1. 서 론
2. 연구 방법
2.1 연구대상지역
2.2 수치모형 입력조건
2.2.1 HEC-RAS 프로그램
2.2.2 유량 및 수위조건
2.2.3 하상재료조건
3.1 만경강 하상변동 모니터링 자료 분석
3.2 장기하상변동 수치모의 결과 분석
3.2.1 모의기간: 1986 - 1993
3.2.2 모의기간: 1993 - 2005
4. 고 찰
1. 서 론
평형이 유지되는 하천은 침식과 퇴적이 균형을 이루며 하상의 상승 또는 하강이 일방적으로 발생되지 않는다. 하천사업은 평형이 유지되고 있는 하천에 큰 영향을 끼칠 수 있다. 이는 하천의 지형 및 유황의 갑작스러운 변화로 인하여 본래의 하천이 지니고 있던 흐름 구조가 변화된다. 또한 유사 이송량의 변화로 인한 하도의 변형은 인근의 교량과 수제 등의 사용수명을 급격히 저하시킬 수 있으며, 하천을 생활의 기반으로 하는 수생물 역시 심각한 영향을 받을 수 있다. 이러한 측면에서 하천에서의 유사량 및 하상변동 분석은 하천의 기능과 서비스의 유지 및 관리 측면에서 매우 중요한 사안이다.
하천의 하상변동양상을 분석하는 대표적인 도구 중 하나인 장기하상변동 모의는 수치모의 결과를 이용하여 과거의 하상변화를 분석하여 현상을 규명하거나 장래 하상변동양상을 예측함으로써 하천의 기능 및 유지관리 계획에 중요한 참고자료를 수립할 수 있다. 해외의 경우 수공구조물의 설치 및 저수지 퇴사현상의 장기적인 영향을 분석하기 위하여 장기하상변동 모의가 활발하게 적용되고 있다 (Ziegler and Nisbet 1995; Niezgoda and Johnson 2006; Mohammad et al. 2016).
국내의 경우 장기 하상변동 모의를 이용하여 하천의 장기적인 지형의 변화를 예측한 연구가 활발히 수행되고 있다. Jeong et al. (2010)은 HEC-6 프로그램을 이용하여 낙동강 하류 80 km 구간에 대하여 1년, 10년, 그리고 100년 기간에 대한 장기하상변동 모의를 실시하였다. Jeong et al. (2010)은 유사이송공식에 따른 하상변동 민감도 분석을 실시하였다. 유사이송공식의 선정에 따라 하상변동량이 크게 변동됨을 확인하였으며 낙동강 하류에 적용될 수 있는 유사이송공식을 제시하였다.
Kim and Shin (2013)은 HEC-RAS 프로그램을 이용하여 저수지 퇴사현상에 대하여 장기하상변동 모의를 실시하였다. 실측된 부유사량과 하상에서의 입도분포를 입력조건으로 사용하였으며, 유사이송공식의 선정에 따른 하상변동량의 민감도를 분석하였다. 모의결과 점토는 저수지에 퇴사 되지않고 거의 유출되며 실트와 모래는 대부분 퇴사가 되지만 시간이 지남에 따라 퇴사효율이 감소하는 것을 확인하였다.
Jeong and Jung (2015)은 HEC-RAS 프로그램을 이용하여 금강에서 다기능보 설치 및 수문운영 시나리오에 따른 장기하상변동을 모의를 실시하였다. Jeong and Jung (2015)은 다기능보를 설치하고 수문을 운영하였을 때 하상변동으로 인하여 홍수위가 상승하는 결과를 확인하였다.
이렇듯 장기하상변동 모의는 최소 10년 이상의 기간에 대하여 예측을 실시하고 하천지형학적 관리방안에 중요한 기초자료로 크게 활용되고 있다.
