1. 서 론
2. 수치모형의 기본이론
3. 수치모형의 적용성 검토
3.1 수치모의를 위한 수리학적 조건
3.2 수치모의 결과
3.2.1 하도의 단면 변화
3.2.2 낙차공을 고려한 복단면수로에서 사주의 변화
4. 하폭변화에 따른 낙차공에 의한 사주의 거동
4.1 수치모의 조건
4.2 수치모의 결과
5. 결 론
1. 서 론
경사가 급한 중소하천이나 본류와 지류가 만나는 합류부에서 하상경사를 완화시키고 하도의 형상을 유지하며 하도안정화를 유지하기 위하여 낙차공을 설치한다. 특히, 도시를 통과하여 흐르는 경사가 급한 중소하천에서 친수공간을 확보하고 하천공간을 활용하기 위하여 복단면 하도로 복원하며 안정하도를 유지하기 위하여 낙차공이 많이 설치되었다. 그러나 저수로에서 사주의 발생과 하안침식 등으로 국부적인 세굴이 발생하며, 하천 관리에 많은 어려움이 있다.
사주 (sediment bars)는 하천에서 흐름과 유사의 상호작용에 의해 발생하게 되며, 하안 침식과 저수로 변화를 일으켜 치수적인 문제를 야기하고 있다. 사주의 형상과 거동은 일반적으로 무차원소류력과 하폭 대 수심의 비에 의해 결정되며, 하폭 대 수심의 비가 작을 경우에 횡단면에 하나의 사주가 발달하고 교호사주가 형성된다. 하폭 대 수심의 비가 큰 경우에는 횡단면에 여러 개의 사주가 발달하는 복렬사주가 형성된다. Ikeda et al. (1981)은 다양한 실내실험 결과를 토대로 교호사주의 이동속도, 파장, 파고를 예측할 수 있는 경험공식을 제안하였다. Blondeaux and Seminara (1985)은 이론적인 연구를 통하여 사행의 주파수에 대하여 자유사주와 고정사주에서 공진현상을 처음으로 제시하였다. Shimizu et al. (1999)는 복단면 하도에서 사주의 변화를 예측할 수 있는 2차원 수치모형을 개발하고 실내실험 결과와 비교하여 그 적용성을 검토하였다. Jang and Shimizu (2005)는 수치실험을 통하여 하안의 안정성이 사주의 이동과 정지, 파장과 이동속도의 관계를 정립하였다. 그러나 낙차공을 고려한 하도변화를 예측한 연구는 매우 적다. 따라서 본 연구에서는 2차원 수치모형인 Nays2D 모형을 이용하여 기존 실험자료 Ikeda and McEwan (2009)와 비교하여 수치모형의 적용성을 검토하였고, 수치모의을 통하여 낙차공 상하류에서 교호사주, 중앙사주, 복렬사주의 거동과 변화를 분석하였다.
2. 수치모형의 기본이론
Nays2D 모형은 2009년에 개발된 iRIC (International River Interface Cooperative)모형에 탑재되어 있으며, Hokkaido University의 Shimizu 교수에 의해 개발되었다 (Shimizu et al. 2011). 본 모형은 직교좌표계를 변환하여 형상이 복잡한 하천에도 적용할 수 있도록 일반곡률좌표계 (General curvilinear coordinate system)를 사용하였다. 수리구조물을 포함한 2차원 흐름특성을 계산하고, 하상변동을 모의할 수 있다. 본 모형은 2차원 흐름 거동을 모의하기 위한 흐름의 지배 방정식은 다음과 같다.
연속방정식
(Eq. 1)
운동량방정식



(Eq. 2)



(Eq. 3)
여기서,
와
은 일반좌표계에서 공간 좌표 성분이며,
와
는
와
방향의 유속이다. H는 수위 (=h+z)이고, h는 수심 (m)이며, z는 하상고 (m)이다. as는 단위체적당 식생에 의해 차단되는 단면적이며, CD는 식생에 의한 항력계수이다.
는 하상마찰계수이고,
은 Manning의 조도계수이며, J는 Jacobian이다. 계수
~
는 다음과 같다.
,
,
(Eq. 4)
,
,
(Eq. 5)
위 식의 운동량 방정식에서 확산항
와
는 다음과 같이 표현할 수 있다.
(Eq. 6)
(Eq. 7)
여기서,
와
는
와
에 대한 확산항이며,
와
는 일반좌표계에서 격자의 크기와 국소적인 격자의 크기 비를 나타낸다.
