1. 서 론
2. 연구 방법
2.1 조사지 개황
2.2 현장 조사
2.3 자료 처리
3. 결과 및 논의
3.1 환경 특성
3.2 어류상
3.3 어류종의 수도와 다양도
3.4 어류종 수도의 시간적 변화
3.5 어류 군집 구조
4. 결 론
1. 서 론
모래 하상 하천은 우리나라 중하류 하천에서 나타나는 대표적인 하천 유형이다. 이곳에서는 유역 산지의 모암이 풍화되어 입상 붕괴한 조립질의 모래가 다량으로 하천으로 공급된다. 이렇게 공급된 모래가 유수에 의한 침식, 운반 및 퇴적 작용에 의하여 하천 하상을 덮어서 모래하천의 고유한 경관을 유지하게 한다 (Lee et al. 2010). 모래 하천에서는 다양한 형태의 사주가 발달하는데 유수에 의해 형태와 위치가 수시로 변하기도 하고 식생 피복에 의해 그 형태를 유지되기도 한다 (Lee et al. 2013).
모래 하천에서는 모래 하상에서 서식하는 다양한 고유 어종이 서식하고 있다 (Yang and Kwon 1992, Zuanon et al. 2006, Kang et al. 2011, Yoon et al. 2014). 이들 모래 하상 서식 (psammophilous 혹은 sand-dwelling) 어류는 형태적으로나 행동적으로 특이성을 갖는다 (Zuanon et al. 2006). 즉 이들은 모래 하상에서 위장 색을 띄거나 은신 행동을 하며, 부착 조류나 유기물을 걸러먹거나 가만히 있다가 (sit-and-wait) 포식하는 특성을 갖는 경우가 많다. 결국 이런 특성을 갖는 어류는 서식지인 하상 구조의 변화에 민감하게 반응할 것으로 생각된다.
현재 우리나라의 모래하천에서는 골재채취, 댐 건설, 하천정비 등의 다양한 교란에 의하여 모래 하상 어류의 서식환경이 급격하게 변화하고 있다 (Lee et al. 2013, 2015). 특히 댐 하류 모래 하천에서는 댐의 의한 수리 및 유사 환경이 변화하여 어류상의 변화가 초래되고 있다 (Bednarek 2001, Kim and Choi 2015). 우리나라의 대표적인 모래하천인 낙동강 지류의 내성천에는 멸종위기종으로 지정된 흰수마자를 포함한 다양한 모래 하상 서식 어류가 발견되고 있다 (Yang and Kwon 1992, Kang et al. 2011). 최근 하천 환경 변화에 따른 흰수마자의 보전하기 위하여 이들의 치어를 방류하는 등의 다양한 노력을 하고 있다 (Na et al. 2015). 그러나 2009년부터 낙동강 합류부로부터 56 km 상류의 내성천 중류에 축조되기 시작한 다목적댐인 영주댐이 준공되어 2016년 하반기부터 운영되고 있다 (Kang and Lee 2015). 따라서 영주댐 하류 하천에서는 하천 환경의 변화와 이에 따른 어류 군집 구조의 변화가 예상된다.
그러므로 본 연구에서는 모래하천인 내성천에서 영주댐 운영 이후에 어류상의 변화를 추적하기 위한 기초선 (baseline) 자료를 마련하기 위하여, 영주댐이 건설중인 2014년부터 2016년까지 댐 하류 하천에서 댐 운영이전에 어류의 생물상과 군집구조 및 서식 환경을 파악하고자 하였다.
2. 연구 방법
2.1 조사지 개황
조사 대상 하천인 내성천은 낙동강의 제 1지류 하천으로 본류는 경상북도 봉화군에서 발원하여 경상북도 예천군에서 낙동강과 합류하며 유로연장은 108 km이다 (Fig. 1). 지류 하천으로는 상류로부터 낙화암천, 토일천, 서천, 옥계천, 석관천, 한천, 금천이 있다. 내성천은 대표적인 모래 하상 하천으로서 하상이 대부분 중간 내지는 조립질 모래로 구성되어 있다 (Lee et al. 2013). 그러나 2016년부터 내성천 중류인 영주시 평은면에 건설된 영주댐이 운영됨에 따라서 댐 하류에서 급격한 하천 환경 변화와 이에 따른 어류상의 변화가 예상된다 (Lee et al. 2015).
