1. 서 론
용수 이용 목적의 고정보는 유수방해, 토사퇴적으로 인한 수질오염, 홍수위 상승 등의 다양한 문제를 야기시키고 있다. 이의 개선을 위하여 중소하천에 다양한 형태의 운영방식이 적용된 가동보를 설치하여 용수 이용과 하천기능의 복원을 위한 정비사업이 진행되고 있다. 하천관리의 목표는 하천의 이수, 치수 및 생태환경을 조화롭게 유지하면서 각 기능을 극대화시키는 것이다. 이러한 목표를 위해서 다양한 형태의 가동보를 고려할 수 있다. 대표적인 가동보는 회전식, 승강식, 전도식이 있으며 이 중에서 승강식의 형태를 갖는 하단배출형 가동보 (vertical lift weir)는 하천에서 가동보에 의해 물을 저수하고, 저수된 물을 보 상류에서 유입되는 유입수량 만큼 수문 하단 개도부를 통하여 방류하도록 하여, 일정량이 항상 저류되면서 용수 이용과 퇴적토사가 배출되도록 하여 수질을 개선하는 방식이다.
하천에서 수리특성 분석에 관한 연구로 Kim et al. (2003)은 가동보의 형식에 따른 수리현상과 수질개선효과를 분석하였고, Ahn and Lyu (2013)은 4대강 살리기사업 전과 후 하천단면을 이용하여 1차원 수리모형을 구축하고 부정류 흐름해석을 통해 흐름의 천이를 반영하고 수리시설물 (다기능보) 운영을 통한 수리특성을 분석하였다.
또한, 하천의 홍수관리에 대한 연구도 활발히 진행되고 있다. Kim et al. (2011)은 가동보의 적절한 운영 기준을 찾기 위해 보 상류 수위의 상승에 따른 가동보의 개방정도를 다양한 조건으로 구성하고 각각의 모형에 동일한 홍수사상을 적용하여 홍수 모의를 실시하였다. Kang et al. (2011)은 HEC-RAS를 이용하여 극한홍수 사상에 대한 천변저류지의 홍수위 저감효과를 분석한 바 있고, Noh et al. (2012)은 홍수조절을 위한 다양한 수리구조물 운영을 고려한 경계조건을 적용하여 홍수기 실질적인 뱃길 운영에 대한 적용성을 높였으며 모형의 검보정을 통하여 구축된 모형의 타당성을 검토하였다. Kwon et al. (2013)은 홍수조절 연계운영 시스템을 통하여 홍수저감대책을 확립시키고 유역의 홍수량을 효과적으로 조절할 수 있는 방법을 연구하였다. Lee et al. (2014)은 부정류 해석모형에 조절구조물의 영향을 정교하게 반영할 수 있는 내부경계조건 모듈과 하류부 구조물의 세굴심을 예측할 수 있는 세굴예측 모듈을 결합한 개선된 수리학적 모형을 적용하여 홍수기에 가동보 수문을 완전 개방한 경우, 부분 개방한 경우 및 가동보 수문이 완전 폐쇄된 경우 등 세가지 시나리오에 대해 홍수위 모의를 진행한 바가 있다.
국외 연구로는 Luis et al. (2013)은 수력발전과 홍수 제어 구조물의 홍수제어에 따른 저수지 저류 용량 감소의 효과를 강조하였다. Raymond (2014)는 댐은 홍수저감을 제공하고, 홍수의 고유 특성에 따라 다양한 홍수저감 성능을 분석하였다. Navarathinam et al. (2015)은 Malwathoya 하부 유역의 홍수와 가뭄의 저감에 대한 댐의 효과를 연구하였다. Yoshioka et al. (2015)는 수문 개도높이, 수문 개도 개수, 조작 간격 등 수문을 통해 지역과 배수 용적 내의 침수 피해에 초점을 두고 연구를 진행하였다.
본 연구에서는 금강의 지류인 치성천의 홍수위가 상습적으로 발생하는 구간에 대하여 하단배출형 가동보를 다단으로 배치하였을 경우, 다단 배치에 의한 가동보의 관리수위 제어에 따른 홍수위 저감과 저류 효과를 분석하였다.