Nays2D 모형에서는 난류에 대한 문제를 해결하기 위하여 zero 방정식을 적용하였다. 하상마찰속도와 수심 지배적 운동량 이송을 고려한 와동점성계수
는 다음과 같다.
(Eq. 8)
여기서,
는 비례상수로서 실험에 따라 수직방향의 운동량이송에 관련된 값으로 약 0.07이다. 일반좌표계에서 2차원 유사의 연속방정식은 다음과 같다.
(Eq. 9)
여기서,
는 하상고이고,
는 하상재료의 공극률이다.
와
는
와
방향에 대한 단위폭당 소류사량이며,
는 Jacobian 이다. 유사량은 Ashida and Michiue (1972)의 공식으로 계산하였으며, 다음과 같다.
(Eq. 10)
여기서,
는 소류사량이며,
는 수중에서 하상토의 비중이다.
는 중력가속도이고,
는 하상토의 평균입경이다.
는 무차원 소류력이며,
는 무차원 한계 소류력이다.
는 마찰속도이고,
는 한계 마찰속도이다.
3. 수치모형의 적용성 검토
3.1 수치모의를 위한 수리학적 조건
본 수치모형의 적용성을 검토하기 위하여, 복단면으로 만들어진 직선수로에서 교호사주가 발생하는 조건으로 Ikeda and McEwan (2009)에 의해서 수행된 실내실험 결과와 수치모의 결과를 비교 검증하였다. 실내실험에 적용한 수리학적 조건으로 수로길이 (L)는 10.6 m 이고, 저수로 폭 (B)은 0.48 m 이다. 낙차공의 높이는 0.013 m 이다 (Fig. 1). 유량 (Q)은 0.002 m3/s 이고 조도계수 (
)는 0.01이다. 하상경사 (i)는 1/60이며, 평균입경 (dm)이 0.2 mm 균일사를 사용하였다.
하류단 수면 조건은 등류조건을 적용하였으며 실험 및 모의시간은 5,400 초를 적용하였다. 계산격자는 종횡비가 1:3이 되도록 구성하였으며, 상류단 흐름과 하류단 흐름을 반복적으로 계산해 주는 조건인 주기경계조건을 사용하였다.
3.2 수치모의 결과
3.2.1 하도의 단면 변화
Fig. 2는 Ikeda and McEwan (2009)가 수행한 복단면 수로의 실내실험 결과와 수치모의 결과를 보여주고 있다. 이는 Kuroki and Kishi (1984)가 제시한 사주의 영역구분에서 교호사주가 발생할 조건에 해당하는 수리조건으로 실험 및 수치모의를 수행한 상태이다. 상류와 하류에서 교호사주가 뚜렷하게 발달하는 과정을 잘 보여주고 있으며, 수치모의 결과는 실내실험 결과를 잘 재현하고 있다. 교호사주의 선단부가 좌안과 우안으로 번갈아 가며 위치하고 있고, 사주의 파장이 일치하고 있다 (Fig. 2a and b). 교호사주의 선단부에서 흐름은 측벽으로 집중되고 있고, 수충부가 형성되며, 하상이 깊게 세굴 되고 있다 (Fig. 3c).
3.2.2 낙차공을 고려한 복단면수로에서 사주의 변화
Fig. 3은 Ikeda and McEwan (2009)가 수행한 낙차공을 설치한 수로에서의 실내실험 결과와 수치모의 결과를 나타내고 있다. 하도 횡단면에서 사주가 1개인 교호사주가 발생하였으며, 그 형태와 길이가 비교적 잘 일치한다. 특히, 낙차공을 기준으로 상류에서는 퇴적이 발생하며, 하류에서는 낙차공에 의하여 흐름이 집중되고 하상이 세굴되었다 (Fig. 3a와 b). 교호사주에 의하여 흐름은 좌안과 우안으로 분리되며, 사주의 선단부에서 흐름이 집중되고 수충부가 형성되었다 (Fig. 3c). 낙차공에 의하여 흐름은 하도 전체에 균등하게 분산되었다. 그러나 낙차공 하류에서는 흐름이 집중되고 하상이 세굴되어 하상고가 낮아졌다. 그러나 사주의 형상은 낙차공 상류의 영향을 받아 교호사주의 형상을 유지되었다.