본 연구에서 영주댐으로부터 하류 10 km 구간에서 5개의 조사지점을 선정하였고, 대조지소로서 서천 하류에서 1개 조사지점을 추가하였다 (Fig. 1). 내성천의 조사지점 S1는 댐 직하류의 미림교 상류에 위치하며 이 곳의 하류에 보가 설치되어 있었다 (Fig. 2). 조사지점 S2는 조사지점 S1과 미림교 하류의 나지 사주 부근에 위치하고 있었다. 조사지점 S3는 무섬교 상류 1 km에 위치하며 사행구간으로 사주가 발달하여있다. 조사지점 S4는 수도리 무섬마을 하류에 위치하고 있다. 조사지점 S5는 석탑교 상류에 위치하며 좌안에 나지 사주가 넓게 발달하여 있다. 서천 하류에 위치한 조사지점 S6는 석잠교 하류에 위치하고 서천은 상류에 댐이 없는 비조절하천이다.
2.2 현장 조사
어류 및 환경 조사는 2014년 7월부터 2016년 5월까지 총 6회에 걸쳐 실시하였다. 선정된 조사지점에서 매 조사시 투망 (망목 7 mm × 7 mm)을 15회 투척하고 족대 (망목 4 mm × 4 mm)를 30분간 사용하여 어류를 정량적으로 채집하였다. 채집된 어류는 현장에서 동정하고 계수한 후에 방류하였다. 어류의 동정은 Kim and Park (2002)과 Kim et al. (2005)을 따랐다.
미국 환경청의 하천 표준 조사법 (Lazorchak et al. 1998, Barbour et al. 1999)을 참조하여 어류 서식처의 환경 요인을 조사하였다. 각 조사지점에서 등간격으로 5곳에 횡단면을 설치하였다. 이 단면을 따라서 2 m 간격으로 유속, 수심 및 하상구조를 조사하였다. 유속은 유속계 (Flowatch, JDC Electronic SA, Switzerland)를 사용하여 측정하였다. 수심은 막대자를 이용하여 측정하였다. 하상구조는 Cummins (1962)의 방법을 참조하여 각 조사지에서 50 cm × 50 cm 방형구를 설치하고 방형구 내에서 가장 우세한 하상 입자를 기록하였다. 각 단면의 평균 유속과 평균 수심을 산출하고 다시 이 값의 평균으로 각 조사지점의 대표치로 산출하였다. 각 조사지점에서 하상구조의 대표치는 각 단면에서 하상입자의 상대적 빈도를 구하고 이 빈도를 전체 조사지점에서 평균을 계산하여 산출하였다. 조사지점의 저수로 폭은 5개의 횡단면에서 측정하여 평균하였다. 저수로의 식생 분포는 정수식물 (emergent macrophytes)와 목본식물 (overhanging tree)의 2가지 식생형으로 구분하여 식생 피복도를 조사하였다. 각 횡단면의 양안에서 상・하류 5 m의 구간을 관찰하여 식생형별로 식생이 피복하는 하안 길이는 백분율을 측정하였다.
2.3 자료 처리
내성천의 식생사주와 나지사주에서 곤충 군집구조를 종다양성으로 비교하였다. 각 조사지점에서 곤충 군집의 종다양도 지수 (H')와 종균등도 지수 (E')를 산출하였다. 종다양도는 자연로그를 이용한 Shannon의 종다양도 지수를 사용하였다 (Shannon 1948). 종균등도 지수는 군집의 최대 Shannon 종다양도 지수에 대한 실제 종다양도 지수의 비율로서 표시하였다 (Pielou 1975). 내성천의 어류의 서식환경을 파악하기 위하여, 각 조사지점의 환경 자료를 이용하여 주요인분석 (principal component analysis, PCA)를 실시하였다. 조사기간에 총 6번의 조사시기에 각 조사지점별 환경요인을 입력자료로 하여 R 환경 (R Development Core Team 2013)에서 Vegan package (Oksanen et al. 2015)의 ‘rda’ 함수로 PCA를 수행하였다. 또한 어류 군집 구조를 파악하기 위하여, 어류종별 수도 자료를 이용하여 비계량형 다차원척도법 (non-metric multidimensional scaling, NMDS)를 실시하였다. 군집구조의 조사지점 사이 거리는 Bray-Curits 방식 (Bray and Curtis 1957)으로 산출하여 NMDS를 R 환경 (R Development Core Team 2013)에서 Vegan package (Oksanen et al. 2015)의 ‘metaMDS’ 함수로 수행하였다.
