1. 서 론
2. 하천 서식처 지형 연구동향 분석
2.1 공간적 위계에 따른 하천 서식처 분류
2.2 하천 사주지형을 반영한 서식처 분류
3. 연구 방법
3.1 연구범위와 조사구간
3.2 서식처다양도 지수
4. 결과 및 고찰
4.1 하천 서식처 분류기준과 분석
4.2 세종보 수문개방 전후 서식처 지형 및 다양도지수 변화
5. 결 론
1. 서 론
금강의 세종보는 2017년 11월부터 부분개방을 시작하여 보운영 최고수위인 관리수위에서 평균수위를 낮추었고, 2018년 1월부터 2단계 완전개방을 실시하여 최저수위에 도달하는 등 4대강 사업으로 건설된 16개보 가운데 가장 오랫동안 큰 폭으로 개방하고 있다. 이에 따라 세종보의 수위가 최대 3.2 m 이상 내려가고 저수지에 퇴적된 토사가 이동하면서 물속에 잠겨있던 하도 내 모래톱이 드러나거나 새롭게 발생하여 2019년 12월 기준 축구장 41배 크기인 약 0.313 km2 정도의 모래톱 면적이 증가한 것으로 조사되었다 (MOE 2019).
하천의 수위가 내려가고 모래톱이 발생하면서 세종보 하류에서 그동안 자취를 감췄던 멸종위기야생생물 1급 흰수마자가 모래톱의 여울에서 발견되었다. 흰수마자는 하상이 모래로 구성된 여울을 선호하는 물고기로서, 해당구간이 보 개방전에는 수심이 깊은 정수성의 저수지였지만, 수문개방이후 모래톱이 드러나면서 다시 수심이 얕은 유수성의 여울이 만들어지는 등 하천의 모래톱 발생이 하천 서식처 환경에 긍정적인 변화를 유도한 것으로 보인다. 이와 같이 수문개방에 따라 보 상하류에서 크고 작은 모래톱이 나타났고 자연성 회복의 긍정적인 현상으로 인식하였지만, 아직까지 하도 내 모래톱 증가에 대한 생태학적 효과는 조사되거나 규명되지 못하였다.
지금까지 연구된 모래톱의 중요한 생태계 가치는 크게 두 가지이다. 첫째는 모래의 수질정화 기능으로 강물이 모래톱을 통과하게 되면 물이 모래 입자와 입자 사이인 공극을 지나면서 유기물, 영양염, 오염물질이 걸러지는 여과기능이 연구되었다 (Fernald et al. 2006). 즉, 모래톱은 자연의 정수기와 같은 필터로서 강의 자정작용을 높여준다. 실제 연구사례로, 일본 교토의 요도강 수계의 다양한 하천에서 입상유기물을 추적하여 유하거리 (transport distance)를 분석한 결과, 사주가 발달하여 자연 단면을 가진 하도가 상류 댐의 유사이동 차단으로 사주가 없어진 하도에 비해 유하거리가 거의 절반으로 짧아졌다 (Ock and Takemon 2010). 유하거리가 작을수록 하도의 유기물 포착기능, 즉 하천사주의 여과기능이 크다는 것을 의미한다. 두 번째로는 본 연구를 통해 다루게 되는 하천 사주의 서식처 기능이다. 하천사주는 서식처 다양성을 높이며, 이는 생물다양성의 기반이 된다. 하천지형학적으로 사주의 평면 구조에서는 강에 모래톱이 만들어지면 하상고가 높은 상단부에서는 유속이 빠르고 수심이 얕은 여울, 중간부에서는 느리고 깊은 소, 하단부에서는 물이 맴돌며 정체되는 습지가 나타나며, 사주의 가장자리를 따라서 유속이 느리고 수심이 얕은 물이 길게 만들어 진다. 그리고 모래톱이 섬의 형태로 만들어지면 흐름이 분산되면서 물길이 넓고 깊은 주수로와 좁고 얕은 부수로가 만들어진다. 사주의 고지대에서는 수역과 단절된 웅덩이가 만들어진다 (Hyodo et al. 2014). 최근에는 이러한 보 수문개방에 따른 하도내 흐름과 지형변화를 수치모형으로 모의하고 있다 (Viparelli et al. 2011, Kang and Jang 2020).
