1. 서 론
2. 재료 및 방법
2.1 조사지점
2.2 현장조사
2.3 서식지적합도지수 산정
3. 결과 및 고찰
3.1 어류상 및 상대풍부도
3.2 물리적 서식특성
3.3 서식지적합도지수
4. 결 론
1. 서 론
미호천은 음성군 부용산과 마이산에서 발원하는 물줄기가 합쳐져 남서류하면서 진천군 ‧ 증평군 및 청주시를 거쳐 천안시에서 병천과 합류하여 금강으로 흘러드는 총 길이 89.14 km에 달하는 국가하천이다. 미호천 유역은 충청남도와 충청북도를 포함하고 세종특별자치시의 탄생으로 인구, 경제, 산업이 확장되어 그 중요성이 부각되고 있다. 미호천의 본류는 국가하천 39.07 km, 지방하천 50.07 km으로 구분되며, 국가하천 중 약 10 km는 세종특별자치시에 포함되고 유역면적은 1,860.9 km2이다.
금강수계에서 수질 및 수량에 가장 큰 영향을 미치고 있는 미호천은 최근 수질저하 및 수생태계 교란 등으로 건강성 저하에 따른 대책수립의 필요성이 제기되고 있으며, 이에 따라 관련 지방자치단체와 정부기관에서는 수질개선대책과 함께 수생태계 건강성 개선을 위한 하천유지수량인 환경생태유량에 대한 연구를 본격 시행하고 있다.
우리나라의 하천은 최근까지 개발과 성장 중심의 이수 및 치수 위주로 하천정비사업이 설계 및 실행되어 왔다. 또한 이로 인해 하천은 자정 및 생태기능 등을 포함한 환경적 기능이 악화되어 매년 갈수기 유량 부족으로 하천의 건천화 현상에 따른 수질악화 및 수생생물 서식지 감소 등 수생태계 건강성 훼손 등의 문제가 발생하고 있다. 2000년대 이후 하천복원에 대한 사회적 관심과 정부부처의 하천 관리사업의 활성화로 다양한 연구 및 하천 사업이 시행되고 있으며, 이러한 하천 복원사업에서 환경생태유량 산정 및 서식지적합도에 관한 연구는 사회적 관심과 함께 하천복원에 중요한 사항으로 평가되고 있다.
서식지적합도지수 (Habitat Suitability Index, HSI)는 수생태계에 서식하고 있는 생물이 선호하거나 살아갈 수 있는 물리적 서식환경을 수치적으로 표한한 것이며, 수생태계를 고려한 하천복원과 환경생태유량 산정 등에 필요한 핵심 인자로 작용한다.
미국은 1960년대부터 연어과 (Salmonidae) 개체수가 감소하자 이에 대한 대책으로 어류서식처 보전을 위한 하천 생태유량에 관한 연구가 처음 소개되었으며, 이와 더불어 1970년대부터 어류 및 야생동물국 (Fish and Wildife Service)에서 유지유량증분법 (Instream Flow Incremental Methodology, IFIM)에 의한 어류 종별, 성장단계별 서식처 및 서식처 조건별 수리량을 환산하여 하천 유지유량을 결정하는 연구가 진행되었다 (Stalnaker et al. 1995). 국내에서도 이러한 어류의 서식처 보전을 위한 유지유량에 대한 연구가 시작되었다 (Kim 1999).