3. 결과 및 논의
3.1 환경 특성
내성천의 수로 폭은 서천이 합류하기 전에 위치한 조사지점 (S1, S2 및 S3)에서보다 합류 후에 위치한 조사지점 (S4 및 S5)에서 넓었다 (Table 1). 서천에 위치한 조사지점 (S6)의 수로 폭은 서천 합류 전의 내성천과 유사하였다. 조사지점 S1에서의 수리 환경은 다른 조사지점보다 수심은 깊고 유속이 매우 느렸다. 이러한 이유는 이곳의 하류에 보가 설치되어 있기 때문이다. 수심은 하류 쪽은 조사지점 S3와 S4가 S2와 S3보다 깊었다. 조사지점 S1을 제외한 조사지점에서 유속은 0.6 – 0.9 m/s의 범위이었다.
내성천의 조사지점인 S3, S4, S5와 서천의 S6에서 하상은 주로 모래 (S)가 우세하였고 자갈 (G)이 다음으로 많았다 (Table 2). 그러나 내성천의 조사지점 S1과 S2에서는 모래와 자갈의 함량이 다른 조사지점보다 적었고 큰자갈 (P) 이상으로 입경이 큰 하상 재료가 많았다. 이들 조사지점 S1과 S2는 공사중인 영주댐 하류에 위치하여 유사 공급이 제한되어 하상의 조립화된 것으로 생각된다. 특히 조사지점 S1에서는 하류에는 보가 설치되어 있어서 유속이 느려지면서 진흙 (M)의 함량이 많았다.
수로변의 총 길이에 대한 정수식물이 피복하는 길이의 백분율 (Cins)은 상류의 조사지점인 S1, S2 및 S3에서는 7% 이상으로서 하류 조사지점보다 높았다 (Table 2). 버드나무 등의 목본식물의 수관에 의한 피복율 (Ccnp)는 0-4%의 범위로 낮았다. 이상의 결과로 보아, 본 조사지점에서 사주에는 식생이 아직 번성하지 않은 것으로 판단된다.
2014년부터 2016년까지 조사시기에 따른 조사지점별 환경을 주요인분석 (PCA)을 실시한 결과에서 영주댐 하류에서 상류에 위치한 조사지점 S1과 S2가 가까이 위치하였고 보다 하류에 위치한 조사지점 S4와 S5가 서로 가까이 위치하였다 (Fig. 3). 조사지점 S1과 S2는 수심이 깊고, 하상에 보다 진흙, 큰자갈, 호박돌, 전석이 많으며 정수식물 피복율이 높았다. 반면에 조사지점 S4와 S5는 수로 폭이 넓고, 유속이 빠르며, 모래와 자갈의 함량이 많고, 목본식물 피복율이 높은 경향이었다. 조사지점 S3의 환경특성은 상류와 하류 쪽의 조사지점 환경 특성의 중간 정도를 나타내었다. 또한 서천 조사지점인 S6는 내성천 조사지점 S4와 S5의 환경과 유사하였다.
Table 1. Comparison of aquatic environmental factors at the at the study sites of the Naeseong Stream (S1 – S5) and Seo Stream (S6) (mean ± SD).
![]() |
3.2 어류상
영주댐 운영 전인 2014년 7월부터 2016년 5월까지 내성천의 댐 하류와 서천에서 채집된 어류는 총 10과 23속 26종이었다 (Table 3). 이러한 결과는 영주댐 하류 내성천 조사 구간에서 보고된 Yang and Kwon (1992)의 22종 및 Kang et al. (2011)의 25종과 비슷하였다. 선행 연구 결과와 비교하면 이번 조사에서 참몰개 (Squalidus chankaensis tsuchigae)와 쏘가리 (Siniperca scherzeri)가 새로 발견되었다. 그러나 모래주사 (Micro-physogobio koreensis), 버들치 (Rhynchocypris oxycephalus), 갈겨니 (Zacco temminckii), 참갈겨니 (Zacco koreanus), 됭경모치 (Microphysogobio jeoni) 등은 더 이상 발견되지 않았다.