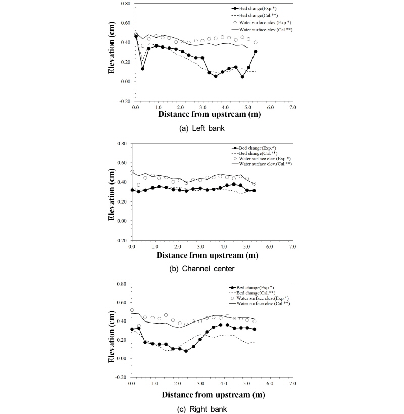
|
Fig. 4. Water surface and longitudinal bed profile in downstream of drop (* experiment result, ** calculation result from numerical model). |
Fig. 4는 낙차공 직하류에서 실내실험 결과와 수치모의 결과에 대한 종방향 하상고를 보여주고 있다. 낙차공 직하류 우안에서 하상은 깊게 세굴되었다. 그러나 하류로 가면서 퇴적과 세굴이 반복되고 있다 (Fig. 4a). 하도 중앙에서 하상고는 일정하게 유지되고 있다 (Fig 4b). 낙차공 직하류 좌안에서 하상은 퇴적되어 상승하고 있으나, 하류로 가면서 하상고 저하와 상승이 반복되고 있다 (Fig. 4c). 이러한 변화는 교호사주의 선단부 위치에 따라 세굴과 퇴적 특성을 나타내며, 하도 중앙은 사주의 중간부분이 위치하므로 하상고의 변화가 크지 않다. 하상고 변화에 대한 수치모의 결과는 실내실험 결과와 잘 일치한다. 그러나 낙차공 직하류에서 수위에 대한 수치모의 결과는 실내실험 결과 보다 낮게 평가되었다. 이러한 원인은 2차원 수심적분된 모형이 3차원 흐름구조를 모의하는데 한계가 있기 때문으로 판단된다.
4. 하폭변화에 따른 낙차공에 의한 사주의 거동
4.1 수치모의 조건
도시를 관통하는 하도에서 하천복원을 하면서 저수로 폭 대 수심의 비가 상대적으로 크고, 하상유지공이 설치되어 있으며, 이에 대한 사주의 거동과 하도 변화를 파악하는 것은 중요다. 따라서 복단면 하도에서 저수로 폭의 증가에 따른 낙차공에 의한 사주의 발생과 거동을 수치실험을 통하여 검토하였다. 수리조건은 Kuroki and Kishi (1984)가 제시한 사주의
영역구분에 의해서 결정하였다. 무차원 소류력 (
)과
의 관계를 통하여 교호사주가 발생할 조건, 중앙사주가 발생할 조건, 복렬사주가 발생할 조건에 대하여 수치모의를 수행하였다 (Fig. 5). 수로의 길이 (L)는 20 m이고, 유량 (Q)은 0.002 m3/s 이다. 조도계수 (n)는 0.014이고, 하상경사 (i)는 1/100이며, 하상토 평균입경 (dm)은 0.6 mm 였다. 수치실험을 위한 자세한 수리학적 조건은 Table 1과 같다. 유사이송 공식은 Ashida and Michiue (1972) 공식을 사용하여 계산하였다. 하류단 조건은 등류수심을 적용하였으며 실험 및 수치모의 시간은 동적 평형상태가 충분히 지속될 수 있도록 18,000 초를 적용하였다. 또한, 상류단 흐름과 하류단 흐름을 동일시하여 반복적으로 계산해 주는 주기경계조건을 사용하였다.
4.2 수치모의 결과
Fig. 6은 하폭 대 수심의 비가 증가함에 따라 사주가 형성된 수치모의 결과를 보여주고 있다. Run-1은 교호사주가 뚜렷하게 발달하였으며, 낙차공 하류에서 상류의 형상을 그대로 유지한 상태로 발달하였다 (Fig. 6a). 하폭 대 수심의 비가 77.8인 Run-2는 Run-1에 비하여 교호사주와 복렬사주의 중간 형태인 중앙사주의 형상을 나타내고 있다 (Fig. 6b). 하폭 대 수심의 비가 128.6인 Run-3은 한 단면에서 사주의 수가 2개 이상인 복렬사주가 발달하여 망상하천이 형성되었다 (Fig. 6c). 사주는 흐름과 유사의 강한 비선형성에 의하여 발생하며 하폭 대 수심이 증가하면서 한 단면에서 사주의 수가 증가한다. Fig. 6c에서 보여주고 있는 것처럼, 저수로에서 흐름이 합류되는 지점에서 흐름이 집중되어 하상이 세굴 되고, 저수로는 흐름방향뿐만 아니라, 횡방향으로 이동하면서 변한다. 망상하천에서 하도의 변화는 망상하천의 발달과정을 이해하는 것이 중요하다. 합류부에서 발달한 세굴공과 하도의 변화는 유출되는 유사량 변화에 영향을 준다.