국내 서식지적합도지수 관련 연구는 생태유량 개념이 도입되면서부터 처음 수행되었다. 국내에서 생태유량 산정은 1995년도 한국건설기술연구원에서 처음 시도되었다. Kim (1999)는 피라미, 묵납자루, 줄납자루, 참종개, 돌마자, 쉬리에 대한 수심, 유속, 하상재료 등에 대한 서식지적합도지수를 제시하였으나, 현장 모니터링 자료의 부족으로 대부분 전문가의 판단에 의존하여 산정되었다. Sung et al. (2005)은 낙동강 유역의 하천에 대해 2004년도 6월과 10월에 현장 모니터링을 통해 피라미와 갈겨니의 산란기 및 성어기에 대한 서식처적합도지수를 산정한바 있는데 산란기의 피라미와 갈겨니는 수심과 유속 모두 0.30 - 0.55 m로 동일하게 산정하였다. Lee et al. (2006)은 한강수계 주요 지천에서의 모니터링을 통해 피라미에 대한 서식처적합도지수를 WDFW (2004) 방법을 적용하여 산정하였는데, 산란기 피라미의 서식지적합도지수는 수심 0.30 - 0.50 m, 유속 0.30 - 0.55 m/s로 Sung et al. (2005)의 결과와 유사하게 산정되었다. Kang (2010), Kang et al. (2011), Kang and Hur (2012)는 Ministry of Land (2010)의 조사자료를 활용하여, 한강 및 금강수계 주요하천에서 40여종의 어류에 대한 서식지적합도지수를 산정하였고, Hur and Kim (2009), Hur et al. (2013, 2014)은 금강수계의 본류와 초강천, 한강수계의 섬강에서 감돌고기 (법정보호종)를 비롯하여 참갈겨니, 쉬리, 배가사리 등 고유종들을 대상으로 서식지적합도지수를 산정한 바 있다. 국내의 서식지적합도지수 관련 연구는 약 20년간 수행되어 왔으나, 대부분 단기간으로 수행되었고, 산정 및 평가방법의 정량화 및 기초 데이터베이스 (DB) 등의 객관적 자료는 부족한 실정이다.
본 연구에서는 금강수계 미호천의 12개 지점에서 현장 모니터링을 통해 어류조사 및 유량조사를 실시하였고, 상류 및 하류에 각각 1개 지점을 선정하여 단일종과 유영성군집을 대상으로 서식지적합도지수를 산정하였다. 본 연구결과는 미호천의 하천복원 및 환경생태유량 산정 등 어류군집의 서식환경 개선을 위한 기초자료로 활용될 수 있을 것으로 판단된다.
2. 재료 및 방법
2.1 조사지점
본 연구에서 현장조사는 미호천에 위치한 생물측정망 12개 지점을 대상으로 하였으며, 조사지점 기준 상 ‧ 하류 200 m 구간에서 어류 서식현황과 흐름형태 및 수심배열 등을 고려하여 조사구간을 선정하였다. 서식지적합도지수 선정을 위한 현장조사에서 어류조사 및 서식특성조사는 St.1 - St.12까지 12개 지점을 대상으로 하였고, 유량조사는 도섭이 가능한 St.1 - St.8에서 조사를 실시하였다 (Figs. 1 and 2). 각 조사지점에 대한 행정구역명 및 위치정보는 다음과 같다.
St.1 : 충청북도 음성군 삼성면 천평리 천평교 (N 36° 58' 49.50", E 127° 30' 02.70")
St.2 : 충청북도 진천군 이월면 미잠리 미리실교 (N 36° 56' 10.27", E 127° 27' 41.82")
St.3 : 충청북도 진천군 덕산면 인산리 (N 36° 52' 10.81", E 127° 28' 57.55")
St.4 : 충청북도 진천군 초평면 오갑리 오갑교 (N 36° 51' 26.14", E 127° 30' 19.10")
St.5 : 충청북도 진천군 문백면 구곡리 농다리 (N 36° 49' 33.53", E 127° 29' 36.21")
St.6 : 충청북도 청원군 오창읍 여천리 여암교 (N 36° 46' 11.81", E 127° 30' 23.00")
St.7 : 충청북도 청원군 북이면 화상리 (N 36° 45' 25.25", E 127° 29' 47.37")