내성천과 서천의 조사지점별 출현 종수는 평균 18.4종이었다 (Table 3). 출현종수는 영주댐의 직하류인 조사지점 S1에서 21종으로서 가장 많았다. 특히 떡붕어, 큰입배스, 쏘가리가 이곳에서만 발견되었다. 이곳은 보에 의하여 유속이 느려진 구간이 형성되어 있었고 댐 공사로 하상재료가 굵어졌다. 따라서 하류의 다른 구간에 비하여 더 다양한 어류상을 나타낸 것으로 생각된다.
내성천에서 환경부 지정 멸종위기종인 흰수마자 (Gobiobotia naktongensis)는 모래 하상이 유지되고 있는 조사지점 S3, S4 및 S5에서 발견되었다 (Table 3). 반면에 외래종인 큰입배스 (Micropterus salmoides)는 S1의 보 상류의 정체수역에서 채집되었다. 주로 모래 하상에 서식하는 어류로서는 누치 (Hemibarbus labeo), 참마자 (H. longirostris), 모래무지 (Pseudogobio esocinus), 흰수마자, 기름종개 (Cobitis hankugensis), 대동갱이 (Leiocassis ussuriensis)가 내성천의 조사구간에서 발견되었다. 이들은 영주댐 운영 이후에 하상이 변동되면 영향을 크게 받을 것으로 예상되는 어종인 것으로 생각된다.
Table 3. Fauna and individual numbers of fish collected at the study sites of the Naeseong Stream (S1 –S5) and Seo Stream (S6).
![]() | |
1RA, Relative abundance; *Korean endemic species, #exotic species | |
3.3 어류종의 수도와 다양도
내성천과 서천의 전체 조사 지점에서 출현한 어류 중에서 상대수도 (relative abundance)는 피라미 (Zacco platypus) (51.9%) > 끄리 (Opsariichthys uncirostris amurensis) (7.3%) > 모래무지 (6.6%) > 참마자 (6.0%) > 돌고기 (Pungtungia herzi) (5.6%)의 순이었다 (Table 3). 따라서 피라미가 전체 수도의 절반 이상을 차지하는 우점종이었다. 모든 조사지점에서 우점종은 피라미이었다 (Table 4). 아우점종은 내성천의 S1과 서천의 S6에서는 끄리이었고, S2에서는 쉬리 (Coreoleuciscus splendidus), S3에서는 참마자, S4와 S5에서는 모래무지이었다. 현재의 우점종을 과거의 연구 결과와 비교하면, 1988년에는 갈겨니, 기름종개, 버들치, 피라미 등이 우점하였던 것과 큰 차이가 있었다 (Yang and Kwon 1992). 또한 2007 - 2009년에는 파라미가 우점하였고 갈겨니, 모래무지, 흰수마자 등이 아우점종이었던 결과와 비교하면 아우점종에서 차이가 있었다 (Kang et al. 2011).
조사지별 종다양도지수는 조사구간에서 상류인 조사지점 S1에서 0.80으로 가장 높았고 하류로 갈수록 감소하여 조사지점 S5에서는 0.64이었다 (Table 4). 서천의 조사지점 S6에서도 종다양도지수가 0.65로 낮았다. 종균등도지수 또한 상류에서 하류로 갈수록 감소하였다.
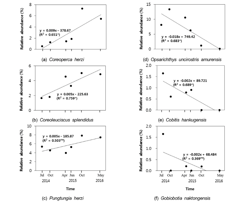
3.4 어류종 수도의 시간적 변화
내성천에서 2014년 7월부터 2016년 5월까지 어류종의 수도 변화를 직선회귀 분석으로 파악하였다 (Fig. 4). 최근에 꺽지와 쉬리의 상대수도는 증가하였고, 돌고기의 상대수도는 유의하지는 않으나 증가하는 경향이었다. 이들 종은 자갈 하상에서 서식하는 특성을 지니고 있다. 반면에 끄리와 기름종개의 상대수도는 감소하였고, 흰수마자도 유의하지는 않으나 감소하는 경향이었다. 이들 감소 경향의 종 중에서 기름종개와 흰수마자는 전형적인 모래 하상에 서식하는 어종이었다. 따라서 건설중인 영주댐의 하류에서는 자갈 하상 서식종은 증가하고 모래 하상 서식종은 감소하는 것으로 판단된다.
