1. 서 론
개수로 복단면 수로는 상시 흐름이 발생하는 주수로와 홍수시 침수되는 홍수터로 구성되며 자연 하도에서 흔히 나타나는 수로 형태이다. 복단면 수로의 흐름, 난류, 바닥 전단응력 특성에 대해서는 국내외에서 많은 연구가 진행되어 그 특징이 알려져 있다. 복단면 흐름에서는 주수로와 홍수터에서 발생하는 흐름 간의 유속 차이로 운동량 교환이 발생하며 그 결과 전단층이 형성되어 부가적인 에너지 손실과 유하능력 감소를 야기한다. 또한 주흐름과 이차류의 유속분포, 바닥 전단응력, 난류 특성 등도 영향을 받아 복단면의 특징적인 현상을 나타낸다 (Prinos et al. 1985, Tominaga and Nezu 1991).
복단면 수로의 흐름과 난류 특성은 실험 연구를 통해서 정밀하게 측정되어 제시되었다. Tominaga and Nezu (1991), Shiono and Knight (1991) 등은 LDA (laser doppler anemometers)를 이용한 복단면 흐름 측정에 의해 복단면 형상과 홍수터 조도가 주흐름 분포, 이차류 분포, 레이놀즈 응력 분포, 바닥 전단 응력, 운동량 교환 등에 미치는 영향을 분석하였다.
복단면 흐름에 대한 수치모의 연구도 최근까지 다양하게 진행되었다. RANS (Reynolds averaged Navier Stokes equations)에 기반한 연구는 Naot et al. (1993), Pezzinga (1994), Sofialidis and Prinos (1998) 등이 대표적인데 이 들 연구에서는 자신들의 RANS 모형이 복단면 흐름에서 시간 평균 유속 분포와 바닥 전단응력을 잘 예측하고 있음을 보여준다. Pezzinga (1994)와 Sofialidis and Prinos (1998) 등은 비선형 난류 모형을 이용하여 이차류 분포까지 예측하였다. 그러나 비선형 모형에서는 벽 함수로 인하여 바닥 전단응력이 부정확한 문제가 발생하기도 한다. 대부분의 RANS 모형은 레이놀즈 응력 분포를 제시하지 못하므로 주수로와 홍수터 간의 겉보기 전단응력 (apparent shear stress)을 정량화할 수 없는 단점이 있다.
RANS 모형에 대한 대안인 LES 모형은 큰 규모의 와류를 모델링 없이 직접 해석 (resolving)하므로 난류 이차항에 대한 정확한 계산이 가능하다. 개수로에서 LES를 적용한 대표적이 연구는 Constantinescu et al. (2009), van Balen et al (2010), Stoesser et al (2010) 등이 대표적이다. 복단면 개수로에는 Thomas and Williams (1995)가 처음으로 LES를 적용하였으며 Cater and Williams (2008)는 Thomas and Williams (1995)의 연구를 마무리하였다. 이 연구에서 Tominaga and Nezu (1991)의 실험 결과와 비교하였으나 1개 케이스에 대해서만 비교하여 홍수터 수심의 영향을 검토하지 못하였다. Kara et al. (2012)은 Hydro3D 코드를 이용하여 균일 격자로 LES 모의를 수행하여 홍수터 수심에 따른 영향을 검토하였다.
본 연구에서는 오픈 소스 코드인 OpenFOAM LES를 이용하여 벽 부근이 조밀한 비균일 격자를 구성하여 홍수터 수심에 따른 복단면 흐름의 변화를 모의하였다. 본 연구를 통해서 OpenFOAM 코드의 LES를 검증하고 복단면 흐름 특성을 분석하였다.
2. 연구 방법
2.1 지배방정식
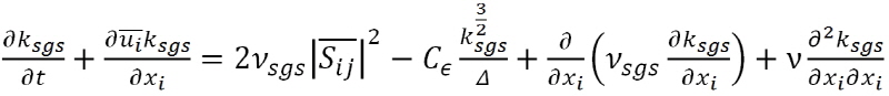
LES 지배방정식은 Navier-Stokes 방정식을 공간 필터로 평균하여 구한다. 흐름 변수(f)는 큰 규모 (large scale)와 작은 규모 (small scale)로 다음과 같이 분리한다.
(Eq. 1)
여기서 윗줄표식은 공간 평균된 큰 규모의 흐름 변수이며 프라임은 작은 규모의 흐름 변수이다.
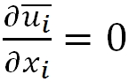
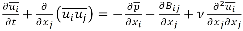
공간 필터를 적용하면 연속방정식과 운동량방정식은 각각 다음과 같다.
