1. 서 론
2. 재료 및 방법
2.1 대상수계
2.2 어류서식기대종수 (Expected Number of Fish Species, ENFS)
2.3 보 밀도 지수 (Index of Weir’s Density, IWD)
2.4 통계처리
3. 결과 및 고찰
3.1 섬진강수계 하천 횡구조물 분포현황
3.2 어류서식기대종수 (ENFS)
3.3 수계 하천 수준에서 출현종수와 예측 기대종수간의 차이
3.4 섬진강 수계 하천의 보 밀도 현황
3.5 보 밀도에 따른 어류 출현종수 관계
3.6 중권역 수준에서 보 밀도에 따른 어류 출현 종수
3.7 보 밀도에 따른 어류 출현 종수 영향
4. 결 론
1. 서 론
국가 통계청 (http://kostat.go.kr) 자료에 따르면 우리나라의 국가하천을 제외한 총 지방하천수는 약 3,773개이며, 하천 연장은 약 26.184 km에 이르는 것으로 나타났다. 전국의 하천에 설치된 보 개수는 2020년 총 33,913개 정도로 파악되었고, 이는 대략 1.30개/km의 보가 설치 되어있는 실정이다. 해양수산부 국가어도정보시스템 (www.fishway.go.kr)에 따르면 2020년 기준으로 전국의 하천에 설치된 어도 수는 약 5,393개로서 약 15.9% 정도만 어도를 통하여 상·하류간 연결성 확보된 것으로 파악되고 있다. 그러나, 기능 상실로 인해 개보수가 필요한 어도가 70% 정도로서 하천 수생태계 단절은 매우 심각한 수준이다. 따라서, 하천의 종적 연속성 및 생물다양성을 확보하는 측면에서 단절된 구간을 파악하고 이를 연결해주는 것이 시급한 과제가 되고 있다.
전 세계적으로 연속성 확보를 위한 소규모 댐/보 철거를 위한 노력이 이루어지고 있다. 미국의 경우 전역에 약 200만개 이상의 소규모 댐/보가 있으며, 이 가운데 경제적 사용 연한을 초과한 것은 주 정부 차원에서 구조물 철거계획을 수립하여 지난 30년간 약 1,476개의 보 구조물을 철거한 바 있다 (www.americanrivers.org). EU는 유럽 전역에 약 180만개 이상의 하천구조물이 존재하는 것으로 추정하고 있으며, 이를 목록화하여 관리하고 있다. 각국에서는 보 철거를 총괄하는 기구를 설치하여 지난 25년간 대규모 댐을 포함하여 약 4,500개 횡구조물을 철거하였으며, 이를 통해 수질 및 경관 개선효과, 회유성 어류 및 다양한 어류 이동통로 확보, 어류 산란장 및 서식지 확보, 생물다양성 증가에 크게 기여하고 있다. 댐/보 철거를 통한 수질 및 수생태계 개선은 다수의 국내외 연구사례를 통해서 입증되고 있다 (Bushaw-Newton et al. 2001, Hart et al. 2001, Horwitz et al. 2001, Johnson et al. 2001, Shuman 1995, Smith et al. 2000).
환경부는 지난 2018년 물환경보전법 개정안을 통해 수생태계 연속성 확보를 위한 조사 및 평가를 수행하기 위해 법적 근거를 마련하였고, 2020년 연속성에 대한 평가 기준과 조사지침을 마련하였다(National Institute of Environmental Research (NIER) 2020). 최근 들어 지자체를 중심으로 매년 수십 개의 기능을 상실하거나 노후화된 소형 댐이나 보를 철거하고 있으며 (Ahn et al. 2008, Korea Institute of Civil Engineering and Building Technology (KICT) 2007), 해수부에서는 기능을 상실한 어도 (Fishway)를 대상으로 개보수 사업을 진행하고 있다. 그러나, 대상지역 선정시 보다 더 적극적인 지자체의 요청에 따라 우선순위가 결정되고 있어, 합리적 근거가 미흡한 상태로 어도 개보수 대상지구가 선정되어 문제점으로 지적되고 있다. 따라서, 장기적 관점에서 종합 계획을 수립한 후 과학적 기초자료를 기반으로 우선순위에 따라 대상하천을 선정하여 체계적으로 진행하는 것이 필요한 상황이다.
