1. 서 론
2. 연구 방법
2.1 모니터링 지점 현황
2.2 모니터링 및 분석 방법
3. 결과
3.1 모니터링 결과
3.2 계절별 식생 변화
3.3 물수지 및 오염물질 저감효율 분석
3.4 LID 시설의 물수지 및 오염물질 저감 비교분석
3.5 유지관리 현황
4. 결론
1. 서 론
도시는 상업, 주거, 공공 및 산업지역 등과 같이 다양한 목적의 토지이용으로 구성되어 있으며, 이러한 토지이용은 건물, 주차장 및 도로로 세분화 된다. 이 중에서 주차장과 도로는 강우시 빗물이 침투하지 못하는 불투수율이 매우 높은 토지이용이다. 국내의 불투수율은 전 국토면적의 4.45% (4,452 km2)에 달하고 있으며 세계적으로는 0.43% (579,703 km2)이다. 또한 이러한 도시지역 불투수층의 70% 이상은 도로 및 교통과 관련이 높다 (Maniquiz et al. 2010, Kim and Sim 2013, Hong et al. 2015). 도시지역의 불투수율의 증가는 강우시 토양으로의 침투량과 저류량을 저하시킴으로써 유출량 증가, 지하수위 저하, 도시 홍수 유발 등의 물순환 왜곡을 유발한다. 이뿐만 아니라 인간과 자동차의 활동을 유발하여 건기시 축적된 토사 및 중금속과 같은 비점오염물질이 강우시 배출되어 인근 수계의 수질악화 및 수생태계 훼손의 원인이 된다 (Hewitt and Rashed 1992, Perdikaki and Mason 1999, Maniquiz et al. 2012).
2000년대 들어 도시지역의 불투수층의 증가로 야기된 물순환 왜곡, 비점오염물질 배출 증가, 도시 온도 상승, 생태공간 저하 등의 도시문제를 해결하기 위한 방안으로 선진국에서는 사회인프라에 다양한 생태공학적 접근을 도입하고 있다. 미국에서는 도시화로 인한 문제해결 방안으로 low impact development (LID)을 추진하고 있으며, 영국에서는 sustainable urban drainage system (SUDS)를 도입하고 있고 호주에서는 water sensitive urban design (WSUD)을 사회인프라에 적용하고 있다 (Coffman 2000, Dow and Dewalle 2000). 한국은 2012년 제2차 비점오염원관리 종합대책에서 각종 개발사업 및 도시지역에 저영향개발 (LID) 기법 도입을 명시하여 국가적으로 다양한 사업이 추진되고 있다 (MOE 2012). LID는 강우유출 발생지에서부터 침투, 저류, 증발산을 유도하여 도시화에 따른 수생태계 훼손 및 수질악화를 최소화함으로써 개발 이전의 상태에 가까운 물순환 구조를 만들기 위한 토지이용 계획 및 도시 개발 기법을 말한다. LID 기법은 다양한 규모의 실천수단 적용으로 수립될 수 있으며, 원천관리, 현장관리 및 지역관리 등으로 구분된다 (Kim 2008, Moon et al. 2015). LID 중에서 현장관리 기술로는 빗물정원, 식생체류지, 나무여과상자, 침투화분, 식생수로, 침투도랑, 식생여과대, 옥상녹화 등이 있으며 도로, 주차장, 건물, 옥상 등의 사회인프라에 소규모 분산형으로 다양하게 적용할 수 있다 (Choi et al. 2015).
LID 시설의 지속적 효율은 주요 내부 구성요소 (식물, 토양, 여재, 미생물 등)의 최적화된 상호작용에 의하여 나타나지만 유입되는 오염물질의 다양성, 적용가능한 식물과 여재의 다양성 등으로 인하여 비용효율적 LID 기술의 설계는 쉽지 않다. 식물의 경우 함수량의 변동이 심하며 오염물질의 유입이 높은 LID 시설의 특성을 고려하여 적용가능한 식물의 종이 선정되어야 하기에 충분한 연구수행을 통한 설계요소 도입이 필요하다. 따라서 본 연구는 다양한 식생을 적용한 LID 기술별 실제 도시 강우유출수의 유입으로 인한 식물의 성장상태 변화와 물순환 효과 및 비점오염물질 저감능력을 평가하기 위하여 수행되었다.
