1. 서 론
2. 연구 방법
2.1 대상하천
2.2 안정하도 평가
2.3 물리적 교란개선 평가
2.4 물리서식처
2.5 하상변동 분석
3. 결과 및 논의
3.1 안정하도 평가 및 설계
3.2 물리적 교란개선 평가 결과
3.3 물리적서식처 평가 결과
3.4 수리특성과 물리서식처의 변화
4. 결 론
1. 서 론
최근의 하천설계는 하천의 건강성과 하도의 안정성이 복합적으로 어우러진 다목표, 다기준의 하천설계를 지향하고 있다. 하천정비의 고유목적인 이수·치수를 위한 하천사업과 하천의 복원에 의한 하천시설물의 도입에 있어 안정하도 개념의 하도관리 방안이 제시되고 있다 (Soar and Thorne 2001). 안정하도란 침식과 퇴적이 지속적으로 변화하지만 장기적으로 평형을 이루는 하천을 의미한다 (Ji and Jang 2015). 안정하도 설계를 위한 방법은 해석적인 평형하상 이론 혹은 경험적인 평형하상 이론에 기초하여 여러 연구자들에 의해 제안되었으며, Copeland 방법 (Copeland 1994)이 안정하도 평가 및 설계에 가장 널리 이용되고 있다 (Ji and Jang 2015). 그러나 안정하도 설계를 위한 인위적인 하천환경의 변화는 하천의 물리적 형태를 변화시키며, 주수로 내에서의 수리적 특성과 하천단면의 기하학적 특성의 변화를 가져오게 된다. 이는 하천의 물리적 교란으로 발생되며, 수리특성과 물리서식처의 변화를 가져와 하천의 생태·환경적 변화를 초래해 하천의 건강성을 악화시킬 우려가 있다. 따라서 하천의 건강성과 안정성을 확보하기 위해 하도내 어류서식처, 여울과 소, 홍수터, 식생대 등 생태적인 하천환경을 고려한 하천설계 방안의 마련이 필요하다.
국외에서는 지역적 특색에 맞는 하천의 물리적 교란평가 기법을 자체적으로 개발하여 하천에 대한 건강성과 변화양상을 정량적으로 분석하고 있으며, 하천사업의 방향을 설정하고 문제점을 개선하기 위한 노력을 기울이고 있다 (USDA 1998, Environment Australia 2000, LAWA 2000, CRAES 2012). 최근에는 하천의 인위적 교란에 따른 하천의 유형별 지형변화에 대한 체계적인 분석기법이 제시되고 있으며 (Ministerium für Umwelt 2005, Hesselink et al. 2006, Choi and Lee 2014), 하천관리를 위한 물리적 하천교란의 분석 방법이 제시되고 있다 (Jo 1997, Stein et al. 2002, Choi et al. 2015). 더불어 물리적 교란과 생물상 변화 및 서식처 교란 등을 규명하기 위한 연구가 현장조사와 수치모의 방법 등을 이용하여 분석되고 있다 (Scott et al. 2005, Choi et al. 2010, Jia and Chen 2013, Choi and Lee 2015).
따라서 본 연구에서는 하천의 안정성과 건강성을 복합적으로 고려하기 위해 안정하도 설계와 물리·생물학적 교란 양상을 분석하였다. 안정하도 설계를 위한 시설물의 도입·개선과 준설에 따른 하천의 물리적 교란을 정량적으로 평가하였으며, 수리기하학적 변화에 따른 어류의 물리서식처를 분석하여 하천의 건강성과 하도의 안정성을 제고할 수 있는 최적의 하천설계 방안을 도출하였다.
2. 연구 방법
2.1 대상하천
본 연구는 Lee and Choi (2016)의 연구를 기본바탕으로 추가적인 case의 도입을 통해 결과를 비교하였다. 기존 연구에서 수행된 대상하천과 연구방법은 동일하며, 준설을 통한 안정하도의 설계와 그에 따른 수리·하상의 변동 특성과 함께 물리적 교란 및 어류 서식적합도의 변화를 분석하였다.