장기하상변동 모의는 경계조건 및 유사이송공식의 선정, 구축된 지형의 해상도와 조도계수 등의 매개변수가 모의의 성공적인 수행에 있어 큰 영향을 끼치는 인자들이다. 따라서 모의를 수행함에 앞서 다양한 실측 자료를 이용한 모형의 보정 및 검증과 적절한 유사이송 공식의 선정은 필수적으로 진행되어야 한다. 한편 과거의 실측된 지형 자료를 이용한 장기하상변동 모의의 검・보정은 모의 기간 내의 준설 및 하천사업 등의 다양한 국지적인 변수들을 고려하지 못하고 방대한 입력자료를 구축하기 어려운 한계로 인하여 수행이 어려우며 그 사례는 많지 않다.
본 연구의 목적은 HEC-RAS 프로그램을 이용하여 만경강에서의 장기하상변동 모의를 실시하고 과거 실측된 지형자료와의 검증을 통하여 만경강의 장기하상변동 이력을 분석하는 것이다. 특히 만경강 하류의 경우 하상이 저하된 현상이 관측되고 있다. 그 예로 1928년 준공된 만경교는 당시와 비교하여 하상고가 크게 저하됨에 따라 교각의 기초가 노출되어 안정성이 악화 될 가능성이 있다 (Fig. 1). 따라서 대상하천 에서의 하상변화의 인과관계를 규명하고 공학적 관리 방안을 제시하기 위한 측면에서 하상변동 이력 분석은 의의가 있다.
연구대상지역은 만경강의 중・하류구간의 25 km 구간이다. 대천에서 실측된 유량자료와 동지산수위관측소에서 실측된 수위자료를 각각 유입유량과 하류단 수위조건으로 이용하였다. 1986년 부터 1993년, 1993년부터 2005년까지의 기간에 대하여 장기하상변동모의를 실시하였다. 모의에 사용된 공식은 MPM, Toffaleti, MPM-Toffaleti, 그리고 Yang 공식이다. 장기하상변동 모의 결과를 실측된 지형자료와 비교하고 이를 분석하였다. 또한 과거 준설사업이력을 파악하였으며 인위적인 하도의 변형 사례를 분석하였다.
2. 연구 방법
2.1 연구대상지역
연구대상지역은 만경강의 중・하류구간에 해당하며 총 25 km 구간이다 (Fig. 2). 만경강은 완주군 동상면 사봉리 원등산 동쪽계곡에서 발원하고 고산천, 소양천, 전주천 등의 여러 지류를 합하면서 호남평야의 북부를 가로질러 흐르는 강이다. 만경강의 유역면적은 1,527.1 km2, 유로연장은 77.4 km 이다. 하상경사는 만경강 하류부 구간이 1/3,800, 중류부 구간이 1/540, 상류부 구간이 1/120로서 만경강 하류부 구간을 제외한 중류 및 상류부 구간은 하상경사가 급하다 (Hong et al. 2012). 모의대상구간의 상류에는 소양천과 전주천의 2개의 지류가 있다. 전주천은 유역면적이 272.6 km2, 유로연장이 39 km이며, 소양천의 유역면적은 152.4 km2, 유로연장은 24 km이다.
2.2 수치모형 입력조건
2.2.1 HEC-RAS 프로그램
HEC-RAS 프로그램은 미공병단에서 개발한 프로그램이며 1차원 장기 하상변동모의를 수행할 수 있는 프로그램이다. 준정류 모형을 이용하여 흐름을 계산하며 Exner 방정식을 이용하여 하상변동량를 계산한다. HEC-RAS 프로그램은 입도분포를 고려한 유사이송량을 계산할 수 있으며, 분급모의를 통하여 하상토 구성비율을 계산할 수 있다 (USACE 2016).
본 모의에 사용된 HEC-RAS 프로그램은 HEC-RAS 5.0.1 버전이다. 이 버전에서 제공하는 유사이송 공식은 Ackers and White (1973) 공식 등 총 7개의 공식이다. 여기서 Ackers and White (1973), Engelund and Hansen (1972), Lursen (1958) 공식은 모래의 하상에 적용성이 있는 공식으로 자갈에서부터 실트에 이르는 연구대상지역의 하상재료의 특성을 반영하는데 한계가 있다고 판단되어 사용되지 않았다. 본 모의에 사용된 유사이송공식은 MPM (1948), Toffaleti (1968), MPM-Toffaleti, 그리고 Yang (1973) 공식의 4개 공식이며 각 유사이송공식을 사용하여 하상변동 모의를 실시하고 적용성을 분석하였다.