2. 연구 방법
2.1 모니터링 지점 현황
본 연구를 위한 LID 시설은 왜곡된 물순환 구축과 비점오염물질 저감을 위하여 충청남도 천안의 K대학교 교내에 실규모로 조성된 식생체류지 (bioretention, BT), 소규모 인공습지 (small wetland, SW), 빗물정원 (rain garden, RG) 및 나무여과상자 (tree filter box, TFB) 등 4개 시설이다 (Fig. 1). 본 시설의 설치는 2010년에 나무여과상자부터 조성되었으며 소규모 인공습지를 제외한 모든 시설은 침투기능을 포함하고 있다 (Table 1). LID 시설에 적용된 여재는 시설마다 다르지만 모래와 자갈은 공통으로 충진되었으며, 시설마다 유입수의 특성을 고려하여 식생토양, 우드칩 (woodchip) 및 바텀애쉬 (bottom ash) 등을 배치하였다. 적용 식생으로는 식생체류지에 하늘매발톱 (Aquilegia flabellata var. Pumila), 물싸리 (Potentilla fruticosa) 및 개미취 (Aster tataricus)가 식재되었으며, 소규모 인공습지에는 꽃창포 (Acorus calamus)가 식재되었다. 빗물정원에는 조팝나무 (Spiraea prunifolia var. simpliciflora), 애기별꽃 (Pratia pedunculata), 패랭이 (Dianthus chinensis)와 메리골드 (Tagetes erecta)가 식재되었고 나무여과상자에는 메타세콰이아 (Metasequoia glyptostroboides)를 식재하였다.
2.2 모니터링 및 분석 방법
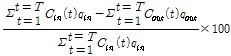
LID 시설의 모니터링은 2010년부터 유입 및 유출부에서 유량과 수질에 대하여 수행되었다. 수질시료는 강우초기에 고농도의 오염물질이 유출되는 초기강우 현상을 고려하여 0, 5, 10, 15, 30, 60분, 이후에는 1시간 간격으로 채취하였다 (Kim and Kang 2004). 채취된 수질시료는 환경부의 수질오염공정시험법에 준하여 입자상물질, 유기물질, 영양물질 및 중금속 분석을 수행하였다 (MOE 2009). 유량 및 수질분석 결과는 Eq. 1과 2를 이용하여 물순환과 비점오염물질의 저감효율 산정에 사용되었다.
Volin - Volout = Volinfil + Volevap + Volret + Volloss (Eq. 1)
Pollutant Removal efficiency (%) =
(Eq. 2)
여기서, Volin은 유입유량, Volout은 유출유량, Volinfil은 침투량, Volevap은 증발량, Volret은 저류량 및 Volloss는 기타 손실량을 나타내고 있다. 또한 Cin(t)와 qin(t)는 강우 지속시간 t에 대한 유입유량의 농도와 유출율을 나타내며, Cout(t)와 qout(t)는 강우 지속시간 t에 대한 유출유량의 농도와 유출율을 의미한다.
3. 결과
3.1 모니터링 결과
식생체류지의 강우 모니터링은 2013년 11월부터 현재까지 총 17회, 소규모 인공습지에서는 2010년 7월부터 총 31회, 빗물정원은 2014년 5월부터 총 15회, 나무여과상자에서는 2010년 7월부터 총 26회 수행되었다 (Table 2). 모니터링 강우사상의 강우량 범위는 0.5 - 35.5 mm의 범위로 천안지역의 대표 강우사상을 포함할 수 있도록 수행되었다. LID 시설 중에서 유입 강우출수의 평균 체류시간은 소규모 인공습지가 0.6 hr로 가장 짧게 나타났는데 이는 인공습지가 침투기작이 존재하지 않기 때문에 나타난 결과로 판단된다.
