1. 서 론
우리나라의 하천에서 댐, 보 및 제방 축조와 같은 하천정비, 골재 채취, 영양물질 유입, 강수 양상 변화 등의 인위적 영향으로 인하여 하천의 유황, 유사이송, 지형 등이 변하여 점차 사주와 홍수터에 식생이 도입되어 번무하는 경우가 흔하다 (Woo and Park 2016). 하천에서 식생은 야생생물의 먹이와 서식처 제공, 수질 정화 등의 생태계서비스를 제공하지만, 과도한 식생 번무에 의한 개방 사주의 감소는 이곳을 서식지와 번식지로 이용하는 도요, 물떼새류 등의 감소를 초래하기도 한다 (Hong 2005). 또한 목본성 식생은 유사의 침식을 억제하고 퇴적을 가속화하고 (Rood et al. 2011) 식물이 성장함에 따라서 물 흐름에 저항하여 수위상승 효과를 가져올 수 있기 때문에 (Cho et al. 2002), 최근에 제방의 수리적 안정성 확보를 위한 수리 모형 연구가 이뤄지고 있다 (Noh et al. 2011).
국내 자연하천의 중하류에서 주로 출현하는 주요 목본 군집은 버드나무, 선버들, 물푸레나무 등이며 (Lee 2004, Kim et al. 2014), 특히 낙동강 중하류의 목본성 우점 식물종은 왕버들, 선버들 등의 버드나무 (Salix) 속이다 (Woo et al. 2010, Kim et al. 2014). 버드나무류는 무성생식율이 높고 종자 산포량이 많으며, 빠른 유속에서도 줄기가 부러지지 않고 수관의 자기 솎음이 가능하여 홍수에 잘 견디는 생존 전략을 지니는 개척종이다 (Karrenberg et al. 2002). 하천변에서 흔하게 나타나는 버드나무 류는 생산성이 비교적 높고 빠르게 생장하며 수명이 짧은 수목이다 (Aylott et al. 2008, Niiyama 2008). 이러한 생태적 특성을 갖는 버드나무 속 식물은 하천 복원을 위한 생물재료로서 흔하게 쓰이고 있다 (Shields Jr et al. 1995). 또한 경우에 따라서 이들이 과번무하는 경우에는 침입식물로서 취급되고 있다 (McInerney et al. 2016). 그러므로 하천 관리와 복원을 위하여 버드나무 속 식물의 생물량을 파악하고 그 변화를 추적하는 것이 중요하다고 생각된다. 우리나라에서는 박실늪 (Kim et al. 1999), 우포늪 (Kim et al. 2007), 한강 하구 (Han et al. 2010a), 남한강과 낙동강 (Han et al. 2010b) 등에서 생물량과 1차생산성 연구가 수행되었다. 하지만 주로 본류 보다는 비교적 교란이 적은 습지에서 연구되었다. 따라서 교란이 지속적으로 발생되고 있는 모래하천 저수로에 정착하여 천이가 진행되고 있는 주요 버드나무 속 식물의 생물량을 파악하는 것이 필요하다. 따라서 본 연구에서는 모래하천인 낙동강에서 수령에 따른 선버들과 왕버들의 생장 특성을 파악하기 위하여, 이들을 대상으로 상대생장식을 유도하고, 천이 진행에 따라서 이들 식물의 수고, 밀도, 기저면적 및 생물량을 추적하였다.
2. 연구 방법
2.1 조사지 개황
본 연구의 조사 대상지역은 안동댐 하류의 낙동강으로서 경상북도 안동시 남후면 단호리에 위치한 단호교가 통과하는 구간 (36˚33'12"N, 128°35'19"E)이었다 (Fig. 1). 이곳의 하상 재료는 주로 모래이었으며 모래 사주와 홍수터에는 식생이 정착하여 번무하고 있었다. 이곳의 식생 분포는 저수로에서 제방사면 방향으로 명아자여뀌, 달뿌리풀, 선버들, 왕버들이 주로 우점하였다. 이곳에서 선버들 (Salix subfragilis)과 왕버들 (S. chaenomeloides)의 생물량을 측정하기 위하여 연령이 다른 이들의 군집을 선정하였다. 이들 군집에서 버드나무 속 식물은 동년림을 이루고 있었다. 현장조사는 2009년 10월에 실시하였다. 두 종류 버드나무 속 임지에서 선버들은 1, 2, 3, 7, 13, 15 년생 임지를 왕버들은 1, 3, 6, 10, 13, 25 년생 임지를 선택하여 생장 특성과 생물량을 조사하였다. 수령은 나무를 직접 절단하거나 생장추 (increment borer)를 이용하여 나이테로 파악하였다.