St.8 : 충청북도 청주시 상당구 외하동 팔결교 (N 36° 42' 51.95", E 127° 28' 31.62")
St.9 : 충청북도 청원군 옥산면 신천리 옥산교 (N 36° 39' 29.43", E 127° 23' 00.81")
St.10 : 충청북도 청원군 강외면 궁평리 미호천교 (N 36° 39' 00.70", E 127° 22' 26.91")
St.11 : 세종특별자치시 연동면 예양리 미호교 (N 36° 34' 55.11", E 127° 18' 58.73")
St.12 : 세종특별자치시 남면 월산리 월산교 (N 36° 31' 90.38", E 127° 19' 18.19")
2.2 현장조사
2.2.1 어류조사
어류조사는 2019년 9월부터 2020년 5월까지 4회 (9월, 10월, 4월, 5월) 조사를 실시하였으며, 강우 및 방류수 등의 영향이 없고 수위가 안정된 시기에 조사를 수행하였다. 조사방법 및 기준은 환경부 “하천수생태계 건강성 조사 및 평가 지침” (국립환경과학원 공고 제2019-52호)에 따라 투망 (cast net, 망목, 7 × 7 mm) 및 족대 (kick net, 망목, 5 × 5 mm)의 사용을 원칙으로 하였으며, 가능한 조사구간에 서식하는 모든 종의 조성을 조사하였다. 투망을 이용한 채집은 정량적 조사를 수행하기 위하여 모든 지점에서 10회를 기준으로 실시하였으며, 흐름 (여울, 소 및 유수역)의 조성 및 비율에 따라 유의하여 조절하였다. 족대는 하천 좌 ‧ 우안 수초와 호박돌 주변에서 30분 동안 채집하였다. 조사구간은 조사정점 기준 상 ‧ 하류 200 m로 하류로부터 상류로 올라가면서 지그재그로 실시하며, 조사범위 내의 소, 여울 및 유수역을 모두 포함하여 조사하였다.
채집된 어류는 현장에서 종을 동정하여 개체수 기록 및 사진촬영 후 방류한다. 동정이 어렵거나 표본제작 등에 필요한 소수의 개체는 10% 포르말린 액에 고정하여, 실험실로 운반하여 재동정을 실시한다. 어종의 동정은 Kim and Park (2002)의 문헌을 참고하였고, 분류체계는 Nelson (1994)의 방법으로 정리하였다. 채집된 어류의 정보를 이용하여 대상지점의 출현 어류목록을 작성하며, 우점종 및 아우점종, 환경부 지정 멸종위기어종, 국내 고유종 및 외래종 등의 분포를 분석하여, 대표어종 선정을 위한 객관적인 자료를 구축하였다.
2.2.2 서식특성조사
어류조사에서 채집된 어류에 대하여 수심 및 유속 등 물리적 특성을 측정하여 서식지적합도지수 산정을 위한 기초정보를 수집하였다. 어류 조사자에 의해 어류가 채집되면, 측정 인원이 해당 정점으로 이동한 후 먼저 수심측정기를 이용하여 수심을 측정하고, 유속은 수심이 0.75 m를 초과할 경우 2점법 (0.2 d 및 0.8 d)으로 측정하였고, 0.75 m 이하에서는 1점법 (0.6 d)으로 측정하였다. 현장조사에서 구축한 출현 어류의 수심 및 유속에 대한 기초자료를 통해 종별 서식 특성을 정리하였다.
2.2.3 유량조사
유량조사는 2019년 9월부터 2020년 5월까지 3회 (10월, 4월, 5월) 조사를 실시하였다. 어류조사 구간에서 물리적인 서식환경이 최대한 반영될 수 있도록 4개의 횡단면을 선정하고, 수면의 폭을 줄자 등으로 고정한 후 도섭법 (하폭의 횡단면을 도보로 건너면서 직접 측정)으로 수심과 유속을 측정하였다. 횡단면에 대한 수심과 유속의 측정간격은 1 m를 기준으로 하였고, 측정시 수심이 0.75 m를 초과할 경우 2점법 (0.2 d 및 0.8 d)으로 측정하였고, 0.75 m 이하에서는 1점법 (0.6 d)으로 측정하였다. 현장조사에서 구축된 자료는 각 수심 및 유속 구간별로 차지하는 면적의 백분율 데이터를 정리하여, 서식지적합도지수 산정에 적용하였다.