2.2.2 유량 및 수위조건
준정류 모형을 이용하여 흐름모의를 계산하기 위해서는 상류에서의 경계조건은 유입유량이 필요하며 하류에서의 경계조건은 수위조건이 필요하다. 유량조건으로는 만경강 본류와 지류인 전주천과 소양천에서 유입되는 유량이 필요하다. 1986년부터 1993년까지의 유입유량은 전주천과 소양천의 지점에서의 자료가 부재하였다. 비유량법을 이용하여 전주천과 소양천의 유입유량을 산정하였으며, 이때 만경강의 대천 수위관측소 지점에서 관측된 유량데이터를 이용하였다 (Fig. 3(b), (c)). 만경강 본류의 유입유량은 대천 수위관측소에서 관측된 유량에서 계산된 전주천과 소양천의 유입유량을 제외함으로써 산정되었다 (Fig. 3(a)). 하류단 수위조건은 동지산수위관측소에서 실측된 수위를 이용하였다 (Fig. 4).
조도계수의 검보정은 대천지점의 실측된 수위를 이용하여 수행되었다. Fig. 5는 대천지점에서의 실측된 수위와 모의된 수위를 비교한 것이다. 수위는 1986년 1년 동안 측정된 수위이며 1986년은 6월과 7월, 8월 등에 큰 홍수가 발생했음을 확인할 수 있다. 조도계수에 대한 검보정을 실시한 결과 0.050으로 적용하였을 때 수위를 적절하게 모의함을 확인하였다. 이 값은 해당지점에서의 Manning-Stricker에 의한 조도계수 값이 0.027 - 0.070 인 것을 고려하면 타당한 범위 내의 값이 도출된 것으로 판단된다 (MLTMA 2012). 모의구간 내에서의 조도계수 적용은 대천 지점의 상류로는 0.05값을 적용하였다. 대천 지점으로부터 상류로부터 15 km 지점까지는 하상재료의 특성을 반영하여 조도계수를 감소시켜가며 적용하였다. 상류로부터 15 km 지점부터 하류단까지는 만경강하천기본계획에 제시된 값을 이용하여 0.025로 동일하게 적용하였다 (MLTMA 2012).
2.2.3 하상재료조건
Fig. 6은 1993년 만경강 하천기본계획에 제시된 자료로 모의구간에서 흐름방향에 따른 중앙입경의 변화를 보여준다 (MOCT 1993). 모의구간에서 상류 약 9 km 구간까지는 중앙입경이 10 - 20 mm 사이에 분포하고 있으며 9 km에서 하류로 갈수록 중앙입경이 크게 작아짐을 확인 할 수 있다. 특히 모의구간 15 km부터 하류 구간은 하구와 인접해 있으며 하상토의 주요 구성물질은 실트와 점토로 이루어져있다. 이 구간의 중앙입경은 0.02 - 0.06 mm 사이에 분포하며 실트임을 확인할 수 있다. 그림에서 보면 알 수 있듯이 모의구간에서의 하상재료는 상류와 하류에서의 차이가 매우 큼을 확인할 수 있다.
HEC-RAS 프로그램의 경우 단면의 각 지점에서 하상의 입도분포를 지정해주어야 한다. 특히 본 모의구간의 하상재료 분포처럼 구간에 따른 하상재료 조건의 차이가 크게 발생하는 경우 지점에 맞는 하상토조건을 적절하게 설정해주어야 한다. Fig. 7은 HEC-RAS 프로그램에 적용된 구간에 따른 입도분포곡선이다. 모의구간의 각 단면에서의 실측된 자료가 부재하였기 때문에 구간을 구분지어 Fig. 6에 제시된 중앙입경의 변화를 토대로 각 단면의 입도분포를 설정하였다.