3.2 계절별 식생 변화
LID 시설에 적용된 식생의 성장상태 분석을 위하여 식생 수고 및 피복도를 월 1회 조사하였다 (Fig. 2). 식생체류지에 식재된 하늘매발톱, 물싸리 및 개미취는 3월부터 11월까지 성장률이 높았으며 각 식생의 수고는 큰 변화가 없었으나 피복도는 여름철에 100%로 가장 높았다. 내부에 일정량의 수분을 항상 보유하고 있는 소규모 인공습지는 타 시설에 비하여 창포의 성장이 일찍 시작되는 것으로 나타났으며, 봄에서 여름까지 급격한 성장을 하는 것으로 조사되었다. 빗물정원의 조팝나무는 수직성장을 하는 식물이며 패랭이는 수평성장을 하는 식물로 가을까지 지속적으로 성장하는 것으로 나타났다. 그러나 애기별꽃과 메리골드는 여름철의 높은 조도량의 영향을 받아 고사하는 것으로 분석되었으며 나무여과상자의 메타세콰이아는 다른 식생에 비해 가장 높은 수직성장률을 보였다.
3.3 물수지 및 오염물질 저감효율 분석
Fig. 3은 LID 시설의 모니터링 결과를 토대로 산정된 물수지이며 침투량와 저류량 및 유출량을 백분율로 환산한 것이다. 식생체류지와 빗물정원에서 모니터링 평균 강우량인 10 – 15 mm에서 약 90% 이상의 유출수가 저류와 침투과정을 통해 유출저감되는 것으로 나타났다. 식생체류지와 빗물정원의 높은 유출 저감은 시설의 SA/CA (facility surface area / catchment area) 비가 각각 2.0과 6.6으로 타시설에 비하여 큰 규모이기 때문인 것으로 판단된다. 반면 나무여과상자는 SA/CA 비가 0.96로 가장 낮음에도 불구하고 평균 강우량 약 7 mm 기준에서 약 60% 이상의 강우유출 저감효과가 있는 것으로 나타났다. 침투기능이 없는 소규모 인공습지는 SA/CA 비가 1.96으로 식생체류지와 비슷하지만 모니터링 평균 강우사상 8 mm에서 침투 및 저류량은 약 40% 정도로 낮게 나타났다. 이러한 결과로 볼 때 도시지역의 강우유출수 중에서 약 40% 이상의 유출저감을 통한 물순환 구축을 위한 적정 SA/CA 비는 시설마다 차이는 있겠지만 1 - 5% 범위가 타당할 것으로 평가된다. 또한 강우초기에 고농도의 입자상 물질이 유입되기에 이를 저감하기 위한 전처리 시설로 침강지의 조성이 필요한 것으로 나타났다.
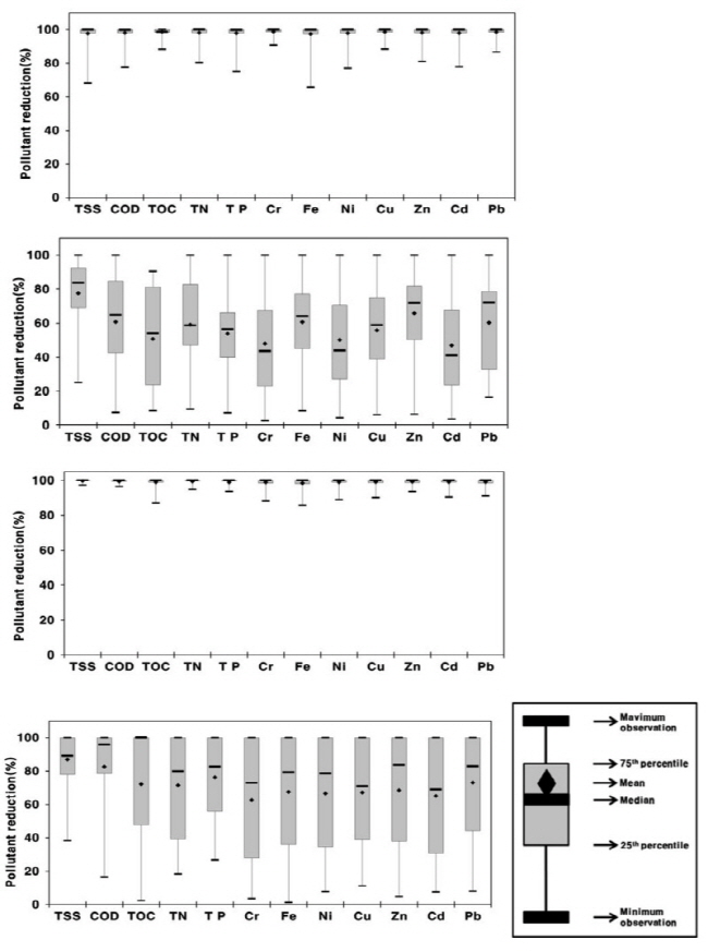