2.3 서식지적합도지수 산정
서식지적합도지수 산정 방법은 미국의 Washington Department of Fish and Wildlife (WDFW 2004) 방법과 Instream Flow and Aquatic Systems Group (IFASG 1986) 방법이 주로 사용되고 있다. WDFW (2004) 방법은 수심과 유속 구간별 서식지 면적에 대한 개체밀도를 기준으로 적합도가 결정되고, IFASG (1986) 방법은 수심과 유속 구간별 개체수를 기준으로 적합도가 결정되는 것이 가장 큰 차이점이다. 본 연구에서는 미호천의 하천특성과 물리적 서식환경이 반영될 수 있도록 WDFW (2004)를 적용하여 서식지적합도지수를 산정하였다.
WDFW (2004) 방법은 첫째, 유량조사에서 측정된 각 횡단면에 대한 수심 0.1 m, 유속 0.1 m/s 구간별 단면적과 비율을 계산한다. 둘째, 여기에 실제 채집된 대상종의 전체 개체수를 적용하여 단면적 비율에 따른 기댓값 (E)을 구한다. 셋째, 수심과 유속 구간별 실제 출현한 개체수 (O)를 정리하고, 계산된 기대값으로 나누어 (O/E) 수심과 유속 구간별 면적에 대한 적합도 (P)를 계산한다. 넷째, 적합도가 가장 높은 구간을 1.0으로 설정하고 나머지 구간은 가장 높은 구간에 대한 비율로 계산한다. 다섯째, 지점별 4개의 횡단면과 조사시기별로 각각 동일한 방법에 따라 계산하고, 수심과 유속에 대한 적합도가 1.0으로 계산된 구간을 종합하여 범위로 나타낸다.
즉, WDFW (2004) 방법은 수심이 서로 다른 구간에서 동일한 개체수가 출현하였다면, 각각의 수심구간에 대한 횡단면의 면적비율에 따라 적합도가 결정되는 방식이다. 대상지점의 수심과 흐름특성이 반영되기 때문에 실제 서식지모형에 적용했을 때 현실적인 결과로 모의할 수 있는 장점이 있으나, 다른 하천이나 지점에 적용하기에 신뢰성에 대한 한계가 존재한다.
3. 결과 및 고찰
3.1 어류상 및 상대풍부도
미호천의 조사지점에서 채집된 어류는 총 8과 37종 5,754개체였으며, 우점종은 피라미 (Zacco platypus)로 전체의 43.2%를 차지하였고, 아우점종은 모래무지 (Pseudogobio esocinus)로 10.9%의 상대풍부도를 보였다 (Fig. 3, Table 1). 본 조사에서 법정보호종의 서식은 확인되지 않았으며, 우리나라 고유종은 중고기, 몰개, 참몰개, 왜매치, 돌마자, 눈동자개, 얼록동사리 등 3과 7종이 출현하였고, 외래종은 잉어과의 이스라엘잉어와 검정우럭과의 블루길 및 배스 등 2과 3종이 출현한 것으로 나타났다. 전체 채집 어류 중 잉어과 (Cyprinioidea) 어류가 94.5%의 개체수 비율로 확인되어 우리나라의 서해와 남해로 흐르는 하천의 공통된 특징 (Jeon 1980)과 일치한 결과를 보였다.
Table 1.
The list and individual number of collected fishes at survey period
본 조사지점과 동일한 환경부 생물측정망 조사결과를 보면 2013 - 2018년 기간 동안 총 10과 47종 7,253개체가 출현하였고, 우점종은 모두 피라미였으며, 어류군집의 구성은 본 조사결과와 유사한 것으로 확인되었다. 본 조사에서 추가로 확인된 어종은 이스라엘잉어와 흰줄납줄개 2종이었으며, 미호천의 최근 어류군집은 피라미, 붕어, 모래무지, 납자루, 누치 등을 중심으로 유지되고 있었으며, 최근 어류군집의 큰 변동은 나타나지 않은 것으로 판단된다.
3.2 물리적 서식특성
미호천에서 출현한 어류군집의 유영특성을 분석한 결과는 Fig. 4에서 보는바와 같이 출현 종수는 정수성종이 22종, 중간종이 7종, 유수성종이 8종으로 유속이 느린 수역을 선호하는 정수성종이 가장 많은 것으로 확인되었다. 개체수의 경우 우점종인 피라미의 영향으로 유수성종이 3,153개체로 가장 많았고, 정수정종 1,521개체 및 중간종 1,080개체 순으로 출현하였다. 정수성종은 아우점종인 모래무지를 비롯하여 붕어, 몰개, 참붕어, 배스, 치리, 큰납지리 등의 순으로 높은 상대풍부도를 보였고, 여울 및 평여울 수역을 선호하는 유수성종은 우점종인 피라미와 돌마자, 밀어, 줄몰개, 민물검정망둑 등의 순으로 높은 상대풍부도를 보였다.
