1. 서 론
하천설계기준에서 어도는 하천에 어류의 이동을 곤란 또는 불가능하게 하는 장애물이 있을 경우 이를 해소할 수 있도록 만들어진 수로 또는 장치라고 정의하고 있으며 (MLIT 2018), 내수면어업법에서는 어도란 하천에 서식하는 회유성 어류 등 수산생물이 원활하게 이동할 수 있도록 인공적으로 만들어진 수로 또는 장치로 정의하고 있다 (MOF 2023). 국내에서는 1966년 강원도 양양 남대천에 도벽식 어도가 최초로 설치되었으며, 1971년 수산자원보호령 제12조에 어도설치가 의무화되면서 국내 어도설치가 활발해지기 시작하였다 (Shin et al. 2020)
하천에 설치하는 어도에는 계단식, 도벽식, 버티컬슬롯식, 아이스하버식이 있다 (FISHWAY 2023). 2022년 기준으로 국내에는 총 5,576개의 어도가 설치되어 있으며, 계단식 1,108개, 도벽식 1,484개, 버티컬슬록식 129개, 아이스하버식 724개, 기타 2,131개가 설치되어 있다 (FISHWAY 2023).
어도는 대부분 콘크리트 제품으로 설치되고 있다. 콘크리트가 하천에 접촉할 경우 강염기 (pH 약 12)가 10년 정도 지속적으로 용출되어 하천생태계에 악영향을 미치고 있다는 연구결과가 있다 (Hillier et al. 1999, Li et al. 2001, Park et al. 2015, Kim et al. 2016, Lee et al. 2019). 콘크리트 제품은 내구성은 높으나 독성물질 용출로 수생태계에 부정적 영향을 미치며, 경관 훼손 등을 야기하고 있다 (Tang et al. 2018, Lee et al. 2019). 이에 하천생태계 악영향 및 경관 훼손을 최소화 할 수 있는 친환경어도 및 이동효율을 높일 수 있는 어도 조성 기술개발이 필요하다.
바이오폴리머 신소재를 활용한 어도 조성 기술은 골재와 골재사이를 무독성 소재인 피마자유에서 추출한 바이오폴리머 소재와 결합한 일체형 다공성 구조물로써 표면에 식생을 활착시킬 수 있는 친환경 소재를 활용한 어도이다.
본 실험연구는 바이오폴리머 (BP)와 골재를 이용하여 어도를 조성하여 이동효율이 높고 친환경적인 어도조성기술을 제시한 것이다. 본 실험적 연구는 개발기술의 성능을 평가하기 위해 실규모 실험을 수행하여 실제 현장 적용 가능성을 검증하였다. 본 연구를 통하여 쇄석골재와 바이오폴리머를 활용한 어도가 콘크리트 어도를 대체할 수 있는 가능성을 분석하였다.
바이오폴리머와 골재를 혼합한 어도는 주요재료인 바이오폴리머와 골재를 혼합하여 만든 친환경 어도조성 기술이다. 주재료인 바이오폴리머는 생물학적 공급원에서 형성되는 유기 침전물이다. 본 기술은 피마자유에서 추출한 바이오폴리머 접착소재와 골재를 활용하여, 하천 내 횡단구조물로 인하여 이동이 차단된 어류를 이동시키기 위한 기술로 기존 하천내 횡단구조물에 어도를 조성시 활용할 수 있다. 이 기술은 교반과정에서 골재의 표면을 코팅한 바인더가 주변골재와 다점접착을 통해 불규칙하고 연속적인 공극을 지닌 다층다공성 형태로 제작이 되며, 높은 수압과 고유속 조건에서도 소재의 이탈없이 안전하게 어도의 기능을 할 수 있다 (Fig. 1).
본 어도 조성 기술은 콘크리트를 이용하는 기존 어도와 달리 친환경 바이오 폴리머와 천연골재를 교반하여 별도의 사전 작업없이 조성 가능하고 높은 수압과 고유속에도 유실되지 않으며, 강도와 내구성도 뛰어나 안전하다. 특히 불규칙하고 연속적인 내부공극은 유체 에너지를 약 30%정도 저감시켜 구조물의 안정성을 증대시킬 수 있다. 신소재 바이오 폴리머는 가수분해 및 자외선에 매우 강하여 내구성 수명이 80 - 100년 이상인 것으로 추산되었으며, 자연 상태의 자외선이 12년 경과한 이후 시점에서도 강도의 저하가 없었다 (Kang et al. 2023).
