))이다.
2.2 배출수계 E2 오염문제 및 구조적 대안 기초자료
본 연구에서는 Johnson and Williams (2004)의 연구를 활용하여 중랑 물 재생센터에서 한강으로 방류하는 하수 처리수에 포함된 E2의 농도를 추정하였다. 서울에서 발생하는 분뇨의 약 99.7%는 정화조로 유입된 후, 상등수는 수 일의 체류시간을 거쳐 하수관거를 통해 하수처리시설로 유입되고, 침전 고형물은 분뇨수거차량에 의해 주기적으로 분뇨처리시설로 운반된다 (KMOE 2013).
Johnson and Williams (2004)는 문헌조사를 통해 성별 및 연령별 인구집단이 분과 뇨를 통해 하루 동안 배출하는 E2의 평균값을 제시한 바 있다. 본 연구에서는 정화조를 거쳐 추가적인 처리공정을 거치게 되는 분의 특성을 감안하여 뇨에 포함된 E2만이 하수처리시설로 유입되는 것으로 가정하고, Johnson and Williams (2004)의 제시 값 중 뇨에 포함된 E2의 배출량 원단위 평균치만을 사용하였다. E2의 경우 4.01의 log
값을 갖기 때문에 (Joss et al. 2004) 정화조 내에서 분 (feces)으로부터 수중으로 탈착될 개연성이 낮다. Johnson and Williams (2004)에 제시된 뇨를 통한 인구집단 별 E2의 배출량 원단위는 남자의 경우 1.2 ± 0.1 μg day-1 person-1, 임신한 여성의 경우 191 ± 53 μg day-1 person-1, 호르몬 치료 중인 여성의 경우 56 ± 4.5 μg day-1 person-1, 폐경기 여성 (50세 이상)의 경우 0.9 μg day-1 person-1 및 가임기 여성 (15-49세) 의 경우 3.0 ± 1.5 μg day-1 person-1이다.
서울시 행정구역 별 2010년 인구, 연령분포 및 2011년 신생아 수 통계를 활용하여 (KOSIS 2016), 2010년을 기준으로 한 행정구역 내 남성의 비율 (49.2%), 가임기 여성의 비율 (28.0%), 폐경 여성의 비율 (12.5%), 호르몬 치료 중인 여성의 비율 (3.5%) 및 임신 중 여성의 비율 (0.2%)을 산정하였다. 특히 Lee et al. (2012)의 연구 결과를 차용하여 50세 이상 여성의 21.8%가 호르몬 치료를 받고 있다고 일괄 가정하여 호르몬 치료 중인 여성의 비율을 도출하였다.
전술한 배출량 원단위, 행정구역 인구분포 및 하수처리시설의 유량 정보 (일 평균 1,590,000 m3 day-1)를 이용하여 (Eq. 5), 중랑 물 재생 센터로 유입되는 하수 중 E2의 농도를 추정하였다. 중랑 물 재생센터로 유입되는 하수 내 E2의 추정농도는 5.48 ng L-1이다.
(Eq. 5)
여기서 C는 E2의 농도 (ng L-1), P는 인구집단 별 사람 수 (person), E는 인구집단 별 E2 배출량 원단위 (μg day-1 person-1), Q는 하수처리시설 유입하수 유량 (m3 day-1)이다.
한편, 중랑 물 재생 센터 내 하수처리시설 (1976년 개소, 총 사업비 3,120억 원 소요)은 유입유량의 71.1%를 전통적인 활성슬러지 공정을 이용하여 처리하며, 28.9%를 고도처리공정 (biological nutrient removal) 중 A2O (anaerobic-anoxic-aerobic) 공정을 이용하여 처리해 왔다 (2007년 증설 완료, 총 사업비 1,480억 원).
A2O 공법은 질산화 과정이 포함되는데, 이 경우 에스트로겐 제거율이 증가하는 것으로 보고된 바 있다 (Luo et al. 2014). A2O 공법 내 질산화 과정에 필요한 긴 고형물 체류시간 (solid retention time, SRT)이 높은 에스트로겐 제거율의 이유로 추정된다 (Luo et al. 2014). Johnson and Wiliams (2004)에 따르면 전통적 활성슬러지 공정의 평균적인 E2 제거율은 81.7% 이다. Servos et al. (2005)은 질산화 과정이 포함된 활성슬러지 공법의 E2 제거율을 94.7%로 제시한 바 있다. 따라서, 중랑 물 재생 센터에서 한강으로 방류되는 하수 처리수 내 E2 농도는 전통 활성슬러지 공정에서 1.0 ng L-1, A2O 공정에서 0.29 ng L-1로 추정된다. 각 공정이 담당하는 하수 유량 비율을 이용하여 보정한 하수 처리수 내 E2 농도는 0.80 ng L-1로 추정된다.