따라서 본 연구에서는 보 수문개방이후 발생한 모래톱을 대상으로 서식처 환경 변화를 파악하기 위하여, 고해상도 항공사진을 이용하여 서식처 지형을 공간분석하여 서식처 다양성 변화를 파악하고자 하였다. 이러한 실증 연구를 수행하기 위해서 보 구간을 대상으로 개방전의 관리수위 시기, 개방 후 최저수위에 해당하는 고해상도 항공사진을 확보하고, 항공사진의 고유 특성에 기반하여 하도내의 수중과 육상에서 서식처 지형을 유형화하여 분류 기준을 설정하였다. 그리고 항공사진 공간분석를 통하여 하도내 서식처를 구분하고 해당 서식처의 면적을 산출하여, 하도내 서식처다양도 지수 (habitat diversity index)와 같은 서식처 지수를 적용하여 보 개방에 따른 하도 내 서식처 다양성 변화를 고찰하였다.
2. 하천 서식처 지형 연구동향 분석
2.1 공간적 위계에 따른 하천 서식처 분류
하천 지형 분류는 목적에 따라 대상을 효과적으로 파악하고자 공간규모의 크기에 따라 위계와 구조를 달리하여 분석하였다. 초기에는 공간크기에 따라 유역 (stream system) - 지역 (segment) - 구간 (reach) - 여울/소 (riffle-pool) - 미소서식처 (microhabitat)로 분류하였고 (Frissell et al. 1986), 경관생태학이 발달되고 영상분석이 도입되면서 공간 크기는 유역 (catchment, 102-105 km2) - 경관 (landscape, 102-103 km2) - 지역 (segment, 101-102 km) - 구간 (reach, 10-1-101 km) - 단위지형 (geomorphic unit, 10-102 m) 등으로 구분하고 있다 (Mosselman et al. 2015). 일반적으로 하천의 수계망이나 하도의 종단형상을 파악하는 데는 유역 규모에서는 보는 것이 효과적이며, 경관규모에서는 하도의 유형 (channel pattern)과 홍수터 변화 (floodplain dynamics)를 쉽게 파악할 수 있다 (Gurnell and Petts 2002, Ward et al. 2002). 본 연구는 어류와 저서무척추동물과 같은 수중동물이 생활할 수 있는 서식환경 (Hawkins et al. 1993, Montgomery and Buffington 1998)의 다양성을 파악하는 것이 목적으로, ‘구간’의 공간규모에서 하상경사, 사행, 하상재료, 하폭/수심, 식생 등의 단위지형 요소들의 조합인 서식처 구조를 분류하였다 (Gurnell et al. 2016).
일반적으로 구간 규모에서는 여울 (riffle)과 소 (pool)는 유속과 수심으로 구분할 수 있으며, 이들 요소간에 전이대로서 평여울 (run)과 완여울 (glide)은 흐름의 방향성이 추가되어 구분될 수 있다 (Garcia et al. 2012). 특히, 사행구간의 내측은 퇴적작용으로 고정사주가 형성되고 외측은 침식작용으로 수심이 깊어지면서 소가 나타나고, 이후 유속이 빠르고 얕은 곳에서 여울이 만들어진다. 그리고 여울에서 소로 전이되는 곳은 흐름이 느려지면서 집중되는 평여울이 나타나고, 소에서 여울로 바뀌는 곳은 흐름이 빨라지면서 분산되는 완여울이 나타난다. 즉 사주가 반복되는 사행구간에서는 평여울-소-완여울-여울 과 같은 서식처 구조가 형성된다.