3.1 만경강 하상변동 모니터링 자료 분석
본 연구에서 사용한 모니터링 자료는 1986년, 1993년, 그리고 2005년의 자료이다. 장기하상변동분석은 1986년부터 1993년까지의 기간과 1993년부터 2005년까지의 2개의 기간에 대하여 분석을 실시하였다. 여기서 하상변동 모니터링 자료는 하천기본계획에 제시된 횡단면 측량 데이터이다. 각 단면은 약 500 m의 간격으로 이루어져 있다. Fig. 8(a)는 만경강의 1986년 최심하상고와 1993년의 최심하상고를 비교한 그림이다. 분석 구간의 하류단은 동지산 수위 관측소가 위치하고 있으며 상류로부터 약 2 km, 5 km 지점에 소양천과 전주천이 합류한다. 1993년의 경우 1986년도에 비하여 상류로부터 15 km 구간은 전반적으로 하상이 하강되었으며 상류로부터 9 km 지점에서 최대 4 m의 침식이 발생하였다. 15 km 구간부터 하류구간은 하상이 상승하는 경향을 확인할 수 있으며 상류로부터 약 16 km 지점에서 최대 약 3 m의 상승이 발생하였다. Fig. 8(b)는 만경강의 1993년도와 2005년의 최심하상고를 비교한 그림이다. 2005년도 최심하상고의 경우 상류로부터 15 km 구간은 하상이 상승하는 경향을 보이며 특히 상류로부터 3 km 지점까지 약 2 m의 하상의 상승이 진행되었다. 상류로부터 15 km 지점 이하의 구간은 하상이 하강하는 경향을 보인다. 특히 상류로부터 17 km 지점은 약 4 m의 하상의 하강이 발생하였다.
3.2 장기하상변동 수치모의 결과 분석
3.2.1 모의기간: 1986 - 1993
Fig. 9은 모의기간 1986년부터 1993년까지의 7년동안 장기하상변동모의를 수행한 결과이다. 모의에 사용된 유사이송공식은 각각 MPM (1948), Toffaleti (1968), MPM-Toffaleti, 그리고 Yang (1972) 의 4개 공식이다. 상류의 유입유사량 조건은 평형유사량을 가정하였다. MPM 공식의 경우 하상의 상승 및 하강의 양적인 변화가 1 m 안쪽으로 발생하여 상대적으로 작은 값의 하상변동량이 발생하였다. 실측치의 경우 약 15 km까지 하상의 전반적인 하강이 관측되었지만 장기하상변동 모의는 이를 모의하지 못하였다. 또한 하류의 하상의 상승을 모의하지 못하였다 (Fig. 9(a)). Toffaleti 공식의 경우 전반적인 하상고의 상승을 모의하였으며, 모의구간의 16 km 지점에서 18 km 지점까지의 하상고의 상승을 모의하였으나 그 값은 실측치와 비교하였을 때 크게 작은 값이다 (Fig. 9(b)). MPM-Toffaleti 공식의 경우 Toffaleti의 결과와 비슷한 경향을 보였다 (Fig. 9(c)). Yang 공식의 경우도 전반적인 하상고의 상승을 모의하였으며 하류구간의 하상의 하강을 모의하지 못하였다 (Fig. 9(d)).
위의 모의 결과를 분석하면 4가지의 유사이송 공식 모두 상류로부터 15 km 구간까지의 하상의 하강 및 이하 구간에서의 하상의 상승을 모의하지 못하였으므로 네 공식의 적용성을 확인할 수 없다.