대상하천은 원주천으로 총 연장은 25.66 km이며, 유역면적은 152.92 km2, 하상경사는 1/320 (하류), 1/62 (상류)이다. 원주천의 평균입경은 19.9 mm이며, 조도계수는 0.03으로 모래와 자갈하상의 특성을 나타낸다.
본 연구에서는 섬강 합류부로부터 상류로 16 km 구간을 대상으로 하였다 (Fig. 1). 원주천은 도시의 개발과 발전에 따라 기능을 상실한 하천시설물이 증가하고 있다. 그에 따라 지속적인 생태하천 조성사업으로 하천의 상‧하류간 연결성 회복을 위해 취입보 하류에 경사제어형 어도를 설치하고 있다. 그러나 하도의 안정성을 고려하지 않은 상태에서의 인위적인 하천사업은 장기적으로 하상변동과 하천단면의 기하학적 특성을 변화시킨다. 또한 기하학적 변화는 수리특성의 변화로 물리적 교란과 함께 생물상의 서식처 변화를 초래한다. 따라서 원주천의 하천사업은 하천시설물의 개선 또는 하도의 준설을 통한 안정하도의 설계와 함께 물리적 교란 및 서식처의 개선을 위한 적절한 계획이 마련되어야 한다.
2.2 안정하도 평가
안정하도 평가는 안정하도 단면의 계산을 통한 수심 또는 하폭과 안정경사관계곡선을 산정함에 따라 현재의 하도경사와 비교하여 평가한다. 안정하도 평가를 위해 사용되는 변수로는 하도형성유량으로 지점에서의 만제유량을 사용하며, 하상토의 비중, 사면경사, 흐름저항계수, 하상토 입경, 유입유사농도가 사용된다. 최종적으로 4개의 유사이송공식 중 한 가지를 선택하여 안정경사관계곡선식을 산정하게 된다. Ji and Jang (2015)은 원주천에 대한 안정하도 평가 및 설계를 위해 Ackers and White (1973), Brownlie (1981), Meyer-Peter and Müller (1948)과 Engelund-Hansen (1967) 공식을 이용하였다. 하폭의 변화가 제한된 조건에서의 안정경사를 분석한 결과 Engelund-Hansen 공식이 현재 단면과 가장 큰 차이를 나타냈다.
따라서 본 연구에서는 안정하도 설계에 따른 물리적 교란이 최대로 발생할 수 있는 Engelund-Hansen 공식을 적용하였다. 대상하천 16 km를 총 20개 구간으로 분할하여 각 구간의 안정경사를 평가하였으며, 수심에 해당하는 안정경사를 분석하였다. 안정경사에 따른 안정/불안정 판단에서는 안정경사 허용범위를 정의하였으며, 허용범위 내에 속하는 경사에서 안정을 판단하였다. 적용한 허용범위는 하천에서 시설물의 안정에 있어 유사의 퇴적 보다는 침식에서 그 피해가 가중될 것이라고 판단하여 안정경사 보다 경사가 급한 경우에는 10%의 허용범위를 적용하였으며, 안정경사 보다 완경사인 경우에는 50%의 허용범위를 적용하였다 (Lee and Choi 2016).
2.3 물리적 교란개선 평가
물리적 교란개선 평가 (Physical disturbance improve-ment evaluation, PDIE)는 Ecoriver21의 하천복원통합매뉴얼에서 제시한 물리적 교란 평가 방법을 개선한 방법으로 Choi et al. (2015)이 제시한 방법을 이용하였다. PDIE는 HEC-RAS 수치모의 결과와 현장데이터를 이용하여 하상서식환경, 하상재료, 수심상황, 유사퇴적, 하도흐름상태, 하도정비상태, 여울출현빈도, 하안안정성, 식생피복, 하반림 등 총 10개 항목에 대한 교란 양상을 평가한다. 각 항목은 0점 - 20점으로 총 200으로 평가되며, 200 - 160은 우수, 160 - 120은 양호, 120 - 80은 보통, 80미만은 빈약한 교란개선 상태로 평가된다. 여기서 평가 점수는 물리적 교란의 발생 정도를 나타내는 정량적 수치가 아니며, 대상구간에서의 물리적 교란개선 상태를 나타내는 수치이다. 즉 PDIE 점수가 증가함은 대상구간에서 하천의 건강성이 좋아졌음을 의미한다 (Lee and Choi 2016).