(Eq. 2)
(Eq. 3)
Eq. 3의 이송항은
항으로 표현할 수 없으므로 SGS (sub grid scale) 응력 텐서를 도입하며 다음과 같이 정의된다.
(Eq. 4)
Eq. 4를 Eq. 3에 대입하면 Eq. 5를 유도할 수 있다.
(Eq. 5)
Eq. 5를 풀기 위해서는 SGS 응력
에 대한 모형화가 필요한데 OpenFOAM을 비롯한 다목적 CFD 코드에서는 일반적으로 Boussinesq 가정을 도입하여 모형화한다. 즉, SGS 응력은 점성응력과 유사하다고 가정하며 Eq. 6과 같이 표현된다.
(Eq. 6)
여기서
는 SGS 점성이라고 불리며 여과된 속도장에서 계산된다.
SGS 점성을 계산하기 위한 다양한 모형이 제안되었다. Ban and Choi (2014)를 포함한 개수로 흐름 분석에는 Smargorinsky-Lilly SGS 모형이 적용되었다. Rogallo and Moin (1984)에 의하면 Smargorinsky-Lilly SGS 모형은 적용되는 모형 상수
에 영향을 크게 받으며 특히 벽 부근에서는 난류의 비등방성으로 상수 값이 달리 적용하여야함을 밝혔다. 이를 해결하기 위하여 SGS 난류 운동 에너지의 이송을 고려하는 일방정식 모형이 제안되었으며 본 연구에서는 일방정식 모형을 적용하였다. 일방정식 모형에서 SGS 점성은 Eq. 7과 Eq. 8에 의해 계산된다.

(Eq. 7)
(Eq. 8)
여기서
는 여과 응력 변화율 텐서이며,
=1.048,
=0.094 이다.
2.2 OpenFOAM 모형
본 연구에서 적용한 OpenFOAM은 유체 흐름 모의 툴박스로 무료로 이용이 가능한 오픈 소스 패키지이며 다양한 유체 해석에 적용할 수 있다 (OpenFOAM® 2011). 기본적으로 80개 이상의 해석 모듈을 제공하며 170개 이상의 격자 생성, 전처리기, 후처리기를 제공하며 유체 해석 분야에서 OpenFOAM의 적용은 최근 크게 증가하는 추세이다 (Roberston et al. 2015).
OpenFOAM 모형은 앞에서 제시된 지배방정식을 유한체적법을 적용하여 해석하며 병렬 연산을 위해서 MPI (message passing interface)를 적용한다. 본 연구에서는 MPI를 이용한 병렬 연산을 적용하여 LES 해석을 수행하였다. 유속-압력 상관관계 계산에는 SIMPLE, PISO, PIMPLE 등의 알고리즘을 선택할 수 있는데 본 연구에서는 PIMPLE 알고리즘을 적용하였다.
2.3 OpenFOAM 모형 적용
본 연구에서는 Tominaga and Nezu (1991)의 실험결과를 이용하여 복단면 LES 모의를 수행하였다. Tominaga and Nezu (1991)의 연구 중 홍수터 수심비
가 0.75, 0.5, 0.25 인 세가지 경우를 대상으로 수심비에 따른 흐름변화를 모의하였다. 복단면 하도의 변수 정의는 Fig. 1에 제시하였으며 세 가지 케이스의 흐름 조건은 Table 1과 같다.
Fig. 2는
= 0.5인 경우의 계산영역과 경계조건을 나타낸다. 측벽과 바닥벽은 벽 경계를 적용하였으며 자유수면 경계조건은 free slip 조건을 적용하였다. 계산 영역의 길이는 주수로 수심의 6배로 설정하였으며 상하류 경계는 압력차가 일정한 cyclic 조건을 적용하였다. 계산영역의 격자구성은 Fig. 3과 같다. 격자는 바닥벽과 측벽 부근의 격자가 조밀한 비균일 격자를 적용하였다. 벽 부근의 격자를 조밀하게 구성하여 벽 부근에 발생하는 작은 와를 직접 모의하여 모의의 정확도를 향상시키고자 하였다. 격자 구성에 따른 각 케이스별 절점 개수는 Table 2와 같으며 이에 따른 격자간 무차원 거리는 Table 3과 같다. 초기 조건으로는 전체 계산 영역에 평균 유속을 설정하였으며 계산 시간이 진행되면서 난류가 발생되도록 하였다. 초기 160
시간 동안 균일한 난류 발생을 위해 모의하였으며 그 이후 30
시간 동안의 모의 결과를 이용하여 난류 특성을 분석하였다.