LID 시설의 오염물질 저감능력을 분석한 결과 Fig. 4와 같다. 식생체류지와 빗물정원의 모든 오염물질 저감효율은 모니터링 평균 강우량인 10 – 15 mm에서 약 90% 이상으로 높게 나타났다. 이러한 비점오염물질 저감효율은 나무여과상자나 소규모 인공습지의 효율보다 높은 값으로 SA/CA 비에 의한 높은 저류량과 침투량이 저감효율에 영향을 준 것으로 평가되었다. 그러나 SA/CA 비가 비교적 적은 소규모 인공습지나 나무여과상자에서도 모니터링 강우량인 7 – 8 mm에서 입자상 물질이 70% 이상, 유기물과 영양물질 및 중금속이 약 50% 이상 제거되는 것으로 평가되었다. 이러한 결과로 볼 때 유출저감은 비점오염물질 저감효율 향상에 중요한 영향을 끼치는 기작으로 평가된다. 따라서 유출저감에 영향을 끼치는 인자인 SA/ CA는 LID 시설의 중요한 설계인자로 평가된다.
3.4 LID 시설의 물수지 및 오염물질 저감 비교분석
서로 다른 규모로 조성된 LID 시설의 물수지와 물질수지의 상호비교를 위하여 모니터링 강우량 대비 저류용량을 Eq. 3을 이용하여 일반화 시켰다. 여기서 SV는 저류용량 (storage volume)이며, rainfall은 모니터링 강우사상의 평균값을 의미한다.
Normalized storage volume
(Eq. 3)
Normalized storage volume compared to bioretention
(Eq. 4)
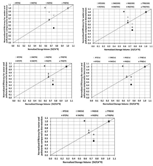
Fig. 5는 Eq. 4를 이용하여 식생체류지의 일반화된 저류용량에 비하여 타 LID 시설의 일반화된 저류용량 비율 대비 일반화된 물수지와 물질수지를 상호 비교한 것이다. 여기서 LID 시설을 식생체류지와 상호비교한 이유는 식생체류지의 일반화된 저류용량이 0.79로 가장 크게 나타났기 때문이다. 일반화된 저류용량으로 LID 시설을 상호비교한 결과 물수지 측면에서는 식생체류지에 비해 소규모 인공습지가 가장 낮은 물순환 효율을 보였으며, 나무여과상자는 유사한 효율을 보이는 것으로 평가되었다. 빗물정원은 식생체류지에 비해 높은 물순환 효율을 보였는데 이는 빗물정원의 SV/TV (storage volume/total volume)가 클 뿐만 아니라 초기침강지의 용적이 식생체류지에 비해 약 45배 크기이기 때문인 것으로 평가된다. 물수지를 상호비교할 경우 빗물정원 > 나무여과상자 > 식생체류지 > 소규모 인공습지 순으로 나타났다.