2.4 물리서식처 평가
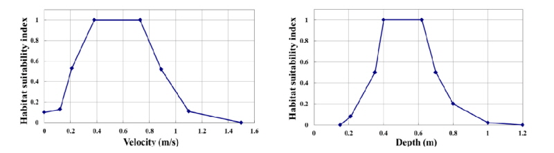
물리서식처의 분석을 위해 PHABSIM 모형을 이용하여 서식적합도 (Habitat suitability, HS)와 가중가용면적 (Weighted usable area, WUA)을 분석하였다. 타깃어종은 원주천 중류에 우점종으로 서식하고 있는 참갈겨니를 선정하였다. 타깃어종을 우점종으로 선택함은 개체수가 많은 어종의 HS 분석 결과가 신뢰성을 높일 수 있기 때문이다 (Bovee et al. 1998). 서식적합도 분석은 산란기, 치어기, 성어기 각각의 성장 단계별 분석이 필요하지만 서식처 수리조건이 산란기의 경우 대부분 4 - 5월로 편중되어 있고 치어기의 경우 여름 - 가을로 그 기간이 짧으며, 성어기는 봄에서 가을로 동절기를 제외한 대부분의 연중이라 할 수 있으므로 성어의 수리조건을 기준으로 서식적합도를 분석하였다. 성어기 참갈겨니의 수리조건에 따른 서식적합지수 (Habitat suitability index, HSI)는 Fig. 2와 같으며, 수심 0.15 - 1.2 m와 유속 0 - 1.5 m/s의 범위에서 HS가 산정된다. 물리서식처의 분석을 위한 유량규모는 원주천의 평수량인 1.596 m3/s의 범위에서 HS와 WUA를 분석하였다 (Lee and Choi 2016).
2.5 하상변동 분석
본 연구에서는 현재 상태의 원주천에서 안정하도 설계에 따른 인위적 교란과 장기하상변동 발생으로 나타나는 물리적 교란과 물리서식처의 변화를 현상태와 비교‧분석하였다. 하상변동 수치모의는 1차원 수리, 하상변동 해석 프로그램인 HEC-RAS를 이용하였으며, 수치모의 결과를 통한 안정하도 평가와 PDIE를 수행하였다. 수치모의를 위해 사용된 하상자료는 2014년 실측된 자료를 이용하였으며, 유량은 국가수자원관리 종합정보시스템에서 제공하는 2014년의 1년간 실측된 일 평균유량 자료를 이용하였다. 하상재료와 유사량은 원주천 하천기본계획 (MOCT 1999 )의 자료를 이용하였다. 원주천의 대표입경은 19.9 mm로 모래와 자갈하천의 특성을 나타내며, 조도계수는 0.03이다 (Lee and Choi 2016). 원주천은 지역적 특성상 상류와 하류의 하상경사가 큰 차이를 나타내며, 그에 따라 하상재료의 구성도 모래 하천의 특성을 나타내는 하류부와 자갈과 호박돌이 주로 나타나는 상류부로 구분된다. 따라서 본 연구에서는 Yang (2003)에서 제시한 바와 같이 HEC- RAS를 이용한 하상변동 모의 시 모래와 자갈하상에서 유사이송 모의에 가장 적합한 것으로 나타난 Yang (1973) 공식을 이용하여 하상변동 양상을 분석하였다.
3. 결과 및 논의
3.1 안정하도 평가 및 설계
Fig. 3은 원주천의 대상구간 16 km에 대한 최심하상고와 기존 하천시설물 (취입보 7개)의 위치를 나타낸다. 대상구간을 20개 지점으로 분할하여 지점별 하상경사와 Engelund-Hansen 공식을 이용하여 계산된 안정하상경사를 비교하였으며, 허용범위에 설정에 따른 하도의 안정/불안정을 평가하였다. Table 1은 지점별 하상경사, 안정하상경사, 허용범위 및 안정/불안정 판단결과를 나타낸다. 대상구간의 안정하도 평가결과 총 20개 지점 중 17개 지점에서 안정상태로 나타났으며, 하류 2개 지점과 상류 1개 지점의 총 3개 지점에서 불안정 하도로 평가되었다.