미호천에서 출현한 어종의 수심과 유속 특성은 Fig. 5, Table 2와 같다. 수심의 경우 전체 0.05 - 1.20 m 범위였고, 어류가 출현한 평균수심은 0.36 m로 조사되었다. 수심 구간별로 출현한 개체수는 0.3 - 0.5 m 구간에서 69.8%로 높았다. 유속에 대한 출현 범위는 0 - 1.28 m/s였고, 평균 유속은 0.23 m/s로 확인되었다. 유속 구간별 출현한 개체수는 0.1 - 0.4 m/s에서 77.5%로 높은 비율로 나타났다.
Table 2.
Depth and velocity characteristics of each fish species
3.3 서식지적합도지수
3.3.1 대상지점
미호천의 현장조사 결과를 이용하여 상류와 하류지점 간의 서식지적합도지수를 비교하기 위해 St.3 및 St.8을 대상지점으로 선정하였다. 대상지점의 하천 차수는 각각 3차 및 5차 하천이며, 지점 사이에는 백곡저수지, 초평저수지, 맹동저수지, 원남저수지 등의 농업용 저수지가 위치하고, 백곡천, 보강천, 무심천, 병천천 등의 지류 하천이 합류하여 하천 규모 및 유량의 차이가 큰 것으로 확인되었다.
3.3.2 대상지점의 물리적 서식환경
서식지적합도지수 대상지점인 St.3 및 St.8의 수심 (m) 및 유속 (m/s) 분포를 정리한 결과는 Table 3과 같다. 수심 0.1 m 및 유속 0.1 m/s 간격으로 구분하여 횡단면에 대한 단면적 비율을 비교하면 수심은 St.3에서 0.5 - 0.6 m, St.8에서는 0.3 - 0.4 m 구간에서 최대로 나타났다. 0.1 - 0.4 m의 저수심 구간에서는 St.3에서 27.0%, St.8은 49.6%였고, 0.7 m 이상의 고수심 구간의 경우 각각 39.8% 및 24.0%로 조사되어 St.3에서 상대적으로 깊은 수심의 비율이 높은 것으로 확인되었다. 유속의 경우 St.3에서 0 m/s, St.8은 0 - 0.1 m/s 구간에서 가장 높은 비율을 보였으며, 특히, St.3에서는 0 - 0.2 m/s의 저유속 구간이 81.3%의 높은 비율로 조사되었다. 상류 지점인 St.3은 상대적으로 수심이 깊고 유속이 느린 구간의 비율이 높고, St.8은 상대적으로 수심이 낮고 유속이 빠른 특성을 가지고 있었다.
Table 3.
Cross-sectional area distribution according to water depth and velocity
3.3.3 대상어종
서식지적합도지수 (Habitat Suitability Index, HSI)는 수생물 서식처 모델링에 이용되는 물리적 환경과 생물군의 연결고리 역할을 하는 것으로서, 유속 및 수심 등과 같은 물리적 서식처 특성과 대상 종의 선호도와의 연계를 정량적으로 표현한 것을 의미한다 (Kang and Hur 2012). 수생태계에서 생활하고 있는 모든 생물종의 물리적 특성과 상호 관련성을 파악하는 것은 현실적으로 불가능 하기 때문에, 지금까지 수생태계를 대표할 수 있는 생물군인 어류를 중심으로 서식지적합도지수가 산정되어 왔으며, 우리나라의 경우 전국하천에서 우점종으로 널리 서식하고 있는 피라미를 중심으로 단일종에 대한 서식지적합도지수 산정이 주를 이루었다.