시공은 골재 및 바인더 교반 후 포설하는 단순한 공정으로 쉽게 설치가 가능하며, 별도의 기초가 필요하지 않아 공기가 짧으며, 시공성이 좋아 시공비 절감 및 공기의 단축효과가 있다. 개발기술은 가물막이 공사 없이도 수중시공이 가능하다. 또한 하천 횡단구조물의 형태에 따라 원하는 형상으로 모양 구현이 가능하다는 장점이 있다.
2. 연구 방법
2.1. 어도 설치
어류의 어도 이용효율 실험을 위하여 한국건설기술연구원 안동 하천실험센터 내 직선 수로 (A1 급경사수로)를 이용하였다. 수로의 제방 폭은 15 m, 하폭은 5 m이며 전체적으로 흙제방의 형태를 가지고 있다. 바닥은 모래와 자갈이 혼재되어 있다. 수로가 곧은 직선의 형태를 띄고 있어 물 흐름을 일정하게 유지할 수 있으며 실험은 A1 수로 내에 쇄석골재와 바이오폴리머를 활용하여 실험을 위해 설치한 격벽식 어도에서 수행하였다 (Fig. 2).
실험에 사용된 어도의 형태는 격벽식 (도벽식) 어도로서, 쇄석골재와 바이오폴리머를 활용하여 구축되었다. 어도의 경사도는 1/20 이었으며, 좌안 3개의 격벽과 우안 4개의 격벽으로 총 7개의 격벽으로 구성하였다 (Fig. 3). 어도는 총 22 m 구간에 걸쳐 설치하였으며, 어도 최상단에는 월류벽을 설치하여 유속을 일시적으로 늦추어 유량에 대한 어도 격벽의 충격을 줄이고, 수심을 일정하게 유지할 수 있도록 하였다.
실험이 진행되는 동안 어류가 실험구간을 이탈하지 못하게 하기 위하여 망목 5 mm 철조망을 어도가 끝나는 지점에서 15 m 지점에 설치하였다. 어도의 상류방향에는 어도를 거슬러 올라간 어류를 포획하기 위하여 일각망을 설치하였다.
2.2. 어류 채집 및 Tag 삽입
실험에 사용된 어류는 경북 봉화군 봉화읍 삼계리에 위치한 내성천과 가계천, 경상북도 안동시 풍산읍 하리리의 풍산천 등에서 채집하였으며 채집은 투망 (망목7×7 mm), 족대 (망목 4×4 mm), 일각망 (유도망 길이 6 m, 망목 2 mm)을 이용해 채집하였다. 하천에 서식하는 모든 어종을 대상으로 어도 이용가능성이 있다고 판단하고 채집된 모든 어종을 대상으로 tag (APT12 PIT Tag & Biotherm 13 Pit Tag, biomark, USA)를 적용하였다. Tag의 적용은 채집된 어류 중 tag의 무게가 체중의 2 - 5%를 넘지 않는 범위에 포함되는 어류만을 선택하여 tag을 삽입하였다. 채집된 어류는 즉시 산소가 공급되고 있는 간이 풀 (pool) (크기:2.2×1.5×0.6 m)로 이동되어 안정을 찾을때까지 순치시켰다. 이후 플라스틱 수조 (크기:0.4×0.3×0.5 m)에서 Ethyl 3-aminobenzoate methanesulfonate salt (Sigma-Aldrich, Germany)를 0.1 g/L의 양으로 첨가한 용액을 이용해 마취시켰다. 각 tag의 고유번호는 어류 체내 삽입 전 작동유무를 파악하기 위해 PIT portable reader (HPR Plus Reader, biomark, USA)를 이용하여 확인하고 현장기록지에 기록하였다. 이후 마취된 개체의 복부를 수술용 메스를 이용해 2 mm정도 절개 한 후 tag을 복강에 삽입하였다 (Fig. 4). 삽입이 완료된 개체는 다시 산소가 공급되고 있는 플라스틱 수조 (크기:0.4×0.3×0.5 m)로 이동되어 회복 될 때까지 안정을 취한 후 냉각수조 (크기:2×1×1 m)로 이동하였다.
Pit-tag 안테나는 어도 전체에 걸쳐 3개를 설치하였다. 안테나의 간격은 11 m로 설정하였으며 어도의 최상단, 중앙, 최하단에 각각 설치하였다. 신호 수신기는 현장에서 그 성능을 확인하며 미세조정을 하였으며, 전원공급을 위하여 태양광 충전방식의 배터리를 각각 설치하였다 (Fig. 5).
PIT-tag (Passive Integrated Transponder-tag)가 삽입된 어류는 방류전 PIT portable reader에 먼저 삽입된 tag를 인식 시킨 후 방류하였고, 방류 이후 일각망을 수거하여 소상개체를 확인하였으며, 새로 방류되는 개체와 함께 재방류 하였다. 실험은 총 5일간 수행되었다.