불안정 하도의 경우 침식 또는 퇴적이 균형을 이루지 않는 하도로 시간의 경과에 따른 하상변동의 지속적인 발생으로 안정하도가 자연적으로 형성될 수도 있으나, 불안정한 상태에서 상·하류의 기 형성된 안정하도에 영향을 주어 불안정 하도 구간이 증가하는 현상이 발생하기도 한다. 따라서 인위적인 하천정비의 실행으로 적절한 안정하상경사의 설계를 위해 하천시설물을 통한 안정하도를 유도하는 것이 안정하도 설계를 위해 중요한 요소이다. 따라서 본 연구에서는 하천시설물 설치 또는 불안정 하도 주변의 기존 시설물을 개선/철거하는 방법과 하도 준설 후 하상보호공 설치를 통한 안정하상경사 만족시켜 안정하도를 설계 하였다.
하천시설물에 의한 안정하도 설계는 Lee and Choi (2016)가 제시한 시나리오를 이용하였다. 기존 연구에서는 원주천의 안정하도 설계를 위한 하천시설물의 도입, 개선, 철거 시나리오로 2번, 5번 19번 지점의 낙차공 설치와 18번 지점의 기존 횡단시설물의 철거이다.
아울러 불안정 구간으로 나타난 2번, 5번 19번 지점의 준설과 하상보호공 설치를 통한 안정하도 설계 결과를 추가적으로 분석하였다. 하도 준설 깊이는 상‧하류 지점의 안정하도 평가 결과가 변하지 않는 안정하상경사 허용범위 내에서 결정하였다.
3.2 물리적 교란개선 평가 결과
PDIE는 400 m 구간씩 총 40개 구간에 대한 평가를 실시하였다. 원주천 대상구간의 현재 상태에 대한 PDIE 결과는 Table 2와 같다. 구간별로 최저 101점 (No. 9)에서 최대 125점 (No. 12)으로 나타났으며, 대상구간의 평균 PDIE 결과는 112.17 점으로 현재의 원주천 대상구간은 양호한 상태인 것으로 나타났다.
안정하도 평가결과 불안정으로 나타난 Table 1의 No. 2, 5, 19번 구간은 Table 2의 No. 3, 9, 38번 구간으로 PDIE 결과에서도 최저 점수가 나타남을 확인하였다.
아울러 원주천 대상구간에서는 하천시설물이 설치된 구간에서 전반적으로 낮은 PDIE 결과가 나타났으며, 하천의 건강성 증대를 위해 하천시설물의 개선이 필요함을 확인하였다.
동일한 방법으로 현재 상태에서 인위적인 변화 없이 5년이 경과한 후와 안정하도 설계에 따른 5년경과 후에 대한 PDIE를 수행하였다. 5년 후의 평가는 HEC-RAS를 이용한 하상변동 모의 결과를 이용하였다. Table 3은 본 연구에서 수행된 cases별 주요 내용을 나타낸다. Case 1은 원주천 대상구간의 현재상태이며, case 2는 현재상태에서 인위적인 교란이 없이 5년 동안의 하상변동이 발생한 후의 상태이다. Case 3은 안정하도 설계를 위해 새로운 하천시설물을 도입하거나 기 설치된 하천시설물의 개선·철거에 따른 인위적 교란 이후 5년 동안의 하상변동이 발생된 상태이다. Case 4는 하도의 준설과 하상보호공 설치를 통한 안정하도 설계 이후 5년 동안의 하상변동이 발생된 상태의 경우를 나타낸다.
Fig. 4(a)는 하천시설물 도입‧개선을 통한 안정하도 설계 후의 PDIE 결과로 case 1과 case 2 그리고 case 3의 결과를 비교한 그림이다. 현재 상태에서 인위적인 변화가 없이 5년이 경과한 case 2의 PDIE는 116.15로 현재 상태보다 3.98점이 증가하였으며, 증가범위는 대상구간 전 구간에 걸쳐 고르게 증가하였다. 시설물을 도입한 case 3의 평균 PDIE 점수는 117.53점으로 현재 상태보다 5.36점이 증가하였으며, 양호한 상태로 평가되었다.