본 연구에서는 단일종과 군집종을 각각 선정하여 서식지적합도지수 결과를 비교하였다. 단일종은 우점종으로 출현하여 물리적 특성에 대한 자료가 가장 풍부하게 구축된 피라미로 선정하였다. 피라미는 여울 및 유수역 구간을 중심으로 개체밀도가 높게 나타나는 유수성종으로, 본 조사에서 수심 0.05 - 1.20 m 및 유속 0 - 1.19 m/s의 광범위한 서식범위를 보였다. 군집종은 유량에 상대적으로 민감하고, 유량의 변화에 따른 수심 및 유속 배열에 따라 서식지를 달리하는 습성을 가지고 있는 유영성종을 대상으로 하였다. 유영성종은 물의 흐름이 있는 곳에서 주로 생활하고 주로 중상층의 수층에서 이동하는 어류를 말하며, 본 연구에서 돌고기 (Pungtungia herzi), 줄몰개 (Gnathopogon strigatus), 참몰개 (Squalidus chankaensis tsuchigae), 누치 (Hemibarbus labeo), 참마자 (Hemibarbus longirostris), 피라미, 끄리 (Opsarichthys uncirostris amurensis) 등이 출현하였다.
3.3.4 단일종의 서식지적합도지수
단일종 피라미에 대한 지점별 서식지적합도지수 산정결과는 Table 4에 나타내었다. 상류의 St.3에서는 수심 0.1 - 0.5 m, 유속 0.2 - 0.4 m/s였으며, 하류의 St.8에서는 수심 0.2 - 0.5 m, 유속 0.2 - 0.5 m/s로 각각 산정되었다. St.3에서 수심에 대한 범위가 상대적으로 넓었고, St.8의 경우 유속에 대한 범위가 다소 넓게 산정되었지만, 출현된 개체수 분포와 산정결과는 매우 유사하였다. 수심의 경우 공통적으로 0.3 m 구간에서 개체밀도가 가장 높았고, 유속은 0.2 - 0.4 m/s에서 높은 개체밀도를 보였다.
Table 4.
Habitat suitability index: Zacco platypus
따라서 두 지점 간 하천 규모와 물리적 서식환경의 차이가 존재하고 있지만, 결과적으로 피라미의 서식지적합도지수에서 큰 차이가 발생되지 않은 것은 피라미가 선호하는 수심과 유속에 따라 생활 및 이동하는 것으로 짐작할 수 있다.
또한, Kim (1999), Sung et al. (2005)의 선행연구 결과와 비교하면 성어기 기준 수심은 각각 0.1 - 0.5 m 및 0.25 - 0.40 m, 유속의 경우 각각 0.22 - 0.57 m/s 및 0.25 - 0.55 m/s로 본 연구결과에서 나타난 서식지적합도지수 범위와 유사한 것으로 확인되어 피라미 고유의 물리적 특성이 반영된 결과로 보여 진다.
3.3.5 군집종의 서식지적합도지수
유영성종에 대한 서식지적합도지수 산정결과는 Table 5에 나타내었다. St.3 및 St.8에서 출현한 유영성종에 대하여 어종별로 서식지적합도지수를 각각 산정하고 결과를 종합하여 군집에 대한 서식지적합도지수를 최종 종합하였다.
Table 5.
