1. 서 론
2. 대상 유역의 특성
3. 수치모형의 적용
3.1 수치모형의 특징
3.2 수치해석 기법
3.3 수치모의 조건
3.4 수치모형의 적용성 검토
4. 결과 및 고찰
4.1 만곡부에서 수심 및 유속의 변화
4.2 만곡부에서 하도의 변화
4.3 유량의 변화에 의한 하도의 변화
5. 결 론
1. 서 론
자연하천은 직선하천으로 이루어진 구간보다는 사행으로 형성된 구간이 많이 있으며, 다양한 수리학적인 형상을 나타내고 있다. 충적하천에서 사행구간은 흐름이 집중되면서 하안침식이 발생하고, 하폭이 증가하며, 사행 외측으로 하도가 이동하기도 한다. 또한 사행하천은 수문학적, 수리학적, 지형학적 및 생태학적인 상호 복잡한 작용에 의하여 다양한 하천의 형상을 창출하고, 역동성을 증가시킨다.
이러한 과학적인 사실 이외에, 홍수로부터 하안 침식과 침수 등 피해를 저감하고 자연친화적으로 하천을 관리하기 위하여 이에 대한 연구가 필요하다.
비록 사행하천에 대한 많은 연구가 수행되었지만, 사행하천에서 사행의 변화 과정과 수리학적인 변화 과정은 많은 부분이 밝혀지지 않은 상태로 있다. 특히, 급만곡부에서 사행의 곡률에 의하여 만곡부 외측에서 형성되는 2차류와 재순환 형성, 만곡부 내측에서 수평적으로 발생하는 순환 흐름은 사행이 작거나 완만한 하천에서 변화와 많이 다르다 (Hickin 1978, Nanson 2010, Blanckaert 2011). 급만곡 내측에서 발생하는 흐름의 분리는 흐름과 유사의 상호 작용에 의하여 크게 영향을 받으며, 만곡부 외측에서 세굴심을 증가시키고, 유속을 증가시킨다 (Blanckeart 2011). 이러한 흐름의 구조는 하상 전단응력 분포, 하안 침식과 사행의 이동, 만곡부에서 유사의 입도분급 현상을 만들어 내는 데 많은 영향을 준다. Engel and Rhoads (2016)는 만곡부에서 하상토의 입도 분포는 하상전단응력의 공간적 분포 크기와 일치하는 사실을 현장 조사를 통하여 제시하였다. 그러나 이러한 특성은 소규모 실내실험과 현장조사를 통하여 제시되었으나, 규모가 큰 실제하천에서 조사되지 않았다. 따라서 본 연구에서는 사주의 거동(Jang and Shimizu 2005, Kang et al. 2016), 수리구조물에 의한 하상변동 (Lee and Jang. 2016), 하도식생에 의한 지형변화(Jang and Shimizu 2005, Iwasaki et al. 2016, Schuurman et al. 2016)를 예측할 수 있는 2차원 수치모형인 Nasy2DH를 이용하여 모래로 구성된 내성천을 대상으로 급만곡부에서 유량의 변화에 의한 흐름의 공간적인 분포 특성과 하상고의 변화 과정을 분석하였다.
하상은 모래로 구성되어 있으며, 하폭 대 수심 비는 상대적으로 크고, 급만곡부가 형성되어 있으므로, 유량 변화에 의한 수리학적 변화와 하도의 지형변화가 다양하게 나타내는 역동적인 특성이 있다.
2. 대상 유역의 특성
본 연구에서는 낙동강 제 1 지류인 내성천 상류에 위치하고 있는 영주댐에서 4 km 하류인 서천이 합류되는 지점에서부터 하류로 6 km 구간에서 댐에 의한 하류 하천의 변화를 2차원 수치모형을 이용하여 모의 하였다 (Fig. 1). 내성천은 모래하천으로 구성되어 있으며, 댐 건설에 의하여 하류로 공급되는 유사가 감소되면, 하상이 저하되고 하상토 크기가 굵어지며, 저수로의 역동성이 감소되는 등 하도의 변화가 예상되고 있으며, 이를 저감시키기 위하여 유사공급 방안 검토되고 있다 (Kang et al. 2016).