Case 2와 case 3의 비교 결과 대상구간의 하류로부터 상류로 2.7 km 지점 (No. 7)까지는 case 3의 PDIE 결과가 평균 7.14점이 높게 나타났으며, 2.7 km 이후부터는 case 2와 case 3의 물리적 교란이 동일하게 나타나는 것을 확인하였다. 이는 안정하도 설계 시 하류 구간의 2번과 5번 지점에 도입된 낙차공에 따라 발생된 물리적 교란으로 판단된다. 따라서 원주천 대상구간의 하류지점에서는 하천시설물의 도입을 통해 안정하도 설계와 더불어 물리적 교란 상태가 개선될 수 있음을 확인하였다.
Fig. 4(b)는 준설과 하상보호공 설치를 통한 안정하도 설계 후의 PDIE 결과로 case 1과 case 2 그리고 case 4의 결과를 비교한 그림이다. Case 4의 평균 PDIE 점수는 116.50점으로 양호한 상태를 나타내었으며, 현재 상태보다 4.32점이 증가하는 것으로 나타났다. Case 2와 case 4의 비교 결과 준설을 통한 안정하도 설계에 따른 물리적 교란의 발생은 하도 전반에 걸쳐 발생하였으며, 상류 지점에서의 물리적 교란개선 상태가 좋아지는 것으로 나타났다. 따라서 원주천 대산구간의 상류지점에서는 준설 및 하상보호공 설치를 통해 안정하도 설계와 더불어 물리적 교란 상태가 개선될 수 있음을 확인하였다.
3.3 물리적서식처 평가 결과
원주천 최우점종인 참갈겨니의 물리서식처 분석은 대상구간을 20개 구간으로 분할하여 구간별 HS와 WUA를 분석하였으며, 각 구간의 HS와 WUA를 평균하여 대상구간의 평균 HS와 WUA로 정의하였다. Table 4는 각 cases별 평균 HS와 WUA를 나타낸다. 현재 상태를 나타내는 case 1의 HS는 0.16, WUA는 347.68 m2으로 나타났다. 원주천 대상구간에서는 현재 상태에서 인위적 변화가 없을 시 (case 2) HS는 0.14, WUA는 316.15 m2으로 약 9.1%가 감소하는 것으로 나타났다. 하천시설물의 도입‧개선을 통한 안정하도 설계 시 (case 3)에도 HS는 0.14, WUA는 313.37 m2으로 약 9.9% 감소하였다. 그러나 하도 준설과 하상보호공 설치를 통한 안정하도 설계 (case 4)의 경우 5년경과 후의 변화된 하상에 따른 HS와 WUA는 현재 상태와 유사한 0.16과 332.14 m2으로 나타났다.
안정하도 설계에 따른 HS와 WUA를 cases별로 비교한 결과는 Fig. 5와 같이 나타났다. Case 2와 case 3의 비교 결과 HS와 WUA는 유사하게 나타났으며, case 2와 case 3이 유사하게 감소하는 경향을 나타내기 때문에 현재 상태보의 HS와 WUA의 감소는 하천시설물의 도입‧개선에 따른 결과가 아님을 확인하였다.
Case 4의 준설과 하상보호공 설치를 통한 안정하도 설계 시에서는 대상구간의 상류지점 (12 km 지점 이상으로 상류부)에서 WUA가 case 2 보다 31.8%가량 증가하며, 현재 상태와 유사한 것으로 나타났다. 이는 준설 및 하상보호공 설치에 따른 영향으로 대상구간에서의 수리특성의 변화로 참갈겨니의 서식처 감소를 방지할 수 있음을 나타낸다.
즉, 원주천 대상구간의 하류지점에서는 하천시설물의 도입을 통한 안정하도 설계와 함께 상류지점에서는 준설과 하상보호공 설치에 따른 안정하도의 설계 방법을 함께 도입함으로써 안정하도 설계와 더불어 하류지점의 물리적 교란개선과 상류지점의 물리적 교란개선 및 물리서식적합도의 개선이 복합적으로 가능함을 확인하였다.