2. 연구 대상 지역 및 방법
2.1 연구 대상 지역
본 대상지역은 충남 청양군 정산면 해남리를 기점 경계로 하고, 충남 청양군 목면 화양리 금강 (국가) 합류점을 종점으로 하는 지방하천인 치성천이다 (Fig. 1). 치성천 유역은 면적 43.55 km2, 유로장 11.97 km, 형상계수 0.30의 긴 사각형에 가까운 형태를 가지고 있고, 유역형상은 수지형으로 유수가 하천에 집중되는 일은 없으나 하류에 금강 합류부에서의 배수 영향으로 홍수범람이 자주 발생한다 (Chung Nam Provincial Government, 2008). 따라서, Fig. 1과 Table 1에서 같이 설치된 고정보의 고유기능인 저류량을 확보하면서, 금강과 합류하는 지점인 하단 보 하류에서의 홍수저감 효과를 분석하기 위해서 5개의 보를 3개의 하단배출형 가동보로 대치하여 저류에 따른 홍수조절 효과를 분석하였다.
2.2 연구 방법
금강 지류 치성천 유역은 현재 고정보가 설치되어 있고, 하류부에서 금강본류에 의한 배수위 영향으로 빈번하게 홍수범람이 발생한다. 따라서 이 지역을 대상으로 Table 1에서와 같이 하류단부터 하단배출형 가동보를 다단으로 고정보 2와 4는 제거하고 고정보 1, 3, 5 지점에 계획하여 홍수위 저감을 분석하고자 한다. 고정보와 가동보의 홍수저감의 비교 분석을 위해 현 상태와 5개의 고정보 설치 경우와 3개의 가동보 설치에 따른 관리수위별 상황을 Table 2에서와 같은 시나리오 (scenario)에 대해 적용하였다. 저류와 홍수조절 효과 분석을 위한 시나리오는 현 상태부터 다단 배치된 하단배출형 가동보의 최고 관리수위를 정의하고 이의 조정에 의한 다양한 6 경우 관리수위에 대해 구성하였다. 시나리오 I은 고정보 설치 시, 시나리오 II-VII는 하단배출형 가동보를 다단으로 배치하였고, 시나리오별 관리수위는 Table 2와 같이 설정하였다.
하단배출형 가동보는 승강식 수문으로서, 평시에 저수기능을 가지며, 필요 시 하단을 적절하게 개방하여 토사배출과 적정 저류기능을 가지고, 홍수 시에는 완전 개방하여 홍수량이 원활히 소통되도록 한다. 본 연구에서 가동보의 다단 배치 방식은 가동보를 설치하였을 때 상한수위가 끝나는 지점에 맞춰 상류에 가동보를 설치하는 것으로 정의하였다 (Fig. 2).
2.3 수치모형의 적용
본 연구에서는 치성천 6 km 구간에 대해서 HEC-RAS 모형을 적용하였다. HEC-RAS에서는 수리구조물의 수문조작을 고려하기 위해 time series gate openings, elevation controlled gates, navigation dams, rules의 4가지 방법으로 구성할 수 있고, 본 연구에서는 elevation controlled gates를 적용하여 모형을 구성하였다 (Hydrology Engineering Center, 2010). 모형의 입력자료는 치성천 하천기본계획에 수록된 하천단면과 조도계수를 이용하였다. 상류단 경계조건으로 10년 빈도 홍수추면 추적을 위한 유입수문곡선을, 하류단 경계조건는 등류수심을 적용하였다. 유입수문곡선은 치성천 하천기본계획에 의한 10년 빈도 홍수량과 홍수위를 이용하여 첨두 홍수량 198 m3/s, 첨두 홍수량 발생시간 0.2 hr, 홍수 지속 시간은 1 hr을 가지는 가상의 수문곡선을 작성하였다 (Fig. 3). 시나리오 I은 현 상태의 고정보를 설치하였고, 가동보가 설치된 시나리오 II-VII의 수문조작은 elevation controlled gates를 이용하여 수리구조물 상류부 특정단면에서의 수위변화를 기준으로 수문개폐를 설정하는 방식을 사용하였다.
수문을 통과하는 단면에서의 방류량은 다음과 같다.