그러나 실제 하천현장에서는 이러한 개념보다 복잡하게 서식처가 발생하기 때문에, 최근 해외연구에서는 고해상도 영상을 통해 분석가능한 기준을 제시하고 있다. Wadeson and Rowntree (1998)은 흐름의 수리 특성을 기준으로 서식처를 구분하였는데, 호박돌 크기의 하상에서 물살이 매우 빠르고 급해서 횡적으로 강한 파랑을 보이는 곳을 여울, 흐름을 거의 감지할 수 없을 정도로 상류단과 하류단이 부드럽게 연결되는 소, 흐름이 유지되는 곳으로 잔물결이 보이는 평여울, 수면에서 물결무늬가 나타나지 않고 깨끗하고 매끄러운 경계가 나타나는 곳을 완여울로 구분하였다. Milan et al. (2010)은 이를 발전시켜 수면의 거칠기 (roughness)를 적용하였다. 소는 구간에서 가장 깊은 곳으로 수면에서 난류는 나타나지 않는다. 여울은 수면경사가 급하고 얕은 곳을 빠르게 흐르기 때문에 난류로 인하여 포말이 발생하는 특징을 가지며, 평여울은 비교적 수심이 깊고 강한 흐름을 보이는 곳이며, 완여울은 평여울과 유사하지만 더 얕고 느린 하천 흐름을 보이는 곳으로 정의하였다. Wyrick and Pasternack (2014)은 유속, 수심과 함께 수면경사를 기준에 추가하여 미소서식처를 구분하였다. 여울은 수심이 얕고 유속이 빠른 것은 물론이고 수면경사가 급해서 물살의 표면이 거칠게 나타난 곳으로 정의하였다. 이는 수면경사의 급변점에서 발생하는 난류를 의미하며, 영상분석을 통해 난류로 인해 발생하는 파장으로 여울을 구분하였다. 반대로 소는 수면경사가 가장 완만하여 수면에서 물살의 변화가 나타나지 않는다. 평여울과 완여울의 수면경사는 여울과 소의 중간에 해당하며 수면에서 물살이 나타난다. 하도에서 평여울은 주로 직선부에서 나타나고, 완여울은 수변의 가장자리와 소의 주변에서 흐름이 느려지는 곳에서 발생하였다.
2.2 하천 사주지형을 반영한 서식처 분류
미국 워싱턴주에 위치한 스카짓강 (Skagit River)에서는 연어의 생활사에 적합한 서식처를 파악하기 위하여, 사주가 포함된 수역을 하상 지형과 흐름 특성을 기준으로 6개의 단위 서식처로 분류하였다 (Beechie et al. 2005). 우선 물이 흐르는 주하도를 유속과 수심을 기준으로 소, 완여울, 여울로 구분하였다. 그리고 사주와 제방의 경계부는 유속이 느려지면서 횡적으로 흐름의 경계선이 나타나는 곳으로, 사주변 수역 (bar edge), 제방변 수역 (bank edge), 배수역 (backwater)으로 분류하였다. 미국 캘리포니아에 위치한 카스파강 (Caspar Creek)에서는 수중에서는 여울, 평여울, 소, 유목 (large wood debris), 거석 (boulder)으로 세분류하고, 수변에서는 사주와 고수부 등 7개의 단위 서식처로 구분하였다 (Yarnell et al. 2006). 일본 시즈오카현에 위치한 텐류강 (Tenryu River)에서는 사주 지형이 만들어내는 형태적 특성을 중심으로 하천의 서식처를 구분하였다. 수역을 여울, 평여울, 소, 부수로, 사주머리 정수역 (barhead backwater), 사주꼬리 정수역 (bartail backwater)로 세분류하였다. 그리고 사주와 하중도는 나지, 초본역, 목본역, 웅덩이로 분류하였다 (Hyodo et al. 2014).
3. 연구 방법
3.1 연구범위와 조사구간
본 연구의 공간적 범위는 세종보 상・하류 각 5 km 구간을 대상으로 하였다. 그리고 시간적 범위는 보 개방전의 관리수위가 유지되는 시기 (B시기, EL. 11.8 m)와 보 개방후 최저수위 기간인 시기 (C시기, EL. 8.9 m)로 설정하였다. 항공사진의 제원은 보 개방후의 최저수위에 해당하는 영상은 공간해상도가 0.5 × 0.5 m인 국토지리정보원 정사영상 (2018년 4월)을 우선 활용하였고, 보 개방전 관리수위에 해당하는 영상이 부재하여, 국립환경과학원에서 조류분포 모니터링을 위해 촬영한 1.0 × 1.0 m 공간해상도의 항공디지털 사진 (2017년 9월)을 제공받아 활용하였다. 하도의 분석경계 수위는 보 개방전 관리수위시의 저수로 선형을 기준으로 하였다. 이는 보 개방에 따른 하천 지형의 변화를 파악하기 위하여 고수부지와 제방부는 제외하였다. 이를 위하여, 보 개방 전 관리수위 영상에서 저수로 경계선을 추출하여 보 개방후 시기 영상에 적용하여 서식처를 추출하였다.