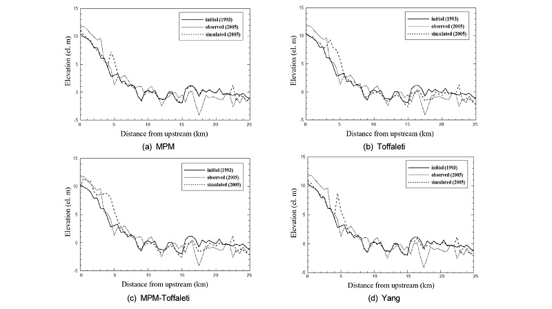
3.2.2 모의기간: 1993 - 2005
Fig. 10은 1993년부터 2005년까지 12년 동안의 장기하상변동 모의를 실시한 결과이다. 모의에 사용된 유량조건 및 하류단 수위조건은 1986년부터 1993년까지 모의에 사용된 조건을 이용하여 사용하였다. 이때 높은 빈도의 홍수량 및 갈수량이 나타나는 년도의 자료는 제외하였다. 마찬가지로 모의에 사용된 공식은 MPM, Toffaleti, MPM-Toffaleti, 그리고 Yang 공식이다.
Fig. 10(a)는 MPM 공식을 이용하여 모의한 결과이다. 하상의 변화는 전반적으로 발생하지 않았다. 상류로부터 5 km지점에서의 하상의 상승을 크게 모의하였으나 실제 관측결과와 일치하지 않았다. MPM 공식은 전반적인 하상의 상승과 하강의 경향을 모의하지 못하는 것을 확인할 수 있다. Fig. 10(b)는 Toffaleti공식을 이용하여 장기하상변동 모의를 수행한 결과이다. 실측치의 경우 상류단으로부터 3 km 지점까지 상승하였지만, 모의결과는 상류로부터 3 km부터 5 km 구간까지 하상고의 상승을 예측하였다. 15 km 하류의 경우 하상고가 하강되는 경향을 모의하고 있는 것을 확인할 수 있다. Fig. 10(c)은 MPM-Toffaleti 공식의 경우 상류단으로부터 3 km 지점까지의 하상고의 상승은 모의하였으나 3 km 지점에서의 하류구간은 하상고의 상승을 과다하게 모의하였다. 15 km 지점이하에서 하상이 하강하는 경향을 적절히 모의하였다. Fig. 10(d)는 Yang 공식을 이용한 결과이며 전반적으로 하상의 상승 및 하강의 경향을 모의하지 못하는 것으로 확인된다.
각 유사이송 공식의 하상변동 예측 결과를 분석하기 위하여 각 단면에서의 하상변동량을 분석하였다. 모의에 사용된 단면은 500 m 간격으로 총 51개이다. 각 단면에서 실측된 하상변동량과 모의된 하상변동량을 비교하였으며 그 결과는 Fig. 11과 같다. Fig. 11(a)를 보면 알 수 있듯이, 1986년부터 1993년도까지의 기간에 대한 모의 결과 하상변동량의 경향을 거의 예측하지 못함을 확인할 수 있다. 1993년도부터 2005년도까지의 기간에 대한 모의 결과는 Toffaleti와 MPM-Toffaleti 공식이 경향을 따르고 있음을 확인할 수 있다 (Fig. 11(b)). Table 1은 Fig. 11의 결과를 이용하여 결정계수 (R2) 값을 계산한 결과이다. Table 1을 보면 알 수 있듯이, 1986년도부터 1993년도까지의 기간에 대한 결정계수값은 0.02 - 0.07 사이에 분포하며 이는 모의된 값과 실측된 값이 상관성이 거의 없음을 보여준다. 1993년부터 2005년도 기간에 대한 결정계수값은 0.25로 MPM-Toffaleti 공식이 가장 큰 상관성을 가지고 있음을 확인할 수 있다.
4. 고 찰
본 연구는 만경강의 중・하류 25 km 구간에 대하여 HEC-RAS 프로그램을 이용하여 장기하상변동 모의를 실시하고 실측치와의 비교를 통하여 이를 분석하였다. 장기하상변동을 고려한 기간은 1986년부터 1993년과 1993년부터 2005년까지의 두개의 기간을 고려하였다. MPM, Toffaleti, MPM-Toffaleti, 그리고 Yang의 4가지 유사이송공식을 이용하여 하상변동모의를 실시하고 실측치와의 비교분석을 통하여 각 유사이송공식의 적용성을 평가하였다.