본 연구에서는 대상하천 선정을 위한 기초자료 확보 측면에서 하천의 보 밀도 지수를 산정하였으며,어류 출현종간의 관계를 통해 횡구조물이 종 다양도에 미치는 영향을 분석하였다. 이는 하천의 종 다양성 증가 및 수산자원에 해당하는 어종의 회유 등을 통한 수생태계 연속성 확보를 위한 대상하천 선정과 보 구조물 철거나 개선을 위한 범위를 설정하는데 유용한 지표가 될 수 있을 것으로 판단된다 .
2. 재료 및 방법
2.1 대상수계
본 연구에서 섬진강 수계는 총 13개 중권역으로 구성되어 있으나, 섬진강 서·남해로 직접 유입되고 있는 4개 권역 (섬진강 서·남해, 완도, 금산면, 이사천 권역) 등을 제외하고, 내륙에 분포하는 9개 중권역 (보성강, 섬진강댐, 섬진강댐 하류, 섬진강 하류, 섬진곡성, 순창, 오수천, 요천, 주암댐 권역)을 대상으로 하였다. 9개 중권역에는 총 260여 개 지방하천이 있으며, 여기에는 약 3,855개의 보를 포함한 횡구조물이 설치되어 있다. 이는 전체 섬진강 수계의 약 76%를 차지하고 있다. 반면, 서·남해로 직접 유입하는 수계 하천은 하천연장이 짧고 보 구조물이 상대적으로 적으며, 또한 출현어종수가 적어 연속성 확보에 대한 중요도가 상대적으로 낮은 것으로 평가되었다. 따라서, 본 연구에서는 내륙의 9개 중권역에서 생물측정망이 있는 210개 지방하천을 대상으로 각 하천의 보 밀도 지수와 모델을 이용한 어류서식기대종수를 산정하였다 (Table 1).
Table 1.
Name of middle territory and target rivers or streams in the Seomjin River system (number of river of stream)
2.2 어류서식기대종수 (Expected Number of Fish Species, ENFS)
연장에 따른 출현 종수의 분포는 비선형 최대 지수증가 함수관계 (Nonlinear exponential rise to max relationship)를 기반으로 모델식을 도출하였다. 이때, 섬진강 수계의 최대출현종수 (Maximum number of species, Smax)는 2010 - 2019년까지 과거 10년간 수생태계 건강성평가 (http://water.nier.go.kr)를 통해 해산어와 기수어를 제외하고 섬진강 본류수계에서 확인된 최대출현종수를 이론적 점근선 (Asymptotic line)으로 하였다.
여기서, Y : 어류서식기대종수 (ENFS), a : 이론적 최대출현종수 (Asymtotic line), b : 모델계수 (Model coefficient), x : 하천연장
2.3 보 밀도 지수 (Index of Weir’s Density, IWD)
하천별 보 밀도 지수는 하천연장 대비 보 개수로서 산정하였고, 이는 하천 km당 보개수를 의미한다.
2.4 통계처리
보 밀도에 따른 어류 출현종간의 관계는 2-Dimensional Kolmogorov-Smirnov (2-DKS) 테스트를 수행하였다 (Garvey et al. 1998). 비모수 테스트 (Nonparametric test)인 2-DKS 테스트는 두 변수간의 독립적 분포 여부를 판단하는 통계적 방법으로 실제 데이터와 독립적으로 분포하는 데이터간 최대 차이가 일어나는 역치값 (Threshold value)과 통계값 Dmax를 제공한다. 이때, 생성되는 p-value는 실제 통계 데이터를 5,000회 무작위 재조합을 통해 생성된 통계 분포와 비교하여 생성된다 (Garvey et al. 1998).
3. 결과 및 고찰
3.1 섬진강수계 하천 횡구조물 분포현황
국가어도정보시스템을 통해 확인된 섬진강 수계 210개 지방하천의 횡구조물은 약 3,106개 분포하는 것으로 파악되었고, 이는 하천당 평균 14.8개 설치되어 있다. 하천내 횡구조물인 보 설치 비율을 분석해 보면 1 - 10개가 설치된 하천이 약 37.1%, 11 - 20개는 36.2%로서 20개 미만 하천이 전체하천의 73.3% 정도 된다. 그 외 21 - 30개 설치된 하천이 12.4%, 30개 이상 설치된 하천수는 약 10.5% 정도 되었다. 하천내 횡 구조물이 전혀 없는 하천도 8개 (3.8%)가 분포하는 것으로 나타났다 (Fig. 1).