Habitat suitability index: species of swimming ability
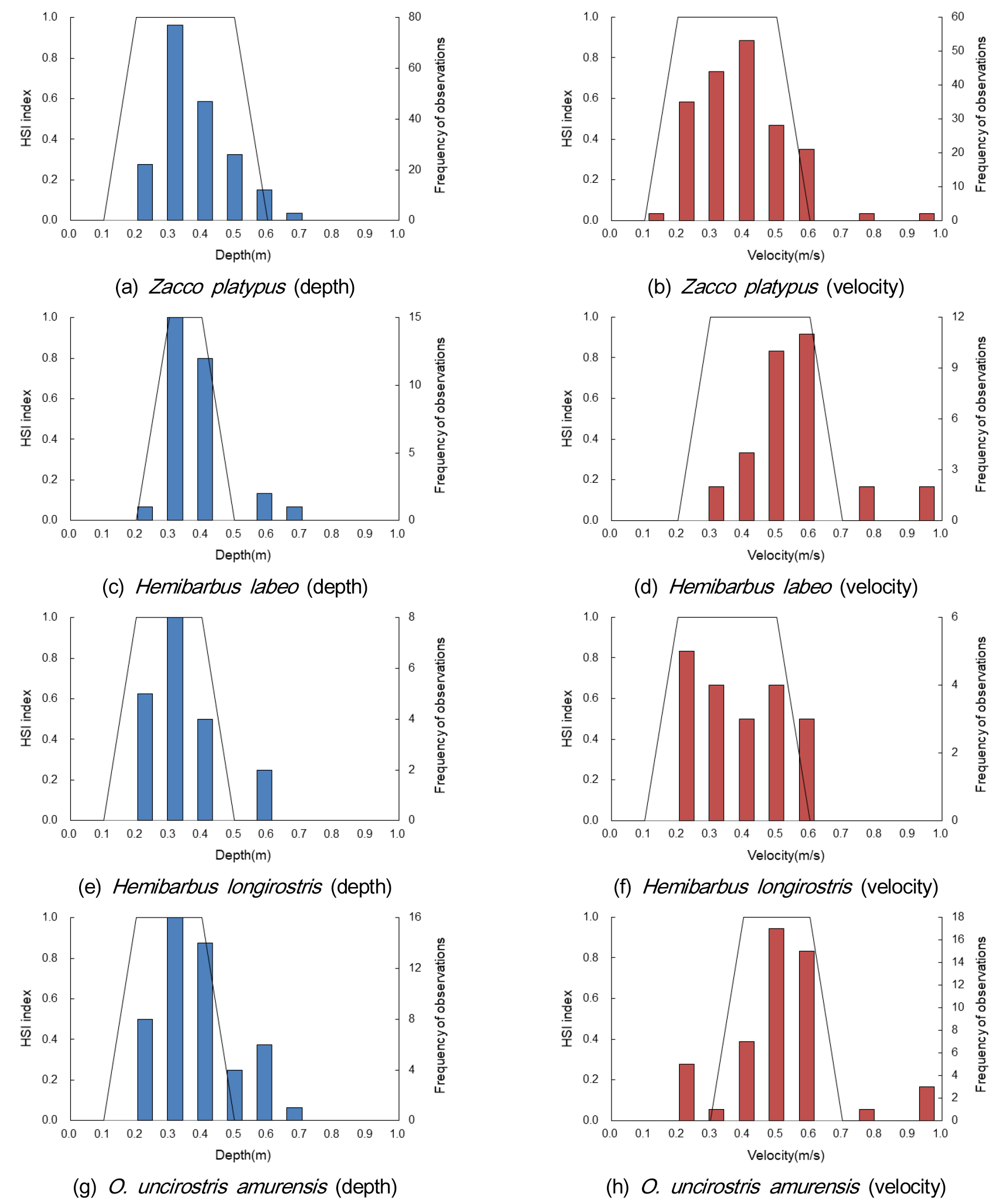
St.3에서 출현한 유영성종은 피라미, 줄몰개, 누치, 참마자, 끄리 등 5종이었으며, 어종별 서식지적합도지수는 피라미가 수심 0.1 - 0.5 m, 유속 0.2 - 0.4 m/s, 줄몰개는 수심 0.2 - 0.3 m, 유속 0.1 - 0.4 m/s, 누치는 수심 0.3 - 0.6 m, 유속 0.2 - 0.5 m/s, 참마자는 수심 0.2 - 0.5 m, 유속 0.1 - 0.4 m/s, 끄리가 수심 0.1 - 0.5 m, 유속 0.2 - 0.5 m/s로 각각 산정되었다 (Fig. 6). 어종별로 산정된 결과를 종합하여 최소 및 최대값을 제외하고 공통 범위를 중심으로 산정된 서식지적합도지수는 수심 0.2 - 0.5 m 및 유속 0.2 - 0.4 m/s로 나타났다.