배출수계 부영양화 방지를 위해 방류수 수질기준이 강화됨에 따라 중랑 물 재생 센터 고도화 및 시설 현대화 사업이 수행되고 있다. 증설 공정 (i.e., 순환식질산화탈질법 (Modified Ludzack Ettinger, MLE) 및 부상식생물막여과법 (SK biological aerated filters, SBAF))을 통하여 일 평균 1,130,000 m3 day-1의 유량을 단계적으로 처리할 계획이며, 2016년 내 완공을 목표로 총 3,231억원의 예산이 투입되고 있다 (Seoul 2016).
2.3 크립토스포리디움의 정수처리 방안 기초자료
정수처리기준 (KMOE 2012)에 명시된 크립토스포리디움 소독능에 대한 기준은 소독 방안과 소독 시 조건에 따라 다르기 때문에 평가 시 시스템의 효율을 표준화 하기 위해 정수처리기준 (KMOE 2012)을 기준으로 산정하였다. 평가를 하기 위해서 정수처리시설은 강남구에 상수도를 공급하는 강동암사아리수정수센터 (KAA 2016 개인 서신)의 자료를 참고하여 평가기초자료와 가정수립을 진행하였다 (Table 1). 시설의 건설비는 2기를 기본으로 하는 소독시설의 크기를 가정하여 산정하였다.
정수처리기준 해설서 (NIER 2013)에 따르면 크립토스포리디움의 정수처리 기준은 불활성률이 2 log이므로, 본 연구에서는 각 시스템의 성능을 불활성률을 2 log로 기준으로 포함하여 앞뒤 전후 값인 1.5 log와 2.5 log 일 때 평가를 하였다. 평가 시 기존의 수처리시설은 소독시설을 갖추지 않은 상황으로 가정하였다. 또한, 정수처리 시설의 특성 상, 장기간 같은 공정을 사용하기 때문에 20년간 처리 시설을 운영 시 내구성-비용 지수를 산정하였다.
오존의 경우, 정수처리기준 (KMOE 2012)이 잔류소독제 농도 (concentration, mg L-1)와 소독제 접촉시간 (time, 분)의 곱을 의미하는 CT계산값을 기준으로 하는데, 수온과 불활성률에 따라 이 값이 달라진다. Kim et al. (2011)에 따르면 2007. 1-2009. 12 기간 동안 분석한 한강의 수온의 중간값은 16-18°C이므로 이 값 중 정수처리기준 (KMOE 2012)상에서 근접한 15°C를 평가 시 수온으로 정하였다. 체류시간은 정수처리기준 해설서 (NIER 2013)에 따르면 후 오존처리의 권장 체류시간은 10-15분이기 때문에 10분을 체류시간으로 고정하여 평가하였다.
3. 결과 및 토의
3.1 배출수계 E2 오염문제의 구조적 대안에 대한 내구성 평가
서울시 거주 인구에 의해 중랑 물 재생센터로 유입되는 하수 내 E2의 농도는 연중 큰 변동 없이 유지될 개연성이 높기 때문에, 본 내구성 평가에서는 유입하수 내 E2의 농도 (재해의 규모)는 변화시키지 않고, 2.2절에서 서술한 추정치 5.48 ng L-1 만을 사용하였다.
중랑 하수처리시설 고도화 및 시설현대화 사업에 의해 질산화를 포함한 고도처리공정이 감당하는 처리유량의 비율이 증가함에 따른 RCI 의 변화 양상을 관찰하였다 (Fig. 1). 고도처리공정을 추가적으로 도입할 경우, 유입 하수 내 E2 제거율이 81.7%에서 94.7%로 증가하기 때문에, RI 값은 0.399에서 1.38까지 증가하였고, 건설비 증가에 따라 CI 값은 1에서 0.436까지 감소하였다 (Fig. 1). 종합적으로 고도화율 0%, 28.9%, 50%, 85% 및 100%에 대한 RCI 값은 각각 0.399, 0.400, 0.396, 0.486 및 0.601이다 (Fig. 1). 28.9%의 경우, 현재 A2O 공정이 감당하고 있는 하수 유량을 의미하는데, 이 경우 RI 값이 1보다 작기 때문에 기반 시스템이 재해를 감당할 수 있는 내구성이 확보되지 않았음을 의미한다. 한편, 85%의 경우, 2012년 완공되어 현재 가동 중에 있는 MLE 공정이 감당하고 있는 하수 유량을 포함한 경우인데, 이 때 RI 값이 1.01로 내구성이 확보된 것으로 평가된다. 2016년 내 완공을 예정으로 하는 SBAF 공정이 가동될 경우, 중랑 물 재생 센터 유입 하수는 전량 고도 처리되며, 이 때의 RI 값뿐만 아니라 RCI 값이 가장 크다 (Fig. 1). 배출수계의 E2 수질기준과 하수처리수 내 E2의 농도와의 비로 정의되는 RI 값은 그 값이 클수록, 하수처리수가 배출수계에 미치는 영향이 작을 뿐만 아니라 추가적인 E2의 유입에 견딜 수 있는 용량이 큼을 의미한다. CI 값은 구조적 대안의 비용과 기존 시스템의 비용의 비가 클수록 작아지는데, 이를 통해 구조적 대안이 RI를 향상시키는 데 소요되는 비용 효율성을 의미한다. 최종적으로 RI와 CI의 곱인 RCI를 통해 배출수계 E2 오염문제의 구조적 대안에 대한 비용 효율적인 내구성 평가를 수행할 수 있다. 따라서, 하수처리공정 고도화 사업은 배출수계인 한강의 E2 오염 방지 측면에서도 바람직한 사업이라 판단된다.