계산은 한국건설기술연구원의 클러스터 시스템인 Garam을 이용하였다. Garam은 12개의 계산 노드가 있으며 각 노드는 20개의 코어로 구성되어 있어 총 240개의 코어를 병렬로 사용할 수 있다. CPU는 Intel Xeon E5-2680v2 2.8GHz이며 운영체제는 CentOS이며 Open FOAM 4.0을 이용하여 계산하였다.
3. 결과 및 논의
3.1 평균 유속 분포
Fig. 4, Fig. 5 및 Fig. 6은 최대 유속에 대한 평균유속의 분포를 모의 결과와 실험 결과를 비교한 것이다. 개수로 복단면의 평균 유속 분포에서 특징적인 현상은 유속 처짐 (velocity dip)과 유속분포 볼록화 (velocity bulge) 현상이다. 두 가지 현상 모두 난류의 비등방성에 의해 형성되는 이차류의 영향으로 나타나는데 일반적인 난류 모의로는 재현하기 힘든 현상으로 난류의 비등방성을 재현할 수 있는 LES 모의 또는 RSM (Reynolds Stress Model) 모의에서 나타난다. 유속 처짐은 단단면 개수로 흐름에서도 나타나는데 측벽에서 발생하는 이차류의 영향으로 최대 유속 분포가 자유수면이 아닌 자유수면 아래에서 형성되는 현상이다. 일반적으로 단단면에서 발생하는 유속 처짐은 LES 또는 RSM을 이용하여 발생지점이 비교적 정확하게 모의되나 복단면에서 발생하는 유속 처짐은 정확하게 모의하기 어려우며 경우에 따라서는 재현되지 않기도 한다 (Thomas and Williams 1995, Kang and Choi 2006, Kara et al. 2011).
유속분포 볼록화 현상은 복단면 흐름에서만 발생하는 특징적인 현상으로 주수로 측벽과 홍수터 바닥벽의 연결부에서 이차류에 의한 유속 저하 현상을 말한다. 이로 인하여 주수로와 홍수터의 연결지점의 평균 유속분포가 자유수면 방향으로 부풀어 오르는 것처럼 나타나 유속분포 볼록화 현상이라고 부른다. 이 현상 또한 난류의 비등방성으로 인해 발생하는 주수로와 홍수터 연결부에서 발생하는 이차류에 의해서 평균 유속 분포가 변형되는 현상이다. 유속분포 볼록화 현상은 홍수터 수심이 깊은 경우에 보다 명확하게 나타나는 것으로 알려져 있다 (Tominaga and Nezu 1991).
본 연구의 평균 유속 분포 결과는 기존 LES 연구 결과 (Thomas and Williams 1995, Kara et al. 2011)와 비교하면 전체적으로 각 케이스별 유속 분포를 잘 재현하고 있는 것으로 판단된다. 즉, 유속처짐과 유속분포 볼록화 현상을 일정 정도 잘 재현하고 있다.
S1 케이스의 경우에는 실험결과에서는 홍수터에서 유속 저하 현상이 나타나고 있으나 모의 결과에서는 나타나고 있지 않다. 유속분포 볼록화 현상은 나타나고 있으나 그 강도가 실험결과에 비해서는 약하여 자유수면에 가까워 지면서 그 영향이 감세하고 있음을 확인할 수 있다. 그러나 주수로 측벽 부근의 유속 분포는 실험결과와 유사하게 모의함을 확인할 수 있다.
S2 케이스의 경우에도 유속 처짐과 유속분포 볼록화 현상을 잘 모의하고 있으나 그 강도는 실험결과에 비해서 약하게 나타나고 있다. 이에 따라 주수로에서의 유속분포는 실험결과와 유사하나 홍수터에서의 유속분포는 다소 차이가 발생하고 있다. 즉, 실험결과에서 발생하는 홍수터에서의 약한 유속 저하를 모의하고 있지 못하다.
S3 케이스의 경우에는 실험에서는 주수로에서 유속 저하 현상이 강하게 나타나고 유속분포 볼록화 현상은 나타나지 않는다. 모의 결과에서는 유속 처짐 현상을 나타내고 있으나 그 강도는 실험에 비해서 약하게 나타나고 있다.