3.2 어류서식기대종수 (ENFS)
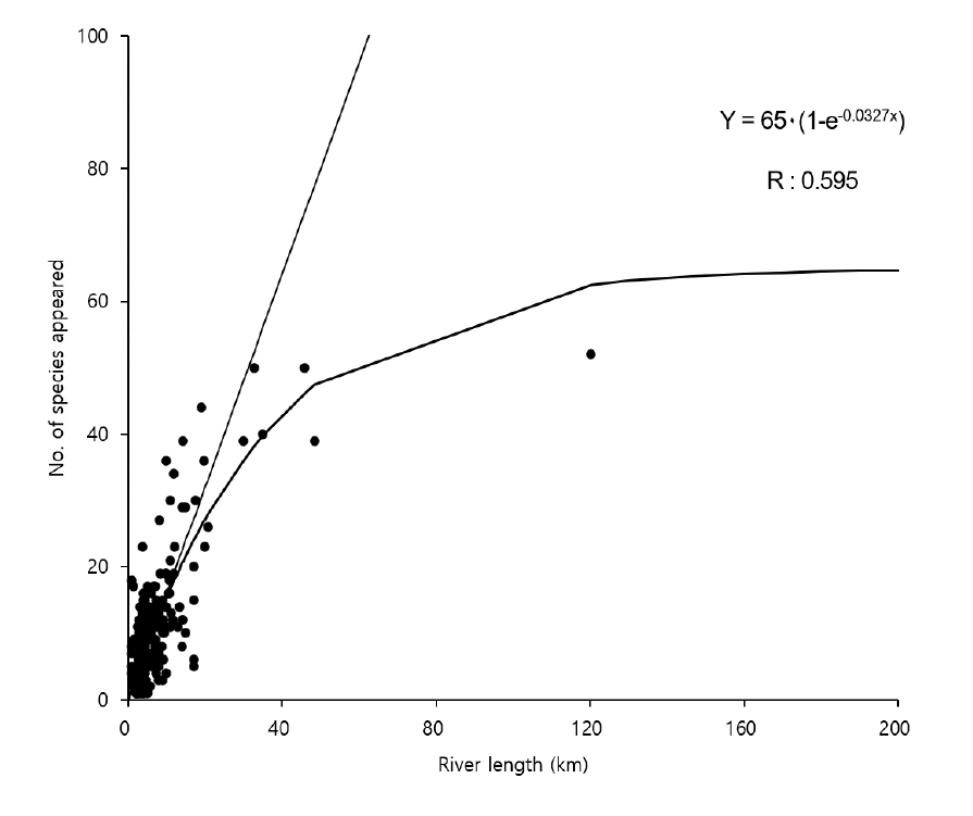
하천 연장에 따른 출현어류 종수의 관계를 분석한 결과 이들의 분포 특성은 비선형최대지수증가 함수관계식 (Nonlinear exponential rise to max relationship)으로 표현되었다. 섬진강 수계 하천에서 확인된 총 출현 종수는 78종이었으나, 해산어와 기수성어종을 제외하면, 이론적인 최대출현 종수는 65종이다. 따라서, 본 모델에서 점근선 (Asymptotic line)은 65종으로 고정하여 핏팅하였다. 섬진강수계에서 하천연장은 어류 출현종수와 밀접한 관련을 가지고 있으며, 모델계수 (b)는 0.03으로, 전체 분산값의 약 59.0%를 설명하는 것으로 나타났다 (Fig. 2).