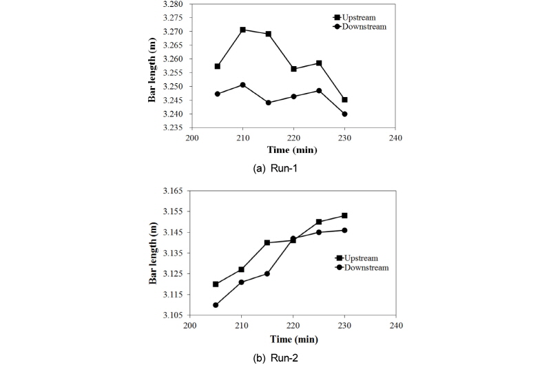
Fig. 7은 낙차공 상류와 하류에서 사주의 모드 수를 보여주고 있다. 사주의 모드는 횡방향으로 봉오리처럼 퇴적되는 형태이다. 모드 수가 1인 것은 교호사주를 나타내며, 모드 수가 2인 것은 중앙사주를 나타낸다. 모드 수가 3인 것은 복렬사주를 나타낸다 (Jang 2013). 교호사주가 발생한 조건인 Run-1에서 낙차공 상류와 하류에서 사주의 모드 수는 1개로 일치하였다 (Fig. 7a). 중앙사주가 발생한 조건인 Run-2에서 모드 수는 1개 혹은 2개였다. 낙차공 상류보다 하류에서 모드가 2개인 지점에 많았다 (Fig. 7b). 복렬사주가 발생한 조건인 Run-3에서 모드 수는 2개 혹은 3개이며, 낙차공 하류에서 3개가 많았다 (Fig. 7c). 즉, 사주의 수는 낙차공 상류에서보다 하류에서 많이 발생하였으며, 낙차공에 의하여 흐름이 집중되고 교란되어 사주가 많이 발생하는 것으로 판단된다.
Fig. 7은 낙차공 상류와 하류에서 사주의 모드 수를 보여주고 있다. 교호사주의 길이는 초기에 급격하게 증가하였다. 그러나 시간이 지나면서 사주의 길이는 짧아졌다. 낙차공 상류에서 사주길이보다 낙차공 하류에서 사주길이가 더 짧게 나타났다 (Fig. 8a). 중앙사주의 길이는 220분까지는 증가하고 있으나, 그 이후부터는 거의 일정하게 유지하고 있다. 중앙사주의 길이도 낙차공 상류에서보다 하류에서 더 짧게 나타났다 (Fig. 8b). 이것은 낙차공에 의하여 흐름이 집중되고 교란되어 사주가 많이 발생하는 것으로 판단된다.
5. 결 론
본 연구에서는 2차원 수치모형을 이용하여 복단면 하도에서 낙차공을 고려하여 하도의 변화와 사주의 거동을 특성을 실내실험결과와 비교하였다. 또한 수치실험을 통하여 낙차공 상하류에서 교호사주, 중앙사주, 복렬사주의 거동과 변화를 분석하였으며, 그 결과는 다음과 같다.
1)수치모형은 복단면 하도에서 교호사주의 발달과 이동 특성을 잘 모의하였다. 교호사주에 의하여 흐름은 좌안과 우안으로 분리되며, 사주의 선단부에서 흐름이 집중되고 수충부가 형성되었다. 낙차공에 의하여 흐름은 하도 전체에 균등하게 분산되었으며, 낙차공 하류에서는 흐름이 집중되고 하상고가 낮아졌다. 그러나 사주의 형상은 낙차공 상류의 영향을 받아 교호사주의 형상을 유지되었다.
2)하폭 대 수심이 증가하면서 교호사주, 중앙사주, 복렬사주가 형성되었으며, 사주의 수가 증가하였다. 낙차공에 의하여 흐름이 집중되고 교란되기 때문에 사주의 수는 낙차공 상류에서보다 하류에서 많이 발생하였다.
3)낙차공에 의하여 흐름이 집중되어 낙차공 상류에서 사주길이보다 낙차공 하류에서 사주길이가 더 짧게 나타났다.







represents the nod- dimensional tractive force, B represents a channel width, I0 and numbers on curve represents the channel slope, and H0 represents the water depth).