2.2 조사 방법 및 자료 처리
낙동강 사주 및 홍수터의 버드나무 속 임지에서 이들의 키를 고려하여 고려하여 2 m × 2 m, 5 m × 5 m, 10 m × 10 m 또는 20 m × 20 m 방형구를 설치하고 개체수, 수고 및 흉고 직경을 기록하였다. 주요 버드나무 속 식물의 생물량을 추정하는 상대생장식 (allometric function)을 구하기 위하여, 방형구에서 표본목으로 직경급별로 선버들 13 그루, 왕버들 17 그루를 선정하였다. 선정된 표본목의 줄기를 지면에서 절단하고 흉고직경, 수고 및 부위별 건물량 (dry matter weight)을 측정하였다. 식물 부위별 건물량을 측정하기 위하여 줄기, 가지 및 잎의 생물량 (fresh matter weight)을 측정하고, 이중 일부의 시료를 실험실로 운반하여 80°C에서 항량이 될 때까지 건조시킨 후 수분함량을 구하여 생물량을 건물량으로 환산하였다. 선버들과 왕버들의 상대생장식은 다음과 같다.
log10 Ws = a + b log10 (D1302 H) (Eq. 1)
log10 Wb = a + b log10 (D1302 H) (Eq. 2)
log10 Wl = a + b log10 (D1302 H) (Eq. 3)
Wt = Ws + Wb + Wl (Eq. 4)
여기에서 Ws, Wb, Wl 및 Wt는 각각 줄기, 가지, 잎 및 총 건물량 (kg DM/plant)이며, D130은 흉고직경 (cm)이고 H는 수고 (m)이다. 상대생장식의 회귀식은 ORIGIN ver. 8.0 (OriginLab Corp. 2009) 소프트웨어를 이용하여 비선형 회귀분석 (nonlinear regression analysis) 법으로 구하였다.
3. 결과 및 논의
3.1 생장 특성
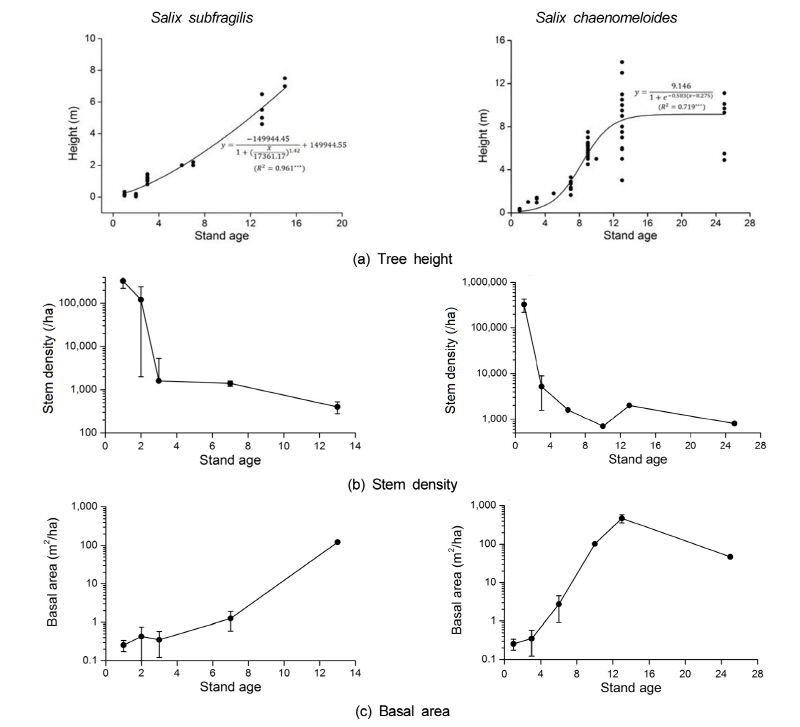
낙동강의 사주와 홍수터에서 선버들의 수고는 발아 후 첫해의 평균 0.3 m에서 수령 15년에 7.5 m로 계속 증가하는 경향이었다 (Fig. 2 (a)). 반면에 왕버들의 수고는 수령이 증가함에 따라서 전형적인 로지스틱 생장곡선을 나타내었다 (R2 = 0.716, p < 0.001). 즉 왕버들의 수고는 수령 1 년에 0.4 m에서 13 년에 14 m로 증가하지만 그 후 25년까지 수고가 거의 증가하지 않았다. 