Elevation controlled gates의 수문조작 설정은 수문의 형태 (gate type)는 sluice gate로 설정하였고, 수문의 위치에 따라 관리수위에 따른 특정 단면 (가동보 상류 단면)에서의 수문 개방 수위 (upstream water stage elevation to open, El. m)와 수문 개폐 수위 (upstream water stage elevation to close, El. m), 수문 개방 속도 (gate opening rate, m/min), 수문 개폐 속도 (gate closing rate, m/min), 수문 최대 개방 높이 (max. gate opening, m), 수문 최소 개방 높이 (min. gate opening, m)와 초기 수문 개방 높이 (initial gate opening, m)를 설정하였다.
- 자유흐름
(Eq. 1)
- 잠수흐름
(Eq. 2)
여기서 Q는 방류량 (m3/s), C는 유량계수, W는 수로 폭 (m), B는 수문 높이 (m), h는 구조물 상류수심 (m), H는 구조물 상·하류 수심차 (m)이다.
3. 결과 및 논의
3.1 시나리오별 유출수문곡선 검토
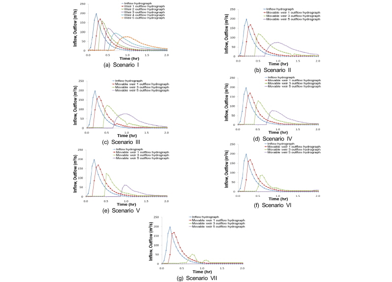
Fig. 4은 기존 고정보 설치와 시나리오별 가동보 설치 지점에서의 유입․유출수문곡선을 나타낸다. Fig. 4a는 시나리오 I으로 현재 상태를 나타내고, Fig. 4b-g는 시나리오 II-VII의 관리수위별 유입․유출수문곡선을 나타낸다. 각 가동보 설치 지점에서 첨두 유량을 시나리오 I (현 상태)과 시나리오별로 비교하였을 경우, 가동보 1 위치에서는 변화가 없었으나, 가동보 3 위치에서는 고정보에서 120 m3/s가 57% 감소한 52 m3/s로 감소하였고, 가동보 5 위치에서는 고정보에서 75 m3/s가 97% 감소한 2.5 m3/s로 감소하였다 (Table 3).
3.2 시나리오별 하류단 홍수위 검토
Fig. 5는 홍수위 저감 효과를 분석하기 위해 하류단 지점에서 관측되는 홍수위수문곡선의 결과를 시나리오별로 비교하여 홍수저감효과를 분석하였다. 각기 다른 조건으로 관측된 7가지 시나리오의 수문곡선의 변화를 하류단 지점에서 관측한 결과를 Fig. 5a에 정리하였다. 관측된 수위수문곡선을 비교한 결과, 시나리오 VI과 VII의 경우에는 홍수위 저감효과가 두드러지게 나타났다.
Fig. 5b는 고정보 설치 시 관측된 홍수위수문곡선의 첨두 수위와 하단배출형 가동보의 다단 배치 운영 조건에서 관측된 수문곡선의 첨두 수위를 비교하여 하류단 지점의 수심이 저감한 비율을 산정한 결과이다. 산정식은 고정보 설치 시 관측된 첨두 수심 대비 가동보 설치에 따른 첨두 수심의 저감 비율이다.
하단배출형 가동보를 다단 배치한 경우 하류단 지점의 최대수심 저감율은 시나리오 V에서는 6%로 저감되고, 시나리오 VI과 VII에서는 각각 59%, 82%로 크게 저감되는 것으로 나타났다. 또한, 그 외의 시나리오 II, III, IV에서는 최대수심 저감율이 1%로 낮게 나타났다. 이는 쐐기저류에 의해서 관리수심이 각 지점 상한수위의 50% 이상 되었을 때, 기존 고정보 대비 저류효과가 나타나는 것으로 판단된다.