Fig. 2는 영주댐 직하류에 위치한 수도리 지구에서 1971년부터 2009년까지 저수로의 변화과정을 보여주고 있다. 좌안에서 서천이 합류되고 있으며, 흐름이 좌안에 집중되고 있으며, 1971년부터 2009년까지 만곡부에서 저수로의 이동은 거의 없다. 만곡부가 끝나는 직선구간에서는 저수로 이동이 활발하며, 좌안과 우안으로 번갈아 가며 사주가 발달하였다. 그러나 상류의 만곡부에 영향을 받아서 하류로 이동하지 않는 고정사주이다. 또한 이 구간에서 저수로의 분열과 합류가 지속적으로 발생하고 있는 것을 보여주고 있다. 본 연구구간에서 1971년부터 2009년까지 저수로폭 대 하폭의 비는 감소하는 경향을 보여주고 있다 (Fig. 3). 저수로 폭의 감소는 유량의 변화, 하상고의 변화, 유입유사량의 변화, 저수로의 변화 등과 관련이 있으며, 하도의 역동성 영향을 준다.
3. 수치모형의 적용
3.1 수치모형의 특징
Nays2DH 모형은 iRIC 모형에 탑재되어 있으며, 직교좌표계를 경계적합좌표계로 변환하여 형상이 복잡한 하천을 모의하는데 적합하도록 하였다. 본 모형은 하천의 지형 및 수리구조물을 고려한 2차원 흐름특성을 계산하고, 하안침식과 식생의 영향을 고려한 하도 변화와 유사의 분급 현상을 모의할 수 있다.
본 모형은 2차원 흐름 거동을 모의하기 위하여 흐름의 지배방정식은 수심 적분된 연속 방정식 및 운동량 방정식을 이용하였다. 직교좌표계에서 경계적합좌표계로 좌표 변환한 지배방정식은 다음과 같다.
연속방정식
(Eq. 1)
운동량방정식



(Eq. 2)



(Eq. 3)
여기서
와
은 일반좌표계에서 공간 좌표 성분이며,
와 는
와
방향의 유속이다.
는 수위 (
)이고,
는 수심 (m)이며,
는 하상고 (m)이다.
는 단위체적당 식생에 의해 차단되는 단면적이며,
는 식생에 의한 항력계수이다.
는 하상마찰계수이고,
은 Manning의 조도계수이며,
는 Jacobian이다. 계수
는 다음과 같다.

(Eq. 4)

(Eq. 5)
위 식의 운동량 방정식에서 확산항
와
는 다음과 같이 표현할 수 있다.
(Eq. 6)
(Eq. 7)
여기서
와
는
와
에 대한 확산항이며,
와
는 일반좌표계에서 격자의 크기와 국소격자의 크기 비를 나타낸다 (Jang and Shimizu 2005).
Nays2D모형에서는 난류에 대한 문제를 해결하기 위하여 zero 방정식을 적용하였다. 하상마찰속도와 수심 지배적 운동량 이송을 고려한 와동점성계수
는 다음과 같다.
(Eq. 8)
여기서
는 비례상수로서 실험에 따라 수직방향의 운동량이송에 관련된 값으로 약 0.07이다. 일반좌표계에서 2차원 유사의 연속방정식은 다음과 같다.
(Eq. 9)
여기서
는 하상고이고,
는 하상재료의 공극률이다.
와
는
와
방향에 대한 단위폭당 소류사량이며,
는 Jacobian 이다. 유사량은 Ashida and Michiue (1972)의 공식으로 계산하였으며, 다음과 같다.
(Eq. 10)
여기서
는 소류사량이며,
는 수중에서 하상토의 비중이다.
는 중력가속도이고,
는 하상토의 평균입경이다.
는 무차원 소류력이며,
는 무차원 한계 소류력이다.
는 마찰속도이고,
는 한계 마찰속도이다.