낙동강의 사주에서 왕버들은 수령이 증가하면서 성장율이 감소하거나 사주 퇴적에 의하여 수고 증가가 거의 정체되는 것으로 생각된다. 또한 이곳 조사지에서 수령이 15년 이상인 선버들이 나타나지 않았는데, 이는 선버들이 왕버들에 비하여 수령이 짧기 때문인 것으로 생각된다. 한강 하류 장항습지에 선버들의 최고 수령은 20년이었고 (Han et al. 2010), 우포늪에서 왕버들의 최고 수령은 36년이었다 (Kim et al. 2007). 따라서 낙동강의 본 연구지에서 버드나무 수령이 이들 지역보다는 짧았다.
수령에 따른 줄기 밀도 변화에서 선버들의 밀도는 3년까지 급격히 감소하였고, 그 후 서서히 감소하여 13년에는 400 개체/ha로 유지되었다 (Fig. 4 (b)). 한편 왕버들의 줄기 밀도는 수령 6년까지 급격히 감소하고 그 후 24년에는 700 개체/ha로 낮아졌다. 버드나무 속 식물은 면모가 달린 많은 종자가 바람에 날려서 물가에서 집중적으로 발아한 후에 성장함에 따라서 자기솎음에 의하여 점차 밀도가 낮아졌다.
선버들의 수령에 따른 기저면적의 변화는 3년까지는 서서히 증가하고 이후에 급속히 증가하여 13년에는 122 m2/ha에 달하였다 (Fig. 2 (c)). 왕버들의 기저면적은 수령 1 - 3년에서 0.3 - 0.4 m2/ha이었고, 이후 급속히 증가하여 13년에 470 m2/ha로 최대값을 보였으며 이후 감소하여 25년에는 50 m2/ha로 낮아졌다.
3.2 상대생장식
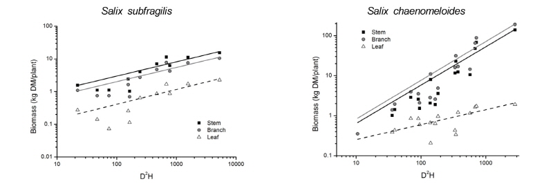
낙동강의 사주와 홍수터에서 선버들과 왕버들의 표준목으로부터 유도한 흉고직경 (D130, cm)과 수고 (H, m)에 따른 줄기, 가지 및 잎의 생물량 (Ws, Wb, Wl, kg DM/plant)의 상대생장식은 0.1% 유의수준에서 유의하였다 (Fig. 3, Table 1). 선버들의 각 부위별 상대생장식은 다음과 같다.
선버들 줄기: log10 Ws = -0.3945 + 0.4348 log10 (D1302 H)
선버들 가지: log10 Wb = -0.5642 + 0.4344 log10 (D1302 H)
선버들 잎: log10 Wl = -1.2941 + 0.4537 log10 (D1302 H)
또한 왕버들의 각 부위별 상대생장식은 다음과 같다.