Fig. 6은 case 2와 case 4에 따른 하상변동 양상을 분석한 결과이다. Case 2의 하상변동 양상은 약 11 km 지점에서부터 상류부로 활발하게 나타났으나, Case 4에 의한 대상구간 상류부의 안정하도 설계 시에는 발생 가능한 하상변동을 약 54% 이상 저감시키는 것으로 확인되었다. 따라서 준설은 하상보호공 설치로 인한 하상변동의 방지를 통해 상류부의 HS와 WUA는 Fig. 6에서와 같이 현재상태의 결과와 유사하게 나타난 것으로 판단된다.
3.4 수리특성과 물리서식처의 변화
물리적 교란과 물리서식처의 상관 분석을 위해 PDIE의 대표항목과 구간별 최대 HSI 발생 지점을 분석하였다. 물리서식처 평가를 위한 대상어종인 참갈겨니의 경우 최대 HSI가 나타나는 시점인 유속 약 0.4 - 0.7 m/s 구간과 수심 약 0.4 - 0.6 m 구간은 하천에서의 평여울로 분석되는 수리특성과 유사한 것으로 확인되었다 (Choi et al. 2012, ME 2010). 따라서 대상구간 16 km 구간에서 PDIE 항목 중 수리특성을 대표할 수 있는 여울과 소의 출현빈도를 분석하였으며, 참갈겨니의 최대 HSI (1.0)가 나타나는 지점 수와 비교하였다 (Fig. 7).
지점별 분석을 세밀하게 하기 위해 원주천 대상구간의 1차원 수치모의 결과를 확장하여 단면을 150개 구간으로 보간하였다. Table 5는 지점별 분석에 따른 PDIE의 여울과 소 발생 지점과 최대 HSI가 발생하는 지점의 개소수를 나타낸다. 물리서식처 평가를 통한 최대 유속지수 발생 지점은 현재 상태 (case 1)에서 가장 적은 26%로 나타났으나, 유속과 수심 지수들을 모두 고려한 경우 13개 지점으로 가장 많은 것으로 나타났다. Case 2의 경우 최대 유속지수 발생 지점은 52개로 가장 많은 것으로 나타났으나, 유속과 수심지수들을 함께 고려한 경우 현재상태보다 지점수가 감소하였으며, 아울러 PDIE의 여울과 소의 발생에서도 가장 적은 51개와 8개 지점으로 현재상태보다 감소하였다. 이는 case 2의 HS와 WUA의 감소 경향과 상관이 있는 것으로 판단된다. Case 3은 유속과 수심 지수들을 함께 고려한 경우 가장 적은 6개 지점이 나타났다. PDIE의 결과 여울은 현재상태보다 5개 지점이 감소하였으며, 웅덩이의 경우 3개 지점이 증가하였다. 이는 하천시설물의 도입‧개선에 따른 정체수역의 증가 현상을 잘 반영한 결과로 판단된다. 또한 정체수역의 증가는 참갈겨니의 HS와 WUA를 감소시키는 것으로 판단된다. Case 4는 최대 수심지수가 발생 지점이 가장 적은 23개 지점으로 나타났으며, 최대 유속지수 발생지점은 47개 지점으로 나타나 현재상태보다 여울이 증가한 것으로 판단된다. PDIE의 결과 서식적합도 평가 결과와 같이 여울은 63개소로 가장 많은 것으로 나타났으며, 웅덩이는 9개 지점에서 발생하는 것으로 나타나 현재상태보다 여울이 증가하고 웅덩이는 감소하는 것으로 나타났다.
Table 4와 5를 통하여 비교한 결과 HS와 WUA의 감소는 PDIE에서 여울과 소 지점의 감소에 따른 결과와 유사한 결과를 나타냈다. 아울러 case 4의 경우 HS와 WUA는 현재 상태와 유사하게 나타났으나, 유속과 수심 지수들을 모두 고려한 경우 7개 지점의 4.7%로 높지 않은 결과를 나타냈다. 그러나 PDIE의 여울 출현빈도는 가장 많은 63개 지점으로 42%의 여울을 발생하는 것으로 나타났다. 이는 계류성 어종인 참갈겨니는 여울이 많은 구간에서 서식적합도가 높게 나타나는 특성에 따른 결과로 판단된다. 따라서 PDIE에서 분석되는 수리적 특성인 여울과 소는 유속과 수심지수를 이용하는 물리서식처 평가와 상관이 있는 것으로 판단되며, 계류성 어종과 더불어 유속이 느린 웅덩이에서 주로 서식하는 정수성 어종의 서식처 평가에서도 유사한 결과가 나타날 것으로 판단된다. 즉, PDIE의 항목들은 어류의 서식처평가를 개략적인 수리적 형태의 평가로 분석 가능한 것으로 판단된다.