항공영상을 이용하여 서식처 지형의 분류를 수행하기 위하여 해외사례 수집을 통하여 국외 연구동향을 분석하였으며, 이를 기반으로 하천지형의 평면구조를 기반으로 서식처 분류기준을 설정하고 공간분석을 실시하였다.
3.2 서식처다양도 지수
하도내 서식처 다양성의 정도를 정량화하기 위하여 섀년의 서식처 다양도 지수 (Shannon’s Habitat diversity Index, H’)를 적용하였다 (Eq. 1).
(i : 단위서식처; pi : 각 단위서식처의 면적)
이 다양성 지수를 하천 서식처에 적용한 사례로는 이탈리아 (Ward et al. 2002), 미국 (Yarnell et al. 2006) 등을 들 수 있다.
4. 결과 및 고찰
4.1 하천 서식처 분류기준과 분석
본 연구에서는 고해상도 항공사진을 이용하여 하천 사주가 발생한 보 구간에 적용할 수 있는 총 17개의 서식처를 제시하고 분류하였다 (Fig. 1). 사주 지형의 서식처를 분류하면, 하도의 주수로를 따라 유속이 빠르고 수심이 얕은 여울과 유속이 느리고 수심이 깊은 소와 이들의 전이대로서 평여울과 완여울을 구분하였다. 그리고 사주의 위치에 따라, 사주머리 주변에 물의 흐름이 약해지면서 정체되는 배수역 (barhead backwater)과, 사주꼬리 주변에서는 물이 휘돌아들어가서 정체되는 배수역 (alcoves, 또는 bartail backwater)과 같은 정체수역, 그리고 사주의 가장자리를 따라서 발생하는 이차류로 인하여 물의 흐름이 약해지는 곳 (bar edge)을 구분하였다. 그리고 하중도 (island)에서는 물길을 분산시키면서 나타나는 부수로 (side channel)를 구분하였다. 사주의 육상부는 식생의 정착유무와 종류에 따라서 나지와 초본, 목본으로 구분하였다. 또한 사주내부에 발생하는 웅덩이도 서식처로 구분하였다. 그러나, 수문개방 전에 보의 상류에 조성되는 정수역은 저수지로 구분하였다.
이상과 같이, 본 연구에서는 서식처의 유형에 따라 크게 ‘수역’과 ‘사주역’으로 대분류하였으며, 수역은 다시 주하도의 ‘수중부’에 포함된 여울과 평여울, 소, 완여울, 저수지 등 5개로 세분류하고, 사주의 가장자리의 얕은 수심의 ‘주변부’는 사주머리정수역, 사주꼬리정수역, 사주변정수역, 부수로 등 4개로 세분류하였다. 사주역은 하안사주와 하중도로 중분류하여, 각각 나지, 초본, 목본, 웅덩이로 세분류하는 등 8개로 분류하였다. 이를 다시 물이 흐르는 ‘유수성 서식처’와 물의 흐름이 느리거나 정체된 ‘정수성 서식처’로 구분할 수 있다 (Fig. 1).
4.2 세종보 수문개방 전후 서식처 지형 및 다양도지수 변화
항공사진을 이용하여 세종보 구간의 서식처 지형을 공간분석한 결과는 Fig. 2와 같다. 그리고 수문개방 전과 후에 변화된 단위서식처의 공간분포는 Fig. 3에서 나타내었다.