3.5 어류 군집 구조
내성천과 서천에서 2014년 7월부터 2016년 5월까지 각 조사시기에 따른 조사지점별 출현 어종의 수도 자료를 이용하여 비모수다차원척도법 (NMDS)을 수행하였다 (Fig. 5). 어류 종의 배열에서는 1축의 왼쪽에 돌마자 (M. yaluensis), 쉬리 (C. splendidus), 꺽지 (C. herzi) 등이 위치하였다 (Fig. 5a). 이들은 주로 자갈 하상에 서식하는 어종이었다. 또한 오른쪽 아래에는 누치 (H. labeo), 기름종개 (C. hankugensis), 흰수마자(G. naktongensis) 등이 위치하였다. 이들은 주로 모래 하상에 서식하는 종이었다. 나머지 종 들은 1축의 중앙에 넓게 분포하였다.

Fig. 5.
Ordination biplot of non-metric multidimensional scaling (NMDS) based on the fish communities collected at the study sites of the Naeseong Stream and Seo Stream. (a) Red dot indicates fish species. Species name refer to Table 3. (b) Changes of fish communities over the sampling time from July 2014 to May 2016. Abbreviations for the sampling sites refer to Fig. 1. (c) The length and angle of arrows show the contribution of the environmental variables and the elapsed time to the NMDS axes. Abbreviations for the environmental factors refer to Table 2.
조사시기별 조사지점의 비모수다차원척도법 (NMDS)에 의한 배열에서 조사지점 S2와 S3가 오른쪽 아래에, 조사지점 S1과 S6이 왼쪽 위에 서로 가까이 위치하였다 (Fig. 5b). 조사시기의 경과를 표시하고 있는 화살표는 대체로 오른쪽 위로 향하여 전체 조사지점에서 시간 경과에 따라서 일정한 방향으로 어류 군집의 변화가 일어나는 것으로 판단되었다. 비모수다차원척도법 (NMDS) 배열에서 환경요인의 영향을 나타낸 그림에서도 시간의 경과가 오른쪽 위로 나타났다 (Fig. 5c). 시간의 경과에 따라서 사주에 목본 피복율이 증가하는 것으로 나타났다.
4. 결 론
우리나라의 대표적 하천 유형의 하나인 모래하천에서는 모래 하상에 특이적인 어류가 서식하고 있다 (Kang et al. 2011, Yoon et al. 2014). 낙동강의 주요한 지류인 내성천은 영주댐 축조 전까지 모래하천으로 특성을 보존하고 있었다 (Lee et al. 2013). 그러나 공사중인 영주댐의 직하류에서는 댐 운영 전에 이미 하상 재료의 입경 크기가 다른 조사지점에 비하여 컸다 (Table 2). 이러한 하상 변화는 댐 조성지에서 하류로의 미립질의 유사 공급이 제한되기 때문인 것으로 생각된다. Kim and Choi (2015)는 내성천에서 영주댐의 직하류로부터 하상 침식과 장갑화가 진행되어 점차 모래하천에서 자갈하천으로 변할 것으로 예상하였다.
영주댐이 운영되기 전인 댐 하류 내성천에서는 피라미가 우점하였고 조사지점에 따라서 끄리, 쉬리, 참마자, 모래무지가 아우점하였다 (Table 3). 한편 모래 하상에서 특이하게 서식하는 누치, 참마자, 모래무지, 흰수마자, 기름종개, 대동갱이가 발견되었다. 그러나 영주댐이 축조되는 과정에서도 내성천에서 어류 군집의 변화가 관찰되었다. 모래 하상에 서식하는 기름종개와 흰수마자는 감소하고 자갈 하상에 서식하는 꺽지와 쉬리는 증가하는 경향이었다 (Fig. 4).
내성천의 영주댐 하류에서 어류 군집는 하상 재료의 입경에 따라서 돌마자, 쉬리, 꺽지 등의 자갈 하상 어종 출현 군집과 누치, 기름종개, 흰수마자 등의 모래 하상 어종 출현 군집으로 구분되었다 (Fig. 5). 또한 이들 군집 구조는 영주댐 건설 이후에 시간이 경과함에 따라서 점차 모래 하상 어류 군집에서 자갈 하상 어류 군집으로 변하는 경향이었다.
이상의 결과로 보아서, 앞으로 영주댐이 운영됨에 따라서 모래 하상 지표종이 하상 환경 변화에 크게 영향을 받을 것으로 생각된다. 그러므로 영주댐 하류 하천에서 환경과 어류상의 변화를 지속적으로 모니터링하여 모래하천의 생태계 보전을 위한 기초자료를 확보하여야 할 것으로 생각된다.