3.2 수치해석 기법
수치해석 기법으로는 엇갈린 격자 (staggered grid) 상에서 이류항은 CIP (cubic interpolated pseudoparticle)법을 적용하였으며, 확산항에는 중앙차분법을 적용하였다. 경계조건으로 상류에는 유량과 유사량을 설정하였으며, 하류에는 등류수심을 설정하였다. 측벽에서는 측벽에 유속이 없는 것으로 가정하여 비활동 조건 (no slip)을 적용하였다 (Jang and Shimizu 2005).
3.3 수치모의 조건
댐 하류하천에서 하도의 지형변화와 하상보호공의 효과를 검토하기 위하여 2차원수치모형을 적용하였으며, 수치모의를 위한 수리학적 조건은 Table 1에 설명되어 있다. 상류에서 유입되는 유량과 유사량의 비는 Table 1에서 제시된 수치모의 시나리오에 따라 결정하였다. 특히, 댐 하류 하천에서 하도의 변화를 파악하기 위해서, 댐에 의한 유사의 포착율을 고려하여 댐 하류하천에 공급되는 유사량을 변화시켰으며, 지류인 서천의 영향을 고려하기 위해서는 본류의 면적비로 산출된 서천에서 유입되는 유사량과 댐 하류하천에서 유입되는 유사량을 고려하여 분석하였다.
하도 구간은 6 km 이며, 하상토 경사는 0.001이다. 하상토의 평균입경은 1.61 mm이며, 하상토의 표준편차는 3.03이다. 하상의 거친 정도를 나타내며, 흐름의 상태를 나타내는 Manning의 n 값은 0.031을 적용하였다. 하도의 변화를 파악하기 위하여 강우의 지속시간과 댐하류로 방류할 수 있는 방류량과 댐의 운영 시간을 고려하여 48 시간 동안 모의하였다. 수치모의 계산을 위한 계산 시간 간격은 수치분산을 피하고 안정적인 해를 얻으며, 정교한 하상변동 결과를 도출할 수 있도록 0.01 초를 설정하였다.
안정적인 수치모의 결과를 도출하기 위하여 계산 격자를 구성하는 것은 중요하다. 일반적으로 격자는 흐름방향의 격자크기 대 흐름의 횡방향 격자크기의 비가 2배에서 10배정도 될 때 안정적인 결과를 나타낸다. 본 연구에서는 하상경사가 상대적으로 급하고 사행이 많이 형성된 지형적인 영향을 고려하여 흐름방향의 격자크기 대 흐름의 횡방향 격자 크기의 비를 2배로 설정하였다. 흐름방향으로 격자 크기 (Dx)는 0.2 m 이며, 흐름의 횡방향 격자 크기 (Dy)는 0.1 m로 하였다 (Table 2). Fig. 4는 수치모의를 위한 계산 격자를 보여주고 있다.
3.4 수치모형의 적용성 검토
수치모형을 적용하기 위해서 모형을 적용성을 검토해야 한다. Kang et al. (2016)은 Cui et al. (2003)의 실내실험 결과를 이용하여 Nays 2DH 모형의 적용성을 검토한 후에 영주댐 하류 하천에서 유사공급에 의한 하도의 지형변화와 흐름 특성을 분석하였다. 영주댐 하류에서 토사가 공급되었을 때, 하류로 이송 확산되어가는 과정을 잘 모의하였다. 특히 토사가 공급되는 댐 직하류 만곡부에서 하도 변화 과정과 흐름 특성을 잘 모의하였다. 따라서 사행하천에서 흐름 및 하도변화 과정을 잘 모의한 Nays2DH 모형을 본 연구에서 직접 적용하였다.