왕버들 줄기: log10 Ws = -1.1530 + 0.9583 log10 (D1302 H)
왕버들 가지: log10 Wb = -1.0540 + 0.9689 log10 (D1302 H)
왕버들 잎: log10 Wl = -0.9722 + 0.3737 log10 (D1302 H)
한 개체에서 줄기와 가지에서 건물량으로 표시한 생물량은 큰 차가 없었으나, 선버들에서는 가지보다 줄기가 왕버들에서는 줄기보다 가지의 생물량이 다소 많았다 (Fig. 3). 또한 두 식물 모두에서 줄기와 가지의 생물량이 잎보다 많았다. 본 연구에서 추정한 버드나무 속 식물의 상대생장식을 다른 지역에서 것과 비교하면, 낙동강 선버들의 상대생장식에서 기울기 b는 우포늪과 박실지보다 작았다 (Table 2). 또한 낙동강 왕버들의 기울기 b는 우포늪과 비교하였을 때 줄기에서는 비슷하고 가지에서는 높고 잎에서는 낮았다.
3.3 생물량
낙동강에서 선버들의 단위면적당 생물량 (현존량)은 수령 2년에 1,000 kg DM/ha에서 13년에 최대로 증가하였고 그 후에 정체되어 15년에는 19,300 kg DM/ha에 달하였다 (Fig. 4). 각 부위별 생물량도 식물 전체의 생물량과 유사하게 수령에 따라서 변화하였다. 선버들의 단위면적당 생물량은 줄기 > 가지 > 잎의 순으로 컸다. 이곳에서 선버들의 생물량은 우포늪에서 선버들의 평균 생물량인 11,100 kg DM/ha과 유사한 범위에 속하였다 (Kim et al. 2007).
왕버들의 단위면적당 총생물량은 5년에서 40 kg DM/ha으로부터 급속히 증가하여 13년에 1,108,900 kg DM/ha로서 최대로 증가한 후에 25년에 265,700 kg DM/ha으로 감소하였다. 낙동강에서 왕버들의 생물량은 우포늪에서의 42,200 kg DM/ha보다 많았다 (Kim et al. 2007). 왕버들의 부위별 생물량은 가지 > 줄기 > 잎의 순으로 컸다.
4. 결 론
안동댐과 임하댐 하류 낙동강에서는 댐 건설 이후 모래 사주 및 홍수터에서 목본식물인 선버들, 왕버들 등의 버드나무 속 식물이 정착하여 번무하고 있다. 이곳에서 버드나무 속 식물은 많은 종자가 비산하여 적정한 토양 수분이 유지되는 곳에서 발아하여 고밀도로 유식물이 정착하고 있었다. 선버들은 발아한 후 3년, 왕버들은 6년까지 줄기의 밀도가 급격하게 감소하는 자기 솎음이 강하게 일어났다. 정착한 이들 유식물은 급격히 줄기가 신장하여 선버들은 수령 15년에 7.5 m, 왕버들은 수령 13년에 14 m까지 증가하였다. 이곳에서 선버들은 수령 15년생, 왕버들은 수령 25년까지 관찰되어 이들의 수명이 비교적 짧은 것으로 나타났다. 선버들과 왕버들은 많은 종자를 생산하고 적합한 환경에서 고밀도의 유식물을 발생하며 빠르게 생장을 하는 특성으로 인해 모래하천의 잦은 교란 환경에 적응할 수 있을 것으로 생각된다.
우리나라 하천에서 대표적인 수목인 선버들과 왕버들의 생물량을 추정할 있는 상대생장식을 이들의 표준목으로부터 유도하였다. 본 연구에서 유도된 상대생장식을 이용하면 다른 여러 하천에서 버드나무 속 식물의 생물량을 객관적으로 추정할 수 있을 것으로 기대된다. 낙동강의 사주와 홍수터에서 유도한 상대생장식을 이용하여 수령에 따라서 생물량을 추정하였다. 이들 생물량은 생장초기에 급속히 증가하였으며 왕버들이 선버들보다 많았다. 본 연구에서 파악한 결과는 우리나라 하천에서 흔히 나타나는 선버들과 왕버들을 하천 복원의 생물재료로 이용하거나 과도하게 번무한 식생을 관리하는데 중요한 기초자료로 제공될 것으로 기대된다.