2.3. 어류이동효율 분석
어류이동효율 분석을 위해 실험을 일자와 회차로 구분하여 분석을 실시하였다. 일자는 1 - 5일차로 구분하였으며, 00시 - 24시로 구분하였다. 회차는 총 4회차로 구분하였으며, 방류시간을 기준으로 각 회차를 구분하였다. 통계분석은 일원배치분산분석 (One-way ANOVA)을 통해 수행하였으며 SPSS 24 (SPSS 24, SPSS Inc, Chicago, IL, USA)를 이용해 수행하였다.
유량은 어도의 상단 월류 수심이 일정하게 유지되도록 0.5 CMS의 유량을 수로에 공급하였다.
어도 내 수리수문 조사를 위하여 측선별 수심, 유속을 측정하였다. 측선은 총 11개를 선정하였으며 측선별로 3개 지점을 선정 (우안 제방으로부터 1/3, 1/2, 2/3 지점), 지점별 2회 측정하였다. 평균유속 측정법 중 2점법 (Vm=1/2*(V0.2+V0.8)에 따라 지점별 유속을 측정 (월류벽은 1점법 적용) 하였다 (Fig. 6). 수심 및 유속 측정 결과를 바탕으로 어종별 이동특성 (NIER, 2023)과 비교분석하여 방류한 어종별 어도의 통과가능여부를 분석하였다.
3. 연구 결과
어도 내 수리수문 특성 분석 결과 수심은 평균 0.07 - 0.71 m인 것으로 나타났으며, 상류에서 하류로 갈수록 깊어지는 것으로 나타났다 (Table 1).
Table 1.
Water depth measurement results
유속 분석 결과 평균 0.06 - 0.76 m/s 의 유속을 보였으며, 상류에서 하류로 갈수록 느려지는 것으로 나타났다 (Table 2). 격벽이 있는 구간 (Line 3, 5, 7, 9)이 격벽과 격벽사이 구간 (Line 4 ,6, 8, 10)보다 유속이 빨랐다. 또한, 하류쪽이 상류보다 수심이 깊고 유속이 느린 것으로 나타났으며, 2번째 격벽 이후 (Line 5) 유속이 없거나 음수인 구간이 나타났다.
Table 2.
Flow velocity measurement results
측선별 평균유속을 도출하여 방류한 어류별 어도의 통과가능여부 분석 결과 모든 종이 통과 가능한 것으로 분석되었다 (Table 3). 어도 내 최소 수심 구간은 첫번째 격벽 구간으로 평균 수심이 0.17 m 였으며, 방류한 어류 중 가장 깊은 최소유영수심을 가지는 메기 (0.14 m)보다도 수심이 깊은 것으로 나타나 방류한 모든 어류가 어도를 통과 가능한 것으로 분석되었다. 어도 내 최대 유속 구간은 첫번째 격벽 구간으로 평균 유속이 0.76 m/s 였으며, 방류한 어류 중 가장 느린 최대유영속도를 가지는 참몰개 (1.0 m/s)보다도 유속이 느린 것으로 나타나 방류한 모든 어류가 어도를 통과 가능한 것으로 분석되었다.
Table 3.
Analysis of passability by fish species
방류된 어류의 이동률 확인 결과, tag를 삽입하고 방류된 어류는 총 14종 201개체였으며, 방류된 어류 중 안테나에 감지된 어류는 총 14종 177개체로 나타났다 (Table 4). 방류된 개체의 감지율은 평균 82.6%로 높은 것으로 나타났다. 감지율이 100%로 나타난 종은 메기, 모래무지, 배스, 붕어, 잉어, 참마자 등 6종으로 확인되었으며 가장 낮은 종은 끄리로 3개체가 방류되었으나 1개체가 감지되어 33.3%의 감지율을 보였다. 방류된 개체의 평균 통과율은 21.7%로 나타났다. 이중 가장 높은 통과율을 보인 종은 참갈겨니로 58.6%의 통과율을 보였으며 다음으로 모래무지와 블루길로 16.7%의 통과율을 보였다.
Table 4.