4. 결과 및 고찰
4.1 만곡부에서 수심 및 유속의 변화
급만곡부에서 유량의 변화에 의한 하도의 변화와 수리학적 특성을 분석하였다. Fig. 5는 서천 합류 후에 수심 변화를 보여주고 있다. 서천이 합류된 후, 만곡부 내측으로 수심이 0.5 m 이상 깊게 형성되고 있다. 만곡부를 통과 된 후에 하폭이 좁은 구간에서 만곡부 외측으로 수심이 깊게 형성되고 있다. 만곡부에서 하폭이 넓은 구간에서 점사주가 형성된 만곡부 내측에서는 수심이 얕게 형성되었으며, 만곡부 외측에서는 0.5 m 보다 깊게 형성되었다. 연속적으로 사행이 형성되면서 번갈아 가며 수심이 깊은 곳과 얕은 곳이 형성되었다. 직선이 형성된 하류 구간에서 흐름이 좌안에서 우안으로 치우게 되며, 흐름은 우안에 집중되었다 (Fig. 6). 이러한 원인은 하상고가 높고 하도 단면이 평평한 지형적인 특성에 의하여 변하게 된 것으로 판단된다. 하류의 만곡부 구간에서 흐름은 만곡부 외측으로 집중되었다 (Fig. 6). 사행이 형성된 구간에서 만곡부 외측에 수심이 깊으며 수충부를 형성하고 있다. 이러한 특성은 사행하천에서 강한 2차류의 영향을 받아 형성된 것이다.
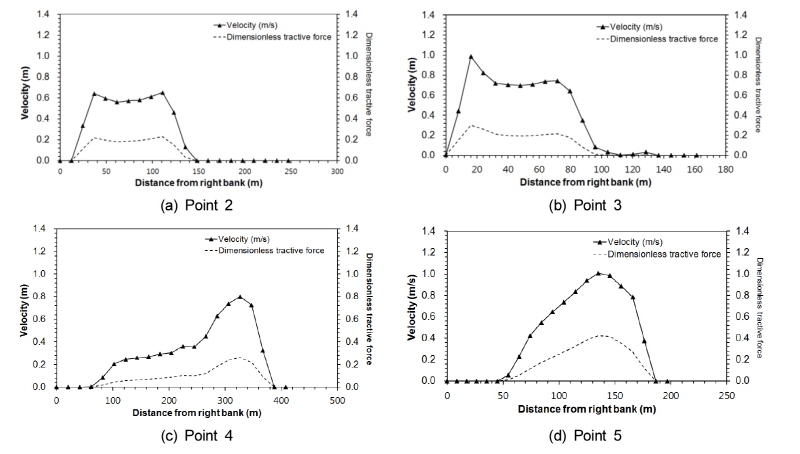
만곡부의 유속 분포를 정량적으로 파악하기 위하여 주요지점에서 횡방향 유속 분포와 하상변동에 영향을 미치는 무차원소류력을 파악하였다 (Fig. 7). Fig. 2에서 보여준 2지점에서 흐름은 만곡부 우안으로 집중되어 흐르고 있으며, 무차원소류력도 유속이 집중된 부분에 크게 나타나고 있다 (Fig. 7 (a)). 그러나 3지점은 하폭이 감소하고 급만곡부가 형성되어 있으며, 흐름이 집중되는 구간으로써, 유속은 2지점보다 우안으로 집중되었다. 이것은 강한 2차류에 의하여 발달한 것이다. 4지점에서는 하폭이 넓고 만곡부가 형성된 구간이며, 흐름이 좌안으로 편향되었다. 5지점은 흐름으로 하도의 중앙에 형성된 구간이며, 흐름이 하도 중앙에 집중되었으며, 이 지점에 무차원소류력도 증가 되었다.
4.2 만곡부에서 하도의 변화
Fig. 8은 서천 합류 후 구간에 대하여 수치모의를 통한 하도 변화를 보여주고 있다. 수도리를 통과한 직후 하폭이 좁아지는 만곡부에서 흐름이 집중되고 강한 2차류에 의하여 하상이 깊게 세굴되었다. 만곡부가 끝나고 직선하천 구간에서 하폭이 넓어지면서 하상고가 퇴적되었다. 시간이 증가하면서 하상고가 퇴적되는 면적이 넓어졌다. 또한 하류에서 사행이 시작되는 구간에서 수충부가 형성되면서 하상이 깊게 세굴 되었다.
유량이 증가하면 만곡부에서 외측에서 깊게 세굴되었으며, 만곡부 내측에서는 하상고가 많이 상승되었으며 (Fig. 8 (b)), 하상고 저하 및 상승의 변화량이 증가하며, 하상의 기복이 증가하였다. 이것은 유량의 증가에 의하여 하도의 역동성을 증가시키기 때문으로 판단된다.