이러한 모델계수는 다른 수계와 비교했을 때 금강 (0.03, 15개 중권역 210개 대상하천 분석)과 같았고, 영산강 수계 (0.04, 8개 중권역 108개 대상하천 분석)보다는 작지만, 한강 (0.01, 18개 중권역 455개 대상하천 분석), 낙동강 (0.02, 23개 중권역 543개 대상하천 분석)보다는 큰 것으로 나타났다 (미발표자료). 또한, 모델의 초기기울기 (initial slope, α) 값은 1.6이었고, 이는 다른 한강 (0.8), 낙동강 (1.0), 금강 (1.4), 영산강 (1.5) 수계와 비교시 가장 높은 값을 가지는 것으로 나타났다 (미발표자료). 모델계수와 초기 기울기가 크다는 것은 동일한 하천규모에서 출현종수가 많다는 것을 의미한다. 즉, 다른 수계에 비해 종 다양성이 높은 하천임을 나타내는 지표가 될 수 있다. 본 모델식을 기반으로 어류서식기대종수 (ENFS)를 계산하였다.
3.3 수계 하천 수준에서 출현종수와 예측 기대종수간의 차이
모델식을 기반으로 각 하천별로 모델로부터 예측된 서식가능기대 종수와 실제 관찰된 종수간에 차이를 비교분석 하였다. 중권역에 포함된 210개 대상하천 가운데 실제 출현 종수가 예측기대종수를 초과하는 하천은 100개로 약 47.6%를 차지하였고, 200% 이상 초과하는 하천도 8.1% (17개 하천)으로 나타났다. 반면, 실제 종수가 예측기대종수의 60% 미만으로 달성도가 낮은 하천은 총 58개로 이는 전체 조사대상 하천의 약 27.6%로 조사되었다 (Fig. 3). 이들 하천의 경우 서식가능기대종수에 현저히 미달하는 하천으로 판단되며, 수생태계 연속성 확보를 위한 계획수립이 필요한 것으로 판단된다.
3.4 섬진강 수계 하천의 보 밀도 현황
섬진강 수계에서 하천연장 대비 평균 보 밀도 지표는 약 2.7±2.1개/km 정도인 것으로 파악되었다. 이는 다른 한강, 낙동강, 금강, 영산강 등 4대강 수계 평균 보 밀도와 비교했을 때 섬진강 수계 하천의 평균값이 가장 높은 것으로 나타났다 (Table 2). 이러한 차이는 유역내 토지이용, 경작지의 비율, 농업용수 이용량 등과 관련이 있을 것으로 추정된다.
Table 2.
Average index of weir’s density (IWD) and proportion of paddy and dry fields in the watershed of the five major rivers, Korea
| River systems | N | IWD per Km ±SD |
| HNR* | 455 | 1.3±1.2 |
| NDR* | 453 | 1.7±1.6 |
| GUR* | 201 | 1.5±1.3 |
| YSR* | 108 | 1.4±1.1 |
| SJR | 201 | 2.7±2.1 |
3.5 보 밀도에 따른 어류 출현종수 관계
섬진강 수계 지방하천을 대상으로 보 밀도 대비 어류 출현 종수 관계를 분석한 결과 전체적으로 보 밀도 증가에 따라 하천에서 어류의 출현 종수는 지수함수적 감소 (Exponential decline) 경향을 보였다 (Fig. 3). 2-DKS 분석 결과 어류의 출현 종수는 보 밀도 지표에 의존하는 분포패턴을 보였다 (Dmax=0.048, p<0.05). 보 밀도 지표와 출현 종수 간에 최대 차이를 보이는 역치값 (Threshold value)은 보 밀도 2.5개/km 이상에서 출현종이 감소되는 변곡점이 확인되었다 (Fig. 4). 현재 섬진강 수계 하천의 평균 보 밀도는 2.7개/km로서 이는 역치값을 벗어나고 있어, 수생태계 영향을 주는 것으로 판단된다. 따라서, 역치값 이내로 보 밀도를 관리하기 위해서는 현 수준에서 평균 5% 이상 보 밀도 감축이 필요한 상황이다.
3.6 중권역 수준에서 보 밀도에 따른 어류 출현 종수
9개 중권역에 속한 하천들의 평균 보 밀도 (IWD)와 이에 따른 출현종수 대비 기대종수 비율을 비교해본 결과 중권역 단위에서는 특정한 관련성을 보이지 않았다 (Table 3). 평균 IWD는 1.8 - 2.4 범위였고, 이에 다른 출현종수 대비 기대종수 비율은 60 - 132%까지 크게 변동하는 것으로 나타났다. 보성강수계 (BSR)와 요천수계 (YC)에서 100% 미만으로 낮게 나타났고, 그 외 권역 하천 수계에서는 모두 100% 이상으로 권역간 변별력은 나타나지 않았다.