Entrance antenna arrival rate for each fish per round
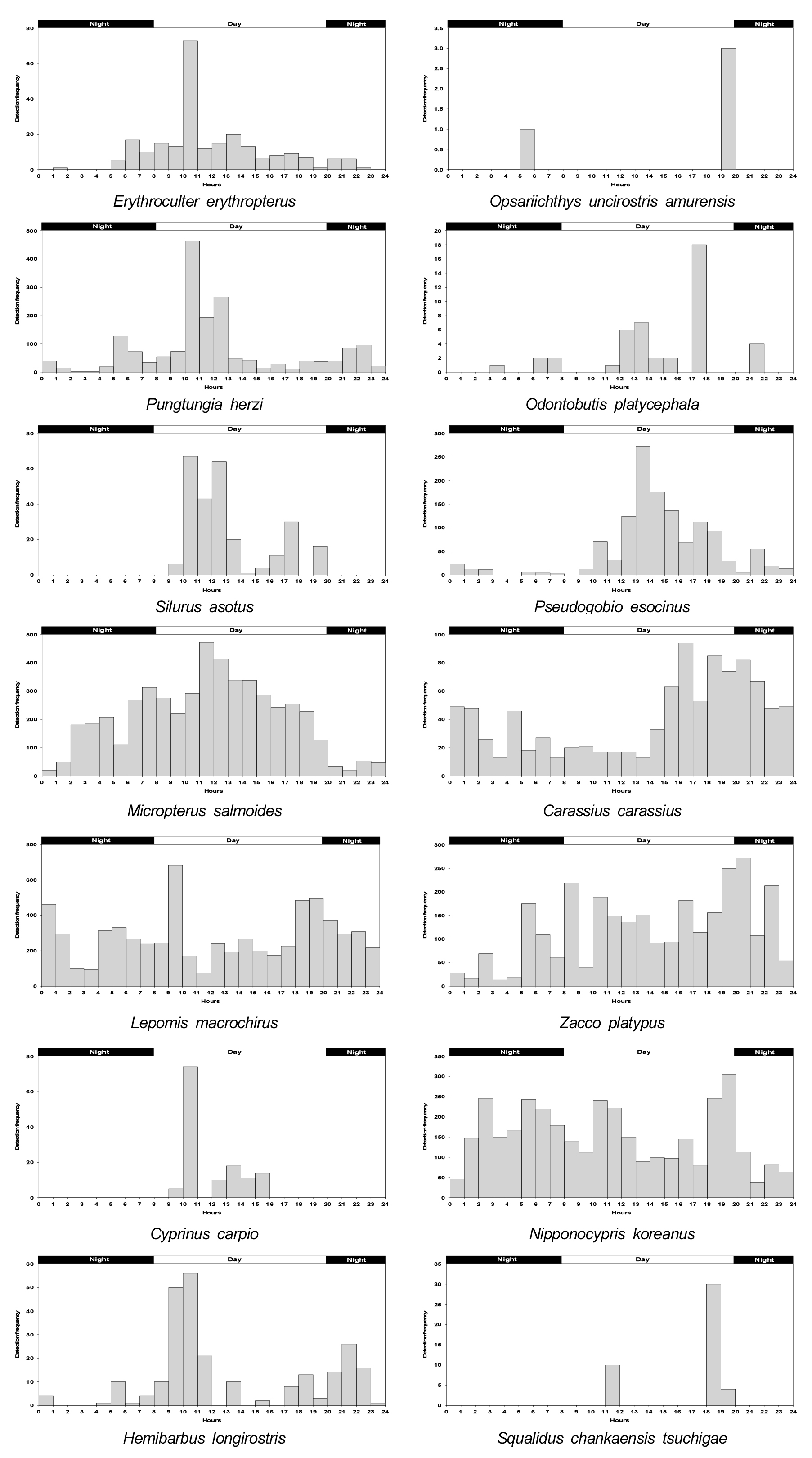
실험기간 내 일주기 이동패턴을 확인한 결과, 각 종별 감지빈도가 주간과 야간에 다르게 나타났다 (Fig. 7). 모든 어류가 주간에 주로 이동하는 것으로 나타났으나 붕어 (주간: 59%, 야간: 41%)와 블루길 (주간: 57%, 야간: 43%), 참갈겨니 (주간: 56%, 야간: 44%)는 비슷한 비율을 보였으며, 배스 (주간: 71%, 야간: 29%)는 12시 - 13시가 이동시간의 최고점을 보였다. 그리고 메기, 잉어, 참몰개는 주간에만 감지되었으며 종별 감지빈도가 많은 시간대는 다르게 나타났다.