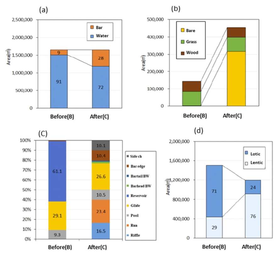
보 개방 이후 보 상류에 다양한 크기의 여러 가지 사주가 드러나고, 보 하류에도 하중도의 크기가 늘어나고 새로운 사주가 만들어짐에 따라, 수역의 비율이 감소하고 사주의 면적이 전체 서식처 면적의 28%로 증가하였다 (Fig. 4 (a)). 그리고 보 개방전 관리수위 시기에서 보 상류의 수역은 모두 저수지로 이루어져 있고 사주역은 초본과 목본의 식생이 활착된 하중도 등 4개의 서식처로 구성되었다. 보 개방 후의 최저수위 시기에는 보 상류역은 다수의 사주가 새롭게 만들어지면서 14개의 서식처가 확인되었다. 보 하류역에서도 보 개방 전 7종의 서식처 유형에서 보 개방 후 14종의 서식처가 확인되었다 (Fig. 4 (c)).
보 개방후 사주역의 변화를 살펴보면, 하중도의 규모가 커지면서 새롭게 나지형이 가장 크게 증가되었으며, 웅덩이도 발생하였다. 양안에 발생한 사주는 보 개방 이후 새롭게 나타난 사주로 모두 식생이 정착되지 않은 나지형이었다 (Fig. 4 (b)). 하중도와 양안에 사주가 출현함에 따라 본류에서 여울과 평여울, 소, 완여울, 사주머리정수역, 사주꼬리정수역, 사주변정수역, 부수로 등이 모두 관찰되었다. 그리고 이 가운데, 유수성 서식처의 비율은 29%에서 76%로 증가하였다 (Fig. 4 (d)).
항공사진 분석을 통해 산출된 총 17개 종류의 서식처 면적을 추출하여 서식처다양도 지수를 산정한 결과는 전체구간에서 1.2에서 2.3으로 약 88% 증가하였다. 보 상류 구간과 보 하류 구간 모두 상승하였으며, 보 상류에서 상승률이 더욱 높게 나타났다 (Fig. 5).
이상과 같이 하천에 모래톱과 같은 사주지형이 발달하게 되면, 수중과 수변부에 다양한 미소 지형을 포함하고 있어서 하도의 평면구조에서 다양한 서식처가 만들어진다고 보고되었다 (Fernald et al. 2006, Ock et al. 2015). 또한 사주의 횡적 구조에서도 사주공간은 하도내의 육상부로서 홍수와 같은 수위의 변동에 따라 다양한 조건의 서식처 조건을 제공한다. 홍수기에 수위가 높아져 수역이 증가하면 둔치와 일시적으로 연결되어 수생태계와 육상생태계 간의 생물 이동과 물질 교환이 이루어지는 통로가 된다. 그리고 수위가 내려가면, 고층부에는 수중과 단절된 웅덩이가 형성되어 특별한 서식처 조건을 나타낸다.
이러한 다양한 서식처 지형은 다양한 생물이 살아갈 수 있는 생물종다양성의 기반으로 작용한다 (Tockner et al. 2003, Palmer et al. 2010). 예를 들어, 유수성 수서곤충인 하루살이와 강도래, 날도래는 생활사의 일정기간 또는 전부를 수중에서 보내야 하는데, 섭식기능군과 생활형에 따라 다양한 서식처를 필요로 한다. 물살이 빠른 여울에서는 돌이나 자갈에는 붙어사는무리, 웅덩이와 소에서는 모래를 파고드는 굴파는무리, 그리고 수심이 얕은 곳에서는 헤엄치는무리 등이 다양한 서식처에서 발견된다 (Takemon 2005). 또한 하천의 서식처 다양성은 어류와 같이 하천에 살고 있는 생명체의 생활사를 완성시켜 고유종이나 멸종위기종이 사라지지 않고 유지되는 필요조건이다. 연어와 같은 회유성 어류의 경우, 부화를 위해 용존산소가 풍부한 여울에서 산란과 부화를 거친 유어는 이후 유속이 느리고 수심이 얕은 곳으로 이동하여 치어기를 보낸다. 그리고 성어가 되면 수심이 깊은 소와 소를 거치며 상류와 하류로 이동한다 (Beechie et al. 2015). 그리고 하천의 여울-소의 구조를 복원하면서 다양한 어류의 서식처가 개선된 연구가 제시되었다 (Choi et al. 2020).