3.3 시나리오별 저류량 검토
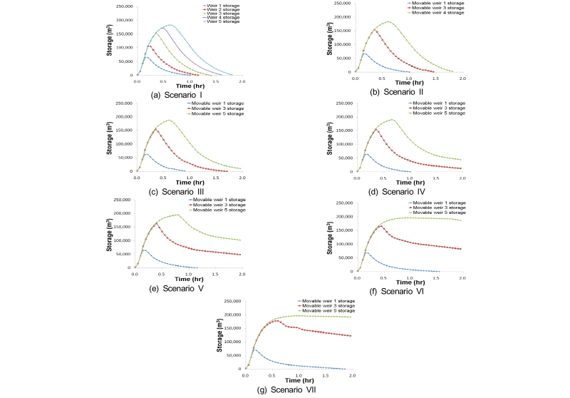
Fig. 6은 대상구간의 시간에 따른 각 지점 상류의 저류량을 나타낸다. 2시간 동안 총 저류량은 가동보 1 위치에서는 고정보에서 479,991 m3이 52%가 증가한 728,602 m3까지 증가, 가동보 3 위치에서는 고정보에서 818,399 m3이 463%가 증가한 4,605,332 m3까지 증가하였고 가동보 5 위치에서는 고정보에서 890,073 m3이 203%가 증가한 2,700,218 m3까지 증가하였다 (Table 4). 이는 관리수위가 높아짐에 따라 저류량도 함께 증가하는 것을 알 수 있다.
Table 4. Changes of storage (x103 m3) at movable weir installation sites according to each scenario.
![]() |
3.4 총 저류량과 하류단 첨두 홍수위의 관계
Fig. 7는 시나리오에 따른 저류량과 하류단 홍수위, 하류단 첨두유량의 관계를 나타낸다. 저류량과 하류단 첨두유량의 관계에서는 저류량이 증가함에 따라 첨두유량이 감소함을 확인할 수 있다 (Fig. 7a). 동일하게 저류량과 하류단 홍수위의 관계에서도 저류량이 증가함에 따라 홍수위가 감소하는 부분을 확인할 수 있다 (Fig. 7b ).
또한, 가동보가 설치된 각 지점에서의 관리수위를 각각 다르게 설정하여 데이터 조합하여 위에서와 같이 저류량과 하류단 첨두 홍수위, 유량의 관계를 통해 대상구간의 목표 저류량과 홍수 저감 수위를 위한 각 가동보의 관리수위 제안이 가능하다.
4. 결 론
치성천 하류유역에 상습적으로 홍수범람이 발생하는 구간을 대상으로 하단배출형 가동보를 다단 배치에 의한 저류와 홍수위 저감 효과를 분석하였다.
1)시나리오별 하단배출형 가동보가 다단 배치된 지점에서의 첨두유량을 비교한 결과, 가동보 1 위치에서는 변화가 없었으나, 가동보 3 위치에서는 고정보에서 120 m3/s가 57% 감소한 52 m3/s로 감소하였고, 가동보 5 위치에서는 고정보에서 75 m3/s가 97% 감소한 2.5 m3/s로 감소하였다.
2)시나리오별 하류단에서 홍수위를 비교하였을 경우, 하류단 지점의 최대수심 저감율은 시나리오 V에서는 6%가 저감되고, 시나리오 VI과 VII에서는 각각 59%, 82%로 크게 저감되는 것으로 나타났다.
3)시나리오별 저류량을 비교하였을 경우, 2시간 동안 총 저류량은 가동보 1 위치에서는 고정보에서 479,992 m3이 52%가 증가한 728,602 m3까지 증가, 가동보 3 위치에서는 고정보에서 818,399 m3이 463%가 증가한 4,605,332 m3까지 증가하였고 가동보 5 위치에서는 고정보에서 890,073 m3이 203%가 증가한 2,700,218 m3까지 증가하였다.
4)이와 같이 대상구간에 하단배출형 가동보가 다단으로 배치되었을 때 구조물 상류 구간의 관리수위가 증가함에 따라 저류량의 증가로 하류단에서의 홍수위가 저감되는 것으로 판단된다.
5)저류량과 하류단 첨두 홍수위, 유량의 분석을 통해서 가동보가 설치된 각 지점의 관리수위를 각각 다르게 설정한다면 대상구간의 목표 저류량과 홍수 저감 수위를 위한 각 가동보의 관리수위 제안이 가능하다.
6)하단배출형 가동보는 이외에도 홍수기 이후에 가동보에 저류되어있는 물을 하천유지용수로 이용이 가능하고, 뿐만 아니라 하단방류 형식으로 토사 퇴적을 사전에 예방할 수 있을 것으로 기대된다.