각 회차에서 방류된 어류가 입구부 안테나에 도달할 확률을 산정하였다 (Table 4). 방류된 14종의 평균 도달 확률은 84.4%로 나타났다. 각 종별 확률을 확인한 결과 강준치, 돌고기, 메기, 블루길, 잉어, 참갈겨니, 참몰개는 방류된 모든 종이 입구부 안테나에 도달 (100%)하는 것으로 확인되었으며, 참마자와 돌고기는 87.9%, 84.7%의 확률로 입구부 안테나에 도달하는 것으로 확인되었다. 모래무지 (58.3%)와, 붕어 (66.7%), 피라미 (50.0%)는 방류 후 평균 50% 이상의 확률로 입구부 안테나에 도달하는 것으로 확인되었다. 반면, 동사리는 37.5%의 확률로 입구부 안테나에 도달하는 것으로 확인되었다.
4. 결 론
어도 내 유속 및 수심 측정결과 방류한 모든 어류가 통과 가능한 유속과 수심을가지는 것으로 나타났다. 격벽이 있는 구간이 격벽과 격벽사이 구간보다 유속이 빨랐는데 이는 일정한 유량조건에서 실험을 수행하였기 때문에 격벽이 있는 구간은 유폭이 좁아 유속이 빨라지는 것으로 판단된다. 하류쪽으로 갈수록 유속이 느려지는데 이는 하류쪽으로 가면서 물이 정체되고 와류가 발생하면서 나타난 것으로 판단된다.
실험을 위해 tag가 삽입되어 방류된 어류는 14종 201개체, 감지된 종은 14종 178개체로 평균 감지율은 82.6%로 나타났다. 어도를 통과하여 상류로 소상한 어류는 총 6종 40개체로 평균 통과율은 21.7%로 확인되었다.
어도 내 이동패턴 분석 결과 어류들은 주로 주간에 상류로 이동하는 것으로 나타났으며, 야간보다 주간에 이동이 더 많은 것으로 확인되었다. 또한 어종별 이동 패턴을 확인한 결과에서도 어도 내 이동패턴과 동일한 경향으로 확인되었다.
입구부 안테나 도달률은 어도가 하천에 실제로 설치되었을 경우 어류가 어도로 이동할 수 있는 유인률로 볼 수 있다. 유인률이 높을수록 어류가 어도를 이용해 상류로 소상할 가능성이 높아 어도 이용율도 높아질 수 있기에 중요한 척도라고 할 수 있다. 국내에서 친환경 어도로 평가받는 자연형 어도 (Nature-Like Fishway)를 대상으로 어도 효율성 평가를 수행한 Kim et al. (2015)의 연구에서 유인율과 통과율이 각각 20.7%, 14.5%로 확인되었다. 본 연구에서는 입구부 안테나 도달률인 유인율이 약 84.4%, 통과율이 21.7%로 선행 연구보다 수치적으로 높은 것으로 나타났다. 하지만 선행연구의 경우 투입된 종과 개체의 수, 실험구의 크기를 고려해야 하기 때문에 직접적인 비교를 수행하는데에는 어려움이 있다.
본 실험 결과인 어도내 이동패턴과 어도 일주기 이용패턴을 분석한 결과 유영능력이 원활환 종의 경우 어도를 통해 상류로 소상할 수 있는 것으로 확인되었다. 또한 저서성 어류인 모래무지도 어도를 이용해 상류로 소상할 수 있는 것으로 확인되었다. 반면, 동사리나 메기의 경우는 어도를 통해 상류로 소상하기에는 다소 부족한 것으로 확인되었다.
배스와 블루길은 생태계 교란종으로 하천에서 피식-포식 작용으로 인한 국내종의 다양성 감소에 원인으로 주목받고 있는 어류이다 (Lee at al. 2013, Byeon 2015, Byeon 2018, Park et al. 2019). 이러한 어류들이 국내종과 동일하게 어도를 소상하고 상류로 소상할 경우 분포지의 확대와 더불어 국내종의 다양성에 큰 영향을 줄 수 있다. 따라서 개발된 어도를 보완하여 이러한 종들의 확산을 방지할 수 있도록 해야할 필요성이 있다.
본 실험에서의 결과와 선행연구들의 결과를 비교하였을 때 바이오폴리머를 활용한 어도와 콘크리트 어도의 기능적 차이가 크지 않은 것으로 판단되며, 바이오폴리머를 활용한 어도는 기존 콘크리트 어도를 대체해 사용할 수 있을 것으로 판단된다.
본 연구는 피마자유 기반 바이오폴리머와 골재를 혼합한 어도를 인공 수로에 설치하여 어류의 이동 유무 및 효율을 측정한 실험적 연구이다. 향후 실제 하천 환경 (유속, 수온, 유량 등)과의 상관성에 대한 추후 연구가 필요하며, 이러한 연구들을 통한 어도의 효율성과 적합성에 대한 연구가 추가적으로 필요할 것으로 생각된다.