St.8에서는 피라미, 줄몰개, 누치, 참마자, 끄리 등 5종의 유영성종이 출현하였으며, 줄몰개의 경우 1개체만 출현하여 대상어종에서 제외하였다. 어종별로는 피라미가 수심 0.2 - 0.5 m, 유속 0.2 - 0.5 m/s, 누치는 수심 0.3 - 0.4 m 및 유속 0.3 - 0.6 m/s로 산정되었으며, 참마자는 수심 0.2 - 0.4 m, 유속 0.2 - 0.5 m/s, 끄리는 수심 0.2 - 0.4 m, 유속 0.4 - 0.6 m/s로 각각 산정되었다 (Fig. 7). 전체 어종을 고려하여 종합한 서식지적합도지수는 수심 0.2 - 0.5 m 및 유속 0.2 - 0.5 m/s로 산정되었다.
유영성종에 대한 종합된 서식지적합도지수를 비교하면 수심은 0.2 - 0.5 m로 동일하였고, 유속은 각각 0.2 - 0.4 m/s 및 0.2 - 0.5 m/s로 유사하게 산정되었다. 이와 같은 결과는 유영성종에 포함된 피라미의 서식지적합도지수가 광범위하였고, 나머지 어종의 경우 대부분 피라미와 서식지를 공유하는 동소종이기 때문에 피라미의 서식지적합도지수에 포함되거나 유사한 결과로 나타났다.
4. 결 론
본 연구에서는 금강수계 미호천에서 현장조사를 통한 어류의 물리적 서식환경 특성을 파악하고 DB화하여, 피라미와 주요 유영성종을 대상으로 상류와 하류지점의 서식지적합도지수를 산정하여 비교해보았다.
본 연구에서 채집된 어류는 총 8과 37종 5,754개체였으며, 우점종은 피라미 (43.2%), 아우점종은 모래무지 (10.9%), 고유종은 3과 7종, 외래종은 2과 3종이었고, 2013년부터 본 조사까지 어류군집의 큰 변동은 나타나지 않은 것으로 확인되었다. 미호천 어류군집의 유영특성은 정수성종이 22종, 중간종 7종, 유수성종 8종으로 유속이 느린 수역을 선호하는 어종이 가장 많았으며, 개체수 비율은 우점종인 피라미의 영향으로 유수성종의 비율이 높았다.
미호천의 상류 (St.1)와 하류 (St.8)의 서식지적합도지수를 비교하면, 피라미와 유영성종 모두 상류와 하류의 산정결과가 유사하게 나타났다. 유영성종의 수심과 유속 구간별 개체수 분포를 비교하면 수심은 0.3 m에서 최대로 나타났고, 유속의 경우 St.3에서 0.3 m/s, St.8은 0.4 m/s를 중심으로 출현된 개체수가 집중되는 것으로 확인되었다. 상류와 하류 지점 간 하천규모와 수심 및 유속 배열 등의 물리적 특성의 차이가 존재하고 있지만, 대상어종으로 선정된 피라미와 유영성종은 개별적 서식특성을 나타내며 선호하는 수심과 유속에 따라 생활 및 이동하는 것으로 짐작된다.
하천에 서식하는 어류의 서식지적합도지수에 관한 연구는 어류의 서식지 해석을 통한 하천복원 및 어류의 서식에 필요한 환경생태유량 산정에 있어서도 핵심적으로 작용하는 부분이다. 어류의 서식지에 영향을 미치는 인자는 수심과 유속과 같은 물리적 인자뿐만 아니라 어류의 먹이사슬과 관련된 생물학적 인자와 수질 및 영양염 등 화학적 인자 등을 고려해야 하므로, 본 연구결과를 일반화하는 것에 주의가 필요하다. 본 연구의 경우 연구기간 1년 동안 구축된 자료를 이용하여 서식지적합도지수를 산정하였기 때문에 결과의 신뢰성 측면에서 한계점이 있을 수 있으므로, 추후 미호천에서 관련 연구가 지속적으로 수행될 필요성이 있다. 또한 통합적인 물관리체계 페러다임으로 전환되고 있는 시점에서 기존에 구축된 서식지적합도지수에 대한 정리와 함께 지속적인 모니터링 및 자료구축을 통해 수생태계 건강성 유지 및 관리를 위한 기반을 마련하여야 한다.