4. 결 론
원주천 16 km를 대상으로 하천의 안정성 확보를 위한 하천시설물의 도입‧개선‧철거 또는 준설과 하상보호공 설치에 따른 안정하도 설계 시 발생되는 물리적 교란과 물리서식처의 변화와 상관을 분석하였다. 연구결과를 요약하면 다음과 같다.
1)원주천의 안정하도 설계를 위해 Engelund-Hansen 공식을 이용하여 수심에 따른 안정하상경사를 분석하였다. 안정하도 평가 결과 총 20개 지점 중 3개 지점에서 불안정 하도가 나타났으며, 불안정 지점의 안정하도 설계를 위한 방법으로 하천시설물의 도입, 기존 하천시설물의 개선‧철거와 더불어 준설과 하상보호공 설치를 통한 방법을 적용하였다.
2)현재 원주천 대상구간의 물리적 교란개선 구간 평균값은 112.17점으로 양호한 상태로 분석되었으며, 기존 하천시설물 주변으로 물리적 교란개선 평가 결과가 낮게 나타나 하천의 건강성 증대를 위해 하천시설물의 개선이 필요함을 확인하였다.
3)하천시설물의 도입‧개선을 통한 안정하도 설계에 따른 물리적 교란개선 평가 결과는 117.53점으로 양호한 상태로 났으며, 하류지점에서 물리적 교란의 개선이 두드러지는 것을 확인하였다. 준설과 하상보호공의 설치에 따른 안정하도 설계에 따른 물리적 교란개선 평가 결과 116.50점으로 양호한 상태로 나타났으며, 상류지점에서 물리적 교란이 개선되는 것을 확인하였다.
4)원주천의 최우점종인 참갈겨니의 물리서식적합도의 분석 결과 하천시설물의 도입‧개선을 통한 안정하도 설계의 경우 물리서식처의 변화는 현재상태보다 감소하는 것으로 나타났으며, 안정하도 설계 여부와 상관없이 물리서식처의 감소가 발생되는 것을 확인하였다.
5)하도의 준설과 하상보호공 설치를 통한 안정하도 설계 시 상류지점에서 약 54% 이상의 하상변동을 저감효과를 가져오는 것을 확인하였으며, 이는 물리서식처의 감소를 방지하여, 현재 유사한 상태로 물리서식처를 유지시킬 수 있음을 확인하였다.
6)하천시설물의 도입‧개선을 통한 안정하도 설계는 하류지점에서의 개선을 가져올 수 있으며, 원주천 대상구간의 안정성과 물리적 건강성이 좋아지는 것을 확인하였다. 하도준설과 하상보호공 설치를 통한 안정하도의 설계는 상류지점에서의 안정성을 확보하며, 물리서식처의 감소를 방지함으로써 하도의 안정성과 물리적/생물학적 건강성을 개선시키는 것을 확인하였다.
7)따라서 원주천 대상구간의 하류지점에서는 하천시설물의 도입을 통한 안정하도 설계와 함께 상류지점에서는 준설과 하상보호공 설치에 따른 안정하도의 설계 방법을 함께 도입함으로써 안정하도 설계와 더불어 하류지점의 물리적 교란개선과 상류지점의 물리적 교란개선 및 물리서식적합도 개선이 복합적으로 가능함을 확인하였다.
8)물리적 교란개선 평가의 수리특성 항목과 서식적합지수의 상관분석 결과 물리적 교란개선 평가에서 수행되는 여울과 소의 분석은 물리서식처 평가와 유사한 결과를 나타내며, 개략적인 수리적 특성의 분석으로 계류성 어종 및 정수성 어종의 물리서식처 평가가 가능할 것으로 판단된다.