모의결과 1986년부터 1993년까지의 기간에 대한 장기하상변동 모의는 4가지 공식 모두 실측 하상고를 적절하게 예측하지 못하였다. 반면 1993년부터 2005년까지의 기간에 대한 장기하상변동 모의는 MPM-Toffaleti 공식이 실측치를 상대적으로 우수하게 모의하였다.
장기하상변동 모의에서 실측치를 적절하게 모의하기 위하여는 많은 고려사항이 필요하다. 적절한 해상도의 지형자료와 하상토 입도분포, 그리고 적합한 경계조건 등이 요구된다. 특히 준설 또는 하천사업과 같은 국지적인 사건은 하천의 지형을 임의로 변경하여 하천 상・하류에 걸친 인위적인 하상변동을 야기하며 장기하상변동의 예측력을 현저히 떨어뜨린다.
Fig. 12은 1976년과 1993년 만경강 하천기본계획에 제시된 골재 채취 가능지역이다. 1976년 만경강 하천기본계획에서는 만경강의 중상류 지점이 골재 채취 가능 지역으로 제시되었으며, 이 지점은 모의구간의 상류에 해당한다 (Fig. 12(a)). 1993년의 골재 채취 가능 지역은 만경강의 상류 일부지점으로 좁아졌다 (Fig. 12(b)). 이는 1976년부터 1993년까지 모의구간의 상류지점에서 골재 채취가 활발히 진행이 되었으며 1993년 이후 이 구간이 골재 채취 가능 지역에서 제외되었다는 것을 확인할 수 있다. 1976년 만경강 하천정비본계획에 의하면 만경강 본류 16개 지구에 1,104,000 m2의 면적에 세골재 774,000 m3, 조골재 305,000 m3, 혼합골재 225,000 m3가 채취 가능하다고 제시되어 있다 (MOC 1993). 이는 구간 20 km, 하폭 100 m를 가정하였을 때, 전 구간에 대하여 0.65 m의 하상의 하강이 발생하게 되는 양이다. 1993년부터 2005년까지의 하상변동은 1993년 이전에 발생한 준설의 영향으로 인하여 상류에서 유입되는 유사가 저하된 하상에 주로 퇴적됨으로써 상류는 상승하고 하류는 하강하는 결과를 초래하였다.
본 연구구간에서 하상재료의 분포는 자갈에서 실트와 점토까지 다양한 하상재료를 가지고있는 특징이 있다. 이러한 상황에서 적절한 유사이송공식을 선정하는 것은 쉽지 않다. MPM 공식의 경우 자갈의 하상에 적용성이 우수하며, Toffaleti 공식의 경우 모래의 하상에 적용성이 우수하며 실트의 입자에서도 적용성을 가진다. Yang 공식의 경우 0.0062 mm부터 7 mm의 입자의 하상에 대하여 적용성이 있다 (USACE 2016). 본 모의 결과를 보면 알 수 있듯이 자갈부터 실트에 이르는 광범위의 하상재료에 대한 적용성이 있는 MPM-Toffaleti 공식이 가장 적용성이 있음을 확인하였다.
본 연구는 만경강의 중・하류 구간의 하상변동 이력에 대하여 분석하였다. 1986년도부터 1993년까지의 경우 모의구간의 상류에서의 준설로 인한 인위적인 영향이 자연적인 영향에 비하여 하도의 변형에 큰 영향을 끼쳤다. 이는 이 기간에서의 장기하상변동 모의결과는 상류에서 하상의 소폭 상승을 예측하였기 때문이다. 이후 1993년부터 2005년까지의 하상변동은 이전 기간에 임의로 낮아진 하상에 대부분 유사가 퇴적되어 상류에서의 하상이 상승되는 결과를 가져왔다. 본 연구결과는 장기하상변동 모형의 수립 및 검증에 있어 준설 및 하천사업과 같은 인위적인 하상변동 이력을 간과할 경우 적절한 유사이송 공식의 선정 등의 장기하상변동 모형의 수립에 큰 오류를 가져 올 수 있음을 확인할 수 있다.