3.2 이차류 분포
Fig. 7, Fig. 8및 Fig. 9는 각 케이스 별로 이차류 분포를 모의 결과와 실험 결과를 비교한 것이다. 전체적인 이차류 분포 양상은 실험결과와 모의 결과가 유사하게 나타나고 있다. 실험에서는 측정의 한계로 측벽과 바닥벽 부근의 이차류를 측정하지 못하였으나 모의 결과에서는 벽 부근의 이차류가 잘 나타나고 있다. 또한 실험에서 측정하지 못한 수심이 얕은 S3 케이스의 이차류와 각 케이스의 홍수터 측벽 부근의 이차류를 제시하고 있다. 일반적인 등방성 난류 모의에서는 이차류를 재현할 수 없으며 이로 인하여 벽과 자유수면 부근의 난류 비등방성에 의해 발생하는 흐름 현상을 모의할 수 없다.
Tominaga and Nezu (1991)는 실험 결과에 의해 복단면 하도에서 총 5 가지 와류를 관찰하여 제시하였다 (Fig. 8 (b)). 자유수면와류 (free surface vortex)는 주수로에서 발생하는 시계방향 와류이며 주수로와류 (main channel vortex)는 홍수터와 인접한 주수로에 발생하는 반시계 방향 와류이다. 홍수터 와류 (floodplain vortex)는 주수로에 인접한 홍수터에서 발생하는 시계 방향 와류이며, 바닥 와류 (bottom vortex)는 주수로 바닥벽에서 발생하는 반시계 방향 와류이며, 연결부 바닥 와류 (junction bottom vortex)는 홍수터 연결부의 주수로 바닥에서 발생하는 시계 방향 와류이다.
S1 케이스의 경우 실험에서는 홍수터 와류, 자유수면 와류, 연결부 바닥 와류 등은 명확히 나타나나 다른 와류는 잘 관측되지 않는다. 반면에 모의 결과에서는 실험에서는 불명확한 바닥 와류가 잘 나타나며 홍수터 와류는 2개 이상이 나타난다. 또한 주수로와 홍수터 측벽 부근에서는 소규모의 내부 와류 (inner vortex)가 명확하게 나타난다.
S2 케이스의 경우 실험에서는 자유수면 와류, 주수로 와류, 홍수터 와류, 바닥 와류, 연결부 바닥 와류 등이 관찰된다. 모의 결과에는 이 5가지 와류 외에 추가적인 홍수터 와류와 중규모의 홍수터 와류가 나타나며 주수로와 홍수터 측벽에서 내부 와류가 다수 나타난다.
S3 케이스에서는 실험에서는 자유수면 와류, 주수로 와류, 바닥 와류, 연결부 바닥 와류 등 4개의 와류 구조가 나타난다. 모의 결과에서는 이 외에 홍수터에서 홍수터 수심 규모 크기의 홍수터 와류가 복수로 나타나며 주수로 측벽의 내부 와류와 홍수터 연결부의 주수로 내부 와류가 추가로 나타난다.
5. 결 론
본 연구에서 개수로 복단면 흐름 구조를 모의하기 위하여 OpenFOAM의 일방적식 LES 모형을 적용하여 실험결과와 비교하였다. 벽부근에서 발생하는 난류 비등방성을 정확하고 효율적으로 재현하기 위하여 비균일 격자를 적용하였으며 홍수터 수심에 의한 변화를 분석하기 위하여 세 가지 수심에 대해서 모의하였다. 비등방성 난류 해석 기법과 비균일 격자의 적용으로 측벽과 바닥벽에서 발생하는 소규모의 와류를 정밀하게 재현할 수 있었으며 이로 인하여 실험 및 기존 수치모의에서 관측되지 않았던 측벽 부근의 내부 와류와 홍수터의 복수의 와류를 재현할 수 있었다.
복단면의 평균 유속 분포는 수치모의를 통해서 수심별 변화를 재현하기 쉽지는 않다. 본 연구의 모의 결과는 평균 유속 분포에서 실험결과와 다소 차이를 나타내나 기존 수치모의와는 부합한 결과를 나타내고 있다. 유속 저하와 유속분포 볼록화 현상을 모의하고 있으나 그 강도는 실험에 비해서 약하게 나타난다. 반면에 이차류 모의 결과는 세밀한 이차류 구조를 잘 나타내며 그 양상도 실험 결과와 유사하게 나타나고 있다. 이는 모의 결과의 이차류가 양상은 잘 나타내나 이차류의 강도가 실험에 비해서 약하게 나타남을 의미한다. 향후 발전된 LES 모형과 정밀한 격자 구성을 통해서 복단면 흐름 구조를 보다 정확하게 모의하기 위한 모색이 필요한 것으로 판단된다.