따라서 최근 외국에서는 하천 자연성 회복을 위하여 모래톱의 생태계 가치를 높이기 위한 연구기술이 우리의 예상보다 빠르게 개발되고 있다. 미국 캘리포니아의 트리니티강에서는 한정된 하천 공간에서 최대한 다양한 서식환경을 조성하기 위하여 유사관리기술을 개발하여 댐 건설이후 사라졌던 사주 지형을 복원하고 있다. 앞으로 모래톱의 생태계 가치를 유지하고 하천관리와 복원에 적용할 수 있는 응용생태공학 분야의 연구와 기술개발이 더욱 필요한 때이다.
5. 결 론
본 연구는 금강 세종보를 대상으로 수문개방에 따른 수위저하와 모래톱 발생을 서식처 다양성의 관점에서 변화상을 파악하기 위하여 아래와 같이 단계적으로 연구를 수행하였다. 우선, 수중서식처의 세분류가 가능한 고해상도 항공사진을 확보하여, 수역과 육상역을 총 17개의 서식처로 분류하고, 서식처다양도 지수를 산출하였다. 수역의 수중부는 여울, 평여울, 소, 완여울, 저수지로 구분하였으며, 수역의 사주변은 주머리정수역, 사주꼬리정수역, 사주변정수역, 부수로 등 총 9개 서식처로 분류하였다. 육상역의 하안사주와 하중도는 각각 나지부, 초본부, 목본부, 웅덩이 총 8개로 분류하였다. 그리고 각 서식처의 면적비를 추출하여 보 개방 전후의 서식처다양도 지수를 산정하여 비교하였다. 보 개방이후 사주의 면적비는 증가하였으며, 이는 보 개방에 따라 사주면적이 증가하면서 다양한 새로운 서식처가 만들어졌다는 것을 의미한다. 실제로 보 개방에 따라 보 상류 구간의 저수지가 사라지면서 여울과 평여울, 소, 완여울, 부수로, 그리고 사주변 정수역, 사주꼬리 정수역과 같은 다양한 서식처가 발생하였다. 서식처 유형별로 보면, 유수성 서식처가 큰 폭으로 증가하였다. 보 개방 전 저수지라는 거대한 정수역이 보 개방 후에는 여울, 평여울, 완여울, 부수로와 같은 유수성 서식처로 변모하였다. 그렇지만, 정수성 서식처 또한 사주머리정수역, 사주변 정수역, 사주꼬리 정수역 등과 같이 얕은 서식처의 비율이 증가하였다. 그리고 사주역의 변화를 보면, 수문개방후 새로운 모래톱이 발생하고 확장되면서, 식생이 정착되지 않은 나지형 사주가 증가하였다. 이러한 현상은 보개방에 따라 유사의 이동과 퇴적작용을 통하여 하천지형의 역동성이 회복되고 있음을 보여준다. 이러한 효과는 서식처다양도 지수를 산출하여 정량화하였다. 서식처다양도 지수는 전체적으로 증가하였으며, 보 하류 구간에 비해서 보 상류 구간에서 크게 증가하였다. 이상과 같이, 본 연구에서는 세종보 수문개방 이후, 보 상하류 구간에서 하도내 모래톱이 발생하고 면적이 증가하면서 수중 및 육상 서식처의 다양성이 증가하고 있음을 규명하였다. 그렇지만, 본 연구에서 제시한 결과는 보 상・하류의 제한된 구간에 대한 것으로, 유역규모의 효과에 적용하기 위해서는 대상 범위를 확대할 필요가 있다. 또한 본 연구를 기초로 하여 수치모의로 예측하고, 서식처다양성이 생물다양성 개선과 특정 보호종의 보전방안 도출에 이르는 종합적인 하천 자연성 회복과정을 규명하는 연구에 활용될 수 있기를 기대한다.