오염물질 저감효율을 상호 비교한 결과 TSS는 모든 시설이 식생체류지에 비해 저감효율이 높은 것으로 나타났으며, 빗물정원 > 나무여과상자 > 소규모 인공습지 > 식생체류지 순으로 나타났다. 유기물 (COD, TOC), 영양물질 (TN, TP) 및 중금속 (Cu, Pb, Cd, Zn)의 제거에는 빗물정원 > 나무여과상자 > 식생체류지 > 소규모 인공습지 순으로 효과적인 것으로 분석되었다. 대부분의 시설에서 물수지에 비하여 오염물질 저감효율이 높게 나타났는데 그 이유는 미생물과 식물에 의한 오염물질 저감효율이 크게 기여하고 있다는 것을 의미한다. 이러한 결과는 유입 오염물질 종류별 적정 LID 시설의 선정이 비용효율적 LID 선정에 기여한다는 것을 보여준다. 또한 일반화된 저류용량 (SV/CA*Rainfall)도 유출저감과 오염물질을 동시에 관리하는 LID 시설에서 중요한 설계인자라는 결과를 도출하였다.
3.5 유지관리 현황
LID 시설의 지속적인 효율유지를 위해서는 지속적인 유지관리가 필요하다. Fig. 6은 LID 시설의 유지관리를 수행하는 현황을 보여주고 있으며 주로 시설의 유입과 유출부 및 시설 부지 전반의 협잡물 제거가 가장 많은 유지관리 활동으로 나타났다. 식생관리에서는 기존 조경 유지관리와 동일하게 수행하면 되는 것으로 나타났으며 년간 약 2회 정도 외래종 제거와 고사체 제거 등이 필요한 것으로 나타났다. 각 시설의 초기침강지에는 퇴적물이 축적되는 연간 1회 정도 퇴적물 제거가 필요한 것으로 나타났다. 이러한 유지관리 결과로 볼 때 LID 시설의 유지관리는 기존 조경관리와 배수구 관리에 비하여 어렵지 않은 것으로 나타나 도시 전반에 확대하더라도 큰 비용적 부담이 적을 것으로 평가된다.
4. 결론
본 연구는 다양한 식생이 적용된 LID 기술별로 실제 도시 강우유출수의 유입으로 인한 식물의 성장상태 변화와 물순환 효과 및 비점오염물질 저감능력을 평가하기 위하여 수행되었다. 연구를 위한 LID 시설은 실규모로 조성된 식생체류지, 소규모 인공습지, 빗물정원 및 나무여과상자 등 4개 시설이며, 연구결과 다음과 같은 결론을 도출하였다.
1)도시지역의 물순환 구축을 위해서는 강우유출수의 약 40% 이상의 유출저감이 필요하며, LID 시설의 적정 SA/CA비는 1~5% 범위가 타당한 것으로 평가되었다. 따라서 SA/CA는 LID 시설의 중요한 설계인자로 평가되었다.
2)모니터링 결과로 토대로 물수지를 평가한 결과 빗물정원 > 나무여과상자 > 식생체류지 > 소규모 인공습지 순으로 유출저감에 효율적인 것으로 나타났다.
3)강우유출수내의 입자상 물질 (TSS) 제거에는 빗물정원 > 나무여과상자 > 소규모 인공습지 > 식생체류지 순으로 효과적인 것으로 나타났다. 유기물 (COD, TOC)과 영양물질 (TN, TP) 및 중금속 (Cu, Pb, Cd, Zn)의 제거는 빗물정원 > 나무여과상자 > 식생체류지 > 소규모 인공습지 순으로 나타났다.
4)LID 시설에서는 미생물과 식물에 의한 오염물질 저감기작 때문에 물수지에 비하여 오염물질 저감효율이 높게 나타나는 것으로 평가되었다. 또한 시설의 지속적 기능유지를 위해서는 강우초기의 고농도 입자상 물질 제거를 위한 전처리 시설로 침강지의 조성이 필요한 것으로 나타났다.
5)일반화된 저류용량 (SV/CA-Rainfall)은 유출저감과 오염물질을 동시에 관리하는 LID 시설에서 중요한 설계인자라는 결과를 도출하였다.