Fig. 9는 만곡부에서 하상변동을 정량적으로 파악하기 위하여 주요지점에서 횡방향 유속 분포와 하상고 변화를 파악하였다. 3지점은 우안 측벽에서 20 m 지점은 하상고가 크게 저하되고 있으나, 유속은 크지 않다. 유속이 증가하는 구간에는 하상고가 덜 저하되고 있다 (Fig. 9 (b)). 이것은 강한 2차류에 의하여 유속과 하상고 변화가 일치하지 않는 것이다. 4지점도 좌안에서 흐름이 집중되지만 하상고가 상승하는 현상이 나타나며, 흐름의 분포와 하상고의 변화가 일치하지 않는 현상이 나타난다. 이러한 현상은 Blanckaert (2011)의 실내실험 결과와 일치한다. 그러나 5지점은 직선구간이며, 유속이 큰 지점에서 하상이 저하되며, 흐름의 분포와 하상고의 변화가 일치된다 (Fig. 9 (d)). 이 지점은 2차류의 영향을 거의 받지 않기 때문이다.
4.3 유량의 변화에 의한 하도의 변화
유량의 변화에 의한 만곡부에서 하도의 변화를 파악하기 위하여 흐름의 분포와 하상변화를 파악하였다 (Fig. 10). 유량이 증가함에 따라, 전체적으로 유속은 증가하며, 하상이 저하되고 있다. 특히, 우안 측벽에서 하상고 크게 저하되고 있다. 횡방향 무차원소류력은 유량이 증가함에 따라 증가한다 (Fig. 11). 하상고는 유량의 증가에 따라 감소한다. 무차원소류력이 크지 않은 우안 측벽에서 하상이 크게 저하되며, 우안에서 좌안으로 20 m 지점으로 가면서 유속과 무차원소류력이 증가한다. 그러나 하상고 저하는 감소한다. 20 m 지점 이후에서는 유속과 무차원소류력이 감소하면서 하상고 저하는 증가하며, 유속과 무차원소류력의 변화에 대한 하상고의 변화가 불일치되고 있다. 이는 Blanckaert (2011)의 실험결과와 Engel and Rhoads (2016)의 현장조사 결과와 잘 일치한다. 즉, 유량이 증가함에 따라, 하상고는 크게 저하되며, 2차류의 영향이 더 크게 받기 때문으로 판단된다.
5. 결 론
본 연구에서 내성천 만곡부에서 유량의 변화에 의한 흐름 및 하도 변화를 2차원 수치모형을 이용하여 분석하였다. 만곡부를 통과 된 후에 하폭이 좁은 구간에서 만곡부 외측으로 수심이 깊게 형성되었다. 하폭이 넓은 구간에서는 점사주가 형성된 만곡부 내측에서는 수심이 얕게 형성되었다. 흐름이 집중되는 만곡부 외측에서는 수심이 깊게 형성되었다. 직선이 형성된 하류 구간에서 흐름은 하도 중앙에 집중되었다. 하류의 만곡부 구간에서 흐름은 만곡부 외측으로 집중되었다. 사행이 형성된 구간에서 만곡부 외측에 수심이 깊으며 수충부를 형성하고 있다. 연속적으로 사행이 형성되면서 번갈아 가며 수심이 깊은 곳과 얕은 곳이 형성되었다. 이러한 특성은 사행하천에서 강한 2차류의 영향을 받아 형성된 것이다. 무차원소류력도 유속이 집중된 부분에 크게 나타났다. 그러나 하폭이 감소하고 급만곡부가 형성된 곳에서는 강한 2차류의 영향을 받으며, 유속과 무차원소류력의 변화에 대한 하상고 변화가 불일치 되었다. 유량이 증가함에 따라 2차류의 영향을 크게 받아서 이러한 특성이 나타났다.
향후에는 연속적으로 발달한 사행하천에서 하상전단응력의 공간적인 분포와 유사의 분급 현상의 상호 관계를 분석하고, 여울과 웅덩이의 형성과정을 정량적으로 해석해야 할 것이다.