3.2 취수원 크립토스포리디움 오염문제의 구조적 대안에 대한 내구성 평가
전술한 바와 같이, 시스템의 최저 불활성률을 2 log를 기준으로 두었기 때문에, 정수처리기준 상 2 log의 앞뒤 값인 1.5 log, 2.5 log 값을 포함하였다. 이때 소독시설의 RI 는 각각 0.75, 1, 1.25로 시설의 처리능이 높아질수록 지수의 값도 높아지며 처리 기준 불활성률보다 높은 소독 능을 보일 시 RI 값이 1을 초과하여 내구성이 확보되는 것을 알 수 있었다.
자외선 소독시설의 경우 불활성률이 1.5 log, 2 log, 2.5 log일 때, 2.3에서 서술한 바와 같이 정수처리기준 (KMOE 2012)에 따른 시설의 성능인 UV dose는 각각 3.9, 5.8, 8.5 mJ cm-2 이다. 따라서 20년간 시스템 운영 시, CI는 각각 0.89, 0.87, 0.84로 나타났고 RI 값을 반영한 RCI 는 각각 0.67, 0.87, 1.05이다 (Fig. 2(a)). 오존 소독시설의 경우 수온이 15℃이고 시설의 성능인 불활성률이 1.5log, 2log, 2.5log시 처리기준의 CT계산값은 각각 9.3, 12, 16이다. 조사시간인 T를 10분으로 고정하였을 때, 각각의 C 값은 0.93, 1.2, 1.6으로 나타났다. CI 는 오존의 유입량에 따라 산정해야 했지만 오존의 경우 주입량에 따른 C 값의 관계를 예측하기가 어렵기 때문에 본 논문에서는 계산된 C 값을 대입하여 주입된 오존이 모두 용존되었다고 가정하여 시설운영비를 CI 를 산정하였고 모두 0.9988로 계산되었다. 반면에, 20년간 시스템 운영 시, 동일한 내구도를 가질 때, C 값이 각각 0.93, 1.2, 1.6일 경우 산정된 CI 는 0.97, 0.96, 1.18로 RCI 값의 범위는 0.73, 0.96, 1.19로 산출되었다 (Fig. 2(b)). 비교결과 불활성률이 높을수록 자외선소독과 오존소독의 RCI 값은 높아지는 것을 확인하였으며, 오존 소독을 하였을 시 RCI 값이 자외선 소독에 비해 높은 수치를 보여 크립토스포리디움의 제거에 더 바람직하다.
4. 결론
하수 처리수 내 내생 에스트로겐에 의한 배출수계 오염과 상수 취수원 원생동물 번성과 같은 도시 수질오염 문제는 인간을 중심으로 조성된 생활환경과 기후변화로 인해 그 심각성을 날로 더해가고 있다. 본 연구에서는 내구성-비용 지수를 이용하여 도시 수질오염 문제에 대한 현 기반시설 및 구조적 대안들에 대해 내구성 평가를 수행하였다. 하수 처리수 내 내생호르몬 오염 사례의 경우, 하수처리 시설의 고도화 사업이 적용되었을 때, 고도화 비율이 증가함에 따라 RI 값과 RCI 값이 모두 증가하였으며 고도화율이 81%일 때 내구성이 확보된 것으로 평가되었다. 취수원 원생동물 번성 사례의 경우에는 소독시설 대안 후보인 오존소독시설과 자외선소독시설이 동일한 크립토스포리디움의 불활성화률을 가질 때 오존 소독시설의 RCI값이 더 높은 것을 확인하였다.
수질오염문제의 경우 오염물질에 따라 위해도의 차이가 크므로 위험요인의 파악이 선행되어야 한다. 본 논문에서 예시를 든 수질오염 사례의 경우 미량이라도 수계에 유입되었을 시 영향이 큼에도 불구하고 기존의 수처리시설에서 처리하기에 어려운 부분이 있었으며 피해 발생 전까지 구조적 대안이 구축되어 있지 않았다. 따라서 위험요인을 철저히 파악함으로써 잠재적 재해의 규모를 최소화할 수 있는 구조적 대안의 수립이 필요하다. 뿐만 아니라, 재해의 발생과 구조적 대안의 수립 이후 지속적인 모니터링을 수행하여 향후 발생할 수 있는 피해를 예방함과 동시에 구조적 대안의 내구성을 초과하는 재해가 발생할 경우에 대해 그 피해를 최소화할 수 있는 비구조적 대안 (예, 법적/제도적 대책)이 수반되어야 한다.