Table 3.
Relationship between average IWD and proportion of appeared and expected species at middle territory leverl
3.7 보 밀도에 따른 어류 출현 종수 영향
실제 출현 종수가 예측 기대 종수에 미치는 못하는 110개 하천을 대상으로 보 밀도 지표를 분석한 결과 실제 출현종수가 예측기대종수의 70% 미만인 하천이 76개로 69.0%를 차지하였고, 평균 IWD는 2.5개/km로서 이는 2-DKS 분석에 따른 역치값과 일치한다. 이러한 결과는 하천에서 보 밀도가 역치값 이상으로 분포시 어류 출현종수 대비 기대 종수비율은 70% 미만으로 낮아진다는 것을 의미한다. 기대종수의 비율이 70% 이상인 경우 보 밀도 지표는 2.5 이하로 낮아지는 것을 확인하였다. 따라서, 하천에서 수생태계를 고려한 보 밀도 관리는 보 밀도 자료를 기준으로 역치값 이하로 관리하는 것이 필요하다.
반면, 보 밀도 지표가 높음에도 불구하고 어류 출현종수 대비 기대종수의 비율이 100% 이상으로 높은 경우 보에 설치된 어도의 기능으로 연속성이 충분히 확보된 경우로 판단 할 수 있으며, 보 밀도 지표가 낮지만 출현종수 비율이 현저히 낮은 하천의 경우 보에 의한 영향보다는 유역내 다른 오염원이나, 유량 부족에 따른 영향이 발생하는 것으로 판단되며 이에 대한 별도의 원인 규명이 필요한 것으로 판단된다.
4. 결 론
섬진강 수계 210개 지방하천을 대상으로 하천연장과 보 밀도 (IWD) 대비 어류출현종수 관계를 분석한 결과 하천연장에 따른 어류 출현종수간 비선형지수함수 관계를 보였다. 이에 따른 모델계수 (b)와 초기기울기 (Initial slope, α) 값은 타 수계 하천과 비교시 높은 값을 가지는 것으로 나타났고, 이는 동일한 하천규모에서 종 다양도가 높다는 것을 의미한다.
모델식을 기반으로 각 하천별로 예측된 서식가능기대 종수와 실제 관찰된 종수간에 차이를 분석한 결과 실제 종수가 예측기대종수에 미치지 못하는 하천은 110개 하천으로 약 52.4%를 차지하였고, 이 가운데 예측기대종수에 60% 미만으로 달성도가 낮은 하천은 조사대상 하천의 약 27.6%로 조사되었다. 이들 하천의 경우 서식가능기대종수에 현저히 미달하는 하천으로 수생태계 연속성 확보를 위한 계획수립이 우선적으로 필요할 것으로 판단된다.
보 밀도 (IWD) 대비 어류 출현 종수 관계를 분석한 결과 보 밀도증가에 따라 하천에서 어류의 출현 종수는 지수함수적 감소 경향을 보였으며, 2-DKS 분석 결과 어류의 출현 종수는 보 밀도 지표에 의존하는 분포패턴을 보였다 (Dmax=0.048, p<0.05). 보 밀도 지표와 출현 종수 간에 최대 차이를 보이는 역치값 (Threshold value)은 보 밀도 2.5개/km 이상에서 출현종이 감소되는 변곡점이 확인되었다. 현재, 섬진강 수계 하천의 평균 보 밀도는 2.7개/km로서 이는 역치값을 벗어나고 있어, 수생태계에 영향을 주는 것으로 판단된다. 따라서, 역치값 이내로 보 밀도를 관리하기 위해서는 현 수준에서 평균 5% 이상 보 밀도 감축이 필요한 상황이다.
하천에서 보 밀도 (IWD)가 역치값 이상으로 분포시 어류 출현종수 대비 기대 종수비율은 70% 미만으로 낮아지는 반면, 어류서식기대종수의 비율이 70% 이상인 경우 보 밀도 지표 (IWD)는 2.5 이하로 낮아지는 것이 확인되었다. 따라서, 하천에서 수생태계를 고려한 보 밀도 (IWD) 관리는 역치값 이하로 관리하는 것이 필요하다.